当前位置: 首页 > news >正文

基于图扩散小波的连接组分析:定位结构-功能映射中的扩散源

摘要

通过使用从单一到多重图扩散核的不同方法,探讨了大脑功能连接(FC)与结构连接(SC)之间的复杂关系,这些方法通过在SC上进行扩散来推导FC。然而,现有研究未能将扩散尺度与特定感兴趣脑区(RoIs)相关联,从而限制了图扩散方法的适用性。本研究提出了一种新的方法,利用图热扩散小波来学习每个RoI的适当扩散尺度,以便更准确地估计SC-FC映射。通过使用公开的HCP数据集,本研究获得的平均Pearson相关系数为0.833,超越了现有的FC预测方法。值得注意的是,所提出的方法架构是完全线性的,计算效率高,并且明显展示了扩散尺度的幂律分布。研究结果表明,双侧额极由于具有较大的扩散尺度,形成了一个较大的社区结构。这一发现与当前关于额极在静息态网络中作用的研究相一致。总体而言,本研究突出了图扩散小波框架在揭示大脑结构如何影响功能连接方面的潜力。

引言

生物实体的物理特性是理解和预测其各种功能能力的关键。“结构决定功能”的原则在分子生物学、生物化学和物理科学中具有深远的影响。神经科学家们已在大脑中验证了这一原则,发现大脑的结构连接在很大程度上决定了其功能连接。如图1所示,结构连接(SC)源自扩散张量成像(dMRI),该成像能够捕捉连接皮层灰质的白质纤维束(髓鞘轴突)。这些纤维束通过纤维追踪算法获得,并借助将皮层划分为多个区域的图谱来确定皮层各区域之间的结构连接强度。静态功能连接(FC)源自功能磁共振成像(fMRI),该成像基于静息态期间采集的血氧水平依赖信号(BOLD信号)。通过相同的图谱,每个体素的BOLD信号可以转换为RoI特定信号,表示不同时间点的局部氧浓度总和。此外,我们还可以计算不同RoI之间BOLD信号的Pearson相关系数,从而根据其活动的相关性评估连接强度。多项fMRI研究表明,当大脑的RoIs参与视觉、语言或工作记忆任务时,它们会相互作用形成功能网络,这种现象同样也发生在静息状态下。

图1.白质纤维束通过扩散张量成像(dMRI)提取,时间序列则通过功能磁共振成像(fMRI)估算。

映射结构-功能连接对于理解大脑复杂的网络动态及其对各种神经系统疾病的影响至关重要。这种映射使研究人员能够通过分析从SC推导的预测FC与实证FC数据之间的偏差,发现与自闭症谱系障碍、阿尔茨海默病等疾病相关的生物标志物。这些研究有助于创建可靠的大脑网络计算模型,并且这些模型可以针对与多种疾病相关的特定扰动进行测试,最终提高我们对导致行为功能障碍的神经回路的理解。通过弥合结构和功能视角之间的差距,研究人员可以更好地阐明认知过程和病理的机制,为临床环境中的靶向治疗策略和干预措施铺平道路。

通过网络神经科学将大脑建模为图形,可以通过将大脑区域表示为节点、将解剖连接表示为边,从而对其结构和功能进行全面分析。这种方法从微观到宏观尺度都适用,有助于创建结构-功能连接组,揭示大脑网络的有意义特性。使用图论技术,我们可以深入了解大脑连接和动态的复杂性,从而增强我们对健康和病理状态的理解。

连接组学的主要目标之一是理解大脑结构如何以及在多大程度上影响其功能。十多年来,许多依赖网络组织的研究试图建立大脑结构与功能之间的关系。这种基于网络的方法使得图论技术(如随机游走)和基于图热扩散原理的谱图论方法(如图傅里叶变换)得以广泛应用。Abdelnour等人(2014)提出,可以使用单一热扩散核来预测大脑功能状态(FC),这种方法被证明非常有效,并促使后续研究探索这种网络扩散模型的不同变体。随后,Surampudi等人(2019)展示了使用热扩散核的线性组合可以更好地解释FC。随着几何深度学习(GDL)的发展,基于图卷积神经网络(GCN)和图变换网络(GTN)的编码器-解码器模型被用于寻找更精确的映射关系。

