当前位置: 首页 > news >正文

信号与系统期中复习(第一章)

1、连续信号叠加的周期

2、离散信号的周期判定

离散信号只有当周期为整数的时候,才是周期信号

3、信号的时间变换

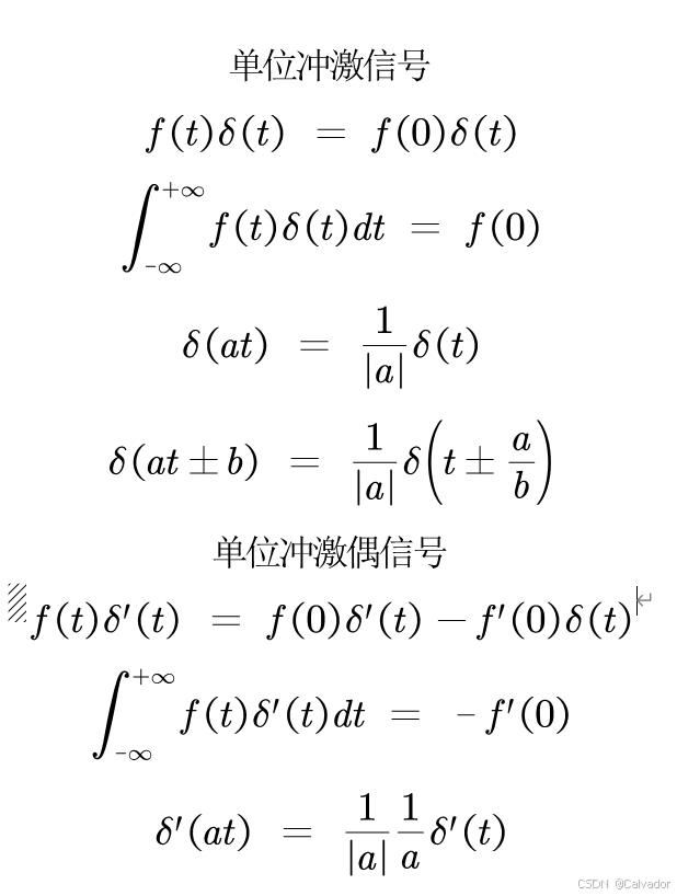
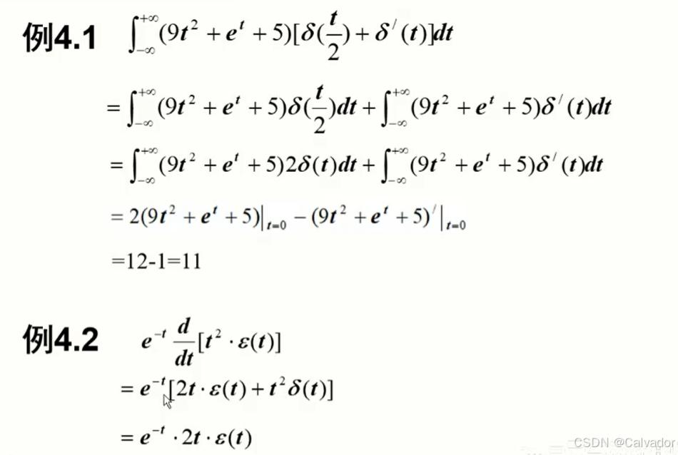
4、取样性质相关计算

 

5、系统的描述

6、线性系统的性质

7、信号的时间变换

8、基本概念

判断时不变系统的方法:

若f(t)前的系数出现改变,或反转,展缩等,则说明该系统为十遍系统

http://www.dtcms.com/a/135282.html

相关文章:

  • 如何建立可复用的项目管理模板
  • 基于STM32与NB-IoT的智慧路灯远程监控系统
  • Missashe考研日记-day21
  • Daily morning reading 26
  • 贪心算法day9(合并区间)
  • Redisson分布式锁全攻略:用法、场景与要点
  • Linux 使用Nginx搭建简易网站模块
  • Sentinel源码—2.Context和处理链的初始化一
  • Android 开发 如何生成系统签名
  • CRUD2
  • QuickAPI 核心能力解析:构建数据服务化的三位一体生态
  • express框架使用cors包解决跨域问题时,还是存在问题的原因。
  • 49、Spring Boot 详细讲义(六)(SpringBoot2.x整合Mybatis实现CURD操作和分页查询详细项目文档)
  • Muduo库代码剖析 : EventLoop
  • 【JavaScript】二十二、通过关系查找DOM节点、新增、删除
  • 批量将多个压缩包文件解压到文件夹
  • 注意力机制的改进
  • Mobaxterm 突破 14个 session 限制
  • 凸优化基础
  • 【python实用小脚本系列】用 Python 打造你的专属录音机,随时随地记录声音!
  • Qt中 Key_Return 与 Key_Enter
  • 图论--DFS搜索图/树
  • DP 16bit位宽数据扰码实现和仿真
  • 淘宝大数据接口解析:商品类目 / 价格 / 销量多维数据采集与存储方案
  • 软件测试——BUG概念
  • Uniapp权限申请优化方案
  • Browser-use 是连接你的AI代理与浏览器的最简单方式
  • 什么是跨域问题以及其解决方案
  • mac上面使用zip命令压缩一劳永逸
  • 逆周期中的“深潜者”样本,解码康佳“智造”破局密码