当前位置: 首页 > news >正文

leetcode0112. 路径总和-easy

1 题目:路径总和

官方标定难度:易

给你二叉树的根节点 root 和一个表示目标和的整数 targetSum 。判断该树中是否存在 根节点到叶子节点 的路径,这条路径上所有节点值相加等于目标和 targetSum 。如果存在,返回 true ;否则,返回 false 。

叶子节点 是指没有子节点的节点。

示例 1:

在这里插入图片描述

输入:root = [5,4,8,11,null,13,4,7,2,null,null,null,1], targetSum = 22
输出:true
解释:等于目标和的根节点到叶节点路径如上图所示。

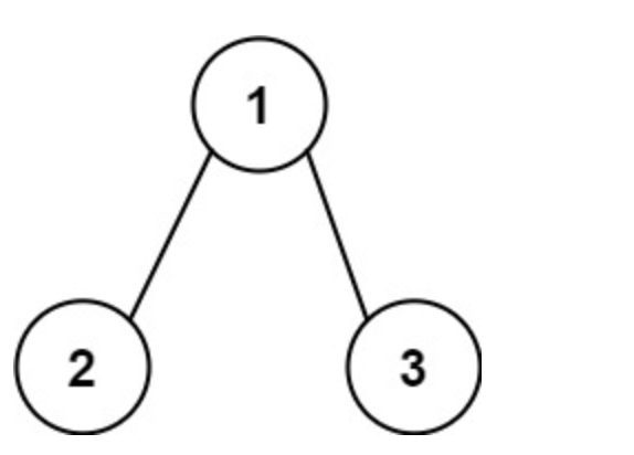
示例 2:

在这里插入图片描述

输入:root = [1,2,3], targetSum = 5
输出:false
解释:树中存在两条根节点到叶子节点的路径:
(1 --> 2): 和为 3
(1 --> 3): 和为 4
不存在 sum = 5 的根节点到叶子节点的路径。

示例 3:

输入:root = [], targetSum = 0
输出:false
解释:由于树是空的,所以不存在根节点到叶子节点的路径。

提示:

树中节点的数目在范围 [0, 5000] 内
-1000 <= Node.val <= 1000
-1000 <= targetSum <= 1000

2 solution

递归比较简单:
hasPathSum(root, targetSum) = hasPathSum(left, targetSum - val) || hasPathSum(right, targetSum - val);

代码

/*** Definition for a binary tree node.* struct TreeNode {*     int val;*     TreeNode *left;*     TreeNode *right;*     TreeNode() : val(0), left(nullptr), right(nullptr) {}*     TreeNode(int x) : val(x), left(nullptr), right(nullptr) {}*     TreeNode(int x, TreeNode *left, TreeNode *right) : val(x), left(left), right(right) {}* };*/
class Solution {
public:
bool hasPathSum(TreeNode *root, int targetSum) {if(!root) return false;if(!root->left && !root->right) return targetSum == root->val;return hasPathSum(root->left, targetSum - root->val) || hasPathSum(root->right, targetSum - root->val);
}
};

结果

在这里插入图片描述

http://www.dtcms.com/a/140739.html

相关文章:

  • 每日算法【双指针算法】(Day 2-复写零)
  • 搜广推校招面经七十八
  • Linux系统编程之守护进程与调试技术
  • 施磊老师基于muduo网络库的集群聊天服务器(二)
  • 大模型如何突破“知识盲区”?一场静悄悄的技术革命正在发生
  • Pytest 的配置和命令行选项:掌控你的测试执行 (Pytest 系列之七)
  • VirtualBox导入 .ova 文件出错,怎么解决
  • 【Linux学习笔记】进程调度与切换之O(1)调度算法
  • Oracle日志系统之重做日志和归档日志
  • 2025年03月中国电子学会青少年软件编程(Python)等级考试试卷(四级)答案 + 解析
  • Python项目调用Java数据接口实现CRUD操作
  • 什么是Python单例模式
  • Python 3.13 support for PyTorch
  • python中MongoDB 的两个驱动
  • 基于C++(MFC)图形编辑界面工具
  • 一个可以自定义Java服务名日志打印的小工具
  • CSS 文件格式
  • Ubuntu上安装Mysql
  • redis利用备忘录
  • 在 Vue 3 中将拆分后的数组合并回原数组
  • 云轴科技ZStack入选中国人工智能产业发展联盟《大模型应用交付供应商名录》
  • Muduo网络库实现 [十六] - HttpServer模块
  • 线上蓝桥杯比赛环境配置
  • C#中扩展方法和钩子机制使用
  • 中间件--ClickHouse-9--MPP架构(分布式计算架构)
  • 51单片机实验六:通用型1602液晶操作方法
  • 使用DeepSeek生成PPT的详细指南
  • Oracle、MySQL、PostgreSQL三大数据库对比分析
  • Python爬虫第16节-动态渲染页面抓取之Selenium使用上篇
  • kubernetes-使用ceph-csi