然而,基于GCN的学习方法容易出现过平滑问题,即所有节点特征在潜在空间中收敛到相同的表征,这种问题在全连接的大脑图中尤为明显。此外,由于几何深度学习(GDL)方法缺乏可解释性,因此最终将其与依赖于注意力机制来组合热核的图扩散方法相结合。尽管结合注意力机制相比以前的方法取得了更好的效果,但这些方法仍然面临较高的计算复杂度。

在这里,本研究通过采用图扩散小波来解决上述问题,这些小波能够局部化扩散核,使每个大脑区域具有独特的扩散尺度。小波的隐式多分辨率特性使我们能够在大脑的特定区域(RoI)获取不同层次的交互信息。所提出的方法完全是线性的,时空复杂度较低,同时性能优于之前的最先进(SoTA)方法。在人类连接组学中,结构连接为功能交互提供了基础,但SC-FC之间的关系受到区域特异性(如层次整合和功能专门化)的调节。通过为每个RoI调整扩散尺度,本研究方法为这些动态提供了生物学上合理的见解,并与结构-功能耦合在空间和功能层次上变化的证据相一致。

材料与方法

理论

本节探讨了图小波理论,阐释了图扩散原理、其与计算神经科学的关系,并介绍了小波的概念。大脑中结构连接(SC)与功能连接(FC)之间的关系是复杂的,受局部和远程交互的共同影响。图扩散小波为建模这种相互作用提供了一个强大的框架,因其本质设计就是捕捉图上的多尺度扩散过程。通过运用图扩散小波,我们能有效模拟神经信号如何在大脑结构网络中传播,从而实现SC到FC的映射。该方法的关键优势在于可以学习扩散尺度,从而帮助我们理解信息如何在大脑的特定区域内部以及不同区域之间传递。这些尺度可适应大脑动态的异质性,使模型既能解释支持单模态功能的短程连接,也能解析对高阶认知过程至关重要的长程通讯。通过整合这种多尺度的理解,图扩散小波提供了有理论基础且符合生物学原理的方法来弥合SC与FC之间的鸿沟,从而在揭示有意义的结构-功能关系的同时实现更精准的预测。

图扩散。热扩散方程是一个偏微分方程,用于模拟空间中热流的过程。任何时空信号(如BOLD信号x(t))可以使用经典的热扩散方程来进行建模(公式1)。

其中,L是著名的拉普拉斯-贝尔特拉米算子。由于图是一个离散的数学实体,因此该方程需离散化处理,从而形成了拉普拉斯算子L=I−D−1A或L=I−D−½AD−½,其中A为图邻接矩阵,D为度矩阵。该算子编码了图的空间信息,其特征向量构成的空间谐波可高精度地重建BOLD数据。解x(t)=hs(x)=e−sLx(0)即热扩散核,通过扩散尺度s参数化时间t,决定y的扩散程度。矩阵指数的运算公式如下:

其中U为特征向量矩阵,(λ1,...,λN)为拉普拉斯算子L的特征值(N为节点数)。

热扩散的神经基础。Wilson-Cowan方程(1972)是描述兴奋性与抑制性神经元群相互作用最成功的模型之一。作为反应-扩散(RD)方程的特例,其活动在空间上的扩散由空间元素之间的连接强度引导。RD系统的图灵机制表明,系统拉普拉斯算子的空间模式对于理解该系统的扰动至关重要。Atasoy等人(2016)强调了拉普拉斯算子在所有物理系统中的普适性,特别是用于RD系统建模,以最终表征“连接组谐波”。这些谐波是与图相关的驻波,它可以根据其空间频率来解析图的活动。该系统在任何时刻的状态由公式2的热核表示。

