当前位置: 首页 > news >正文

考研系列-计算机网络-第一章、计算机网络体系结构

一、计算机网络概述

1.知识点总结

性能指标:

注意这个指标:

2.习题总结

(一)选择题

广域网点对点,局域网广播技术

(二)简答题

(1)概念性题目:

(2)计算型题目

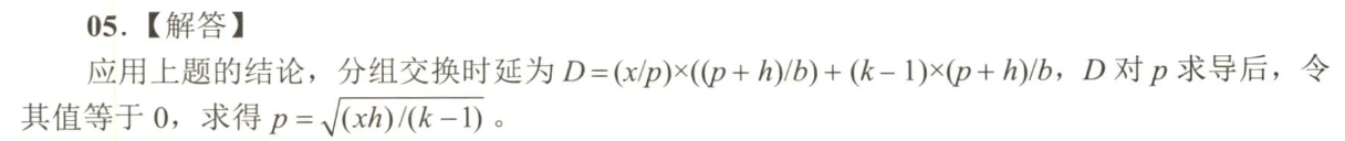
这个题目主要是注意两种交换方式:

        电路交换:首先需要建立链路、然后不需要分组直接发送,字节流进行传输

        分组交换:一个分组一个分组的发送,这里可以只看最后一个分组的传输时间,包括 从第一个分组开始到最后一个分组发出的数据准备时间、中间结点的转发时间(中间结点的发送时延)、在链路上的传输时间

这个题目很重要,主要是细心,注意每个环节的时间!!!

二、计算机体系结构

三、参考模型

注意:数据链路层封装数据是前后端均添加

1.OSI参考模型

(1)应用层

(2)表示层

(3)会话层

(4)传输层

(5)网络层

(6)数据链路层

(7)物理层

2.TCP/IP模型

3.习题总结

OSI参考模型:传输层-面向连接   网络层-无连接+面向连接

TCP/IP参考模型:传输层-无连接+面向连接  网络层-无连接

(一)选择题

重要!!

(二)简答题

1.协议和服务有何区别?有什么联系?

这些例子记录一下

本章小结

http://www.dtcms.com/a/138934.html

相关文章:

  • OPAL:机器人学习中编码物理系统的因果理解
  • 如何自学机器学习?零基础到实战的完整路径
  • 如何对Flutter应用程序进行单元测试
  • 【软件工程大系】基于构件的软件工程(CBSE)
  • 【cocos creator 3.x】cocos creator2.x项目升级3.x项目改动点
  • genhtml 工具使用说明
  • 何时选择for,何时使用while?
  • 进行性核上性麻痹:合理饮食,提升生活质量
  • 【天梯赛练习】L2-035 完全二叉树的层序遍历
  • C++学习:六个月从基础到就业——面向对象编程:重载运算符(上)
  • Scala 入门指南
  • C++23 新预处理器指令详解:#elifdef、#elifndef 和 #warning
  • 数据结构与算法[零基础]---5.图
  • WIN11运行游戏时出现“ms-gamingoverlay”弹框的问题
  • package.json 中的那些版本数字前面的符号是什么意思?
  • WSL2-Ubuntu22.04安装URSim5.21.3
  • jvm调优工具arthas(阿尔萨斯)安装与使用---实践
  • 宫庭海:跨界融合与家国情怀的影视开拓者
  • 机器学习 Day11 决策树
  • Ubuntu 20.04.6编译安装COMFAST CF-AX90无线网卡驱动
  • OpenHarmony Camera开发指导(四):相机会话管理(ArkTS)
  • js day2
  • 十五种光电器件综合对比——《器件手册--光电器件》
  • FastAPI与SQLAlchemy数据库集成
  • 2025.04.17【Dendrogram】生信数据可视化:Dendrogram图表详解
  • 无人机姿态稳定与动态控制模块概述!
  • 第六章:6.3求一个3*3的整型矩阵对角线元素之和
  • 基于FreeRTOS和STM32的微波炉
  • Google C++ Style Guide
  • Linux 文件传输:系统数据交互的动脉