十六届蓝桥杯C++A组地雷阵
试题G: 地雷阵
【问题描述】

【输入格式】
 【输出格式】
【输出格式】
 

【样例输入1】

【样例输出1】

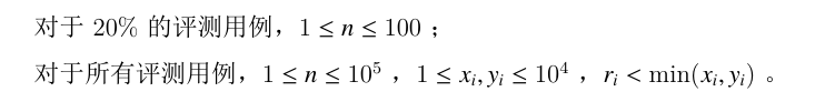
【评测用例规模与约定】

解答

这更多是一个数学问题,不可以过去的部分就是相切的时候里面那部分,我们要求的就是如何合并那些相切外的部分,题目给我们圆的坐标,我们要进行合并,我的方法是

我们可以通过数学方法求出来∠1和∠2 然后所有的圆都可以通过∠1+∠2和∠1-∠2来表示,然后排序最后把重叠的部分进行合并。

 【输出格式】
【输出格式】




这更多是一个数学问题,不可以过去的部分就是相切的时候里面那部分,我们要求的就是如何合并那些相切外的部分,题目给我们圆的坐标,我们要进行合并,我的方法是

我们可以通过数学方法求出来∠1和∠2 然后所有的圆都可以通过∠1+∠2和∠1-∠2来表示,然后排序最后把重叠的部分进行合并。