图小波。在信号处理中,小波用于时域信号定位。这使得我们可以探索特定时段而非整个时间序列的信号特性(如脑电信号处理广泛采用的时频图)。类似地,空间域小波可以定位空间数据。小波能够捕捉特定节点的局部邻域。扩散小波ψs,a(x)定义为(公式3):

其中a为第a个节点,s为尺度。如图2所示,当单位能量从节点传播至图时,图小波捕获该节点的局部邻域特性。此外,不同节点可以在不同的扩散尺度下操作,这有助于理解各节点在图中的作用。热核的一个局限性是缺乏空间局部化的能力,这极大地降低了其可解释性,而该问题可以通过小波来解决。

图2.大脑表面网格扩散的可视化。

图小波扩散

对于大脑区域i,本研究通过考虑所有连接区域来建立速率方程。区域j的空间扩散活动用

表示,其中

为未归一化结构连接矩阵中的第(i,j)项,反映了第i与第j区域之间的纤维束数量。区域i中的空间扩散活动净变化被建模为来自区域j的净扩散活动的线性函数,根据推导可得:

其中dj表示节点j的度。

其中

为行归一化结构连接矩阵,连接i会得到:

其中L=I-S。上式的解为:

对于多分辨率和多尺度分析,本研究通过与脉冲函数进行点积运算,为每个节点生成唯一的扩散核。

不失一般性,假设x(0)为单位向量,矩阵指数可通过拉普拉斯特征分解与对角热核矩阵H来计算:

其中H(si)=Diag(e-siλ1,...,e-siλN)。通过拼接所有小波可构建非对称核矩阵K:

符号‖表示矩阵拼接。在t时刻,基于初始配置的任意区域i的状态表示该区域与其他所有区域的功能连接。为了获取FC,本研究将非对称核与SC拼接后输入顶点线性层(图3),从而学习最优扩散尺度。

此处pvLL()表示对拼接矩阵的每个顶点(pv)应用线性层(LL),以最终输出预测FC矩阵(

)的过程。换言之,线性层用于学习拼接矩阵(K‖S)每行到FC每行的映射关系。扩散过程利用邻域结构,而顶点线性层则为单个节点执行映射。该线性层可通过添加激活函数替换为MLP,但需要注意的是,我们的主模型是完全线性的。有文献表明非线性MLP虽不能捕获空间信息,但有助于提取高频特征,因此我们采用了线性层来学习映射。图3展示了图小波方法的整个流程。

图3.图小波方法流程图。

训练过程

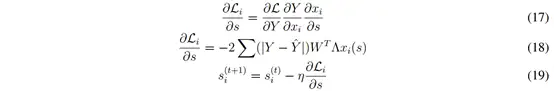
本研究采用Adam优化器配合调度器,同时使用Frobenius范数来衡量预测FC与实际FC之间的差异。前向传播:

由于Si为常数,其对应的梯度为零。

其中yi为预测FC矩阵的第i行,W为线性映射。拼接所有yi后计算损失函数,定义为预测FC[

]与实证FC[Y]的Frobenius范数差异。当将矩阵投影到半正定矩阵空间(如FC)时,可利用Frobenius范数计算最近半正定矩阵。

反向传播:

从扩散尺度的更新规则可以看出,RoIs的尺度取决于整体功能连接、线性映射W以及小波在尺度s处的导数。

尺度选择

从早期MKL到A-GHN研究,尺度选择始终是核心问题。本研究通过反向传播算法结合MSE损失函数(图3)来解决这个问题。

数据来源

dMRI与fMRI数据来自人类连接组项目(HCP1200)数据集。本研究评估了HCP1200数据发布中提供的1058名受试者。数据经Zhang等人(2018)处理并在GitHub存储库中公开提供,他们采用了Desikan等人(2006)提出的图谱,该图谱包含68个皮层区域(每半球34个)和19个皮下区域。需要注意的是,19个皮下区域在SC与FC中排序不一致,本研究通过重排FC矩阵以确保RoIs之间的对应关系。该数据处理步骤对本研究至关重要,因为图小波需先定位再映射至特定节点。

结果

与先前架构的比较

由于所提模型采用了多分辨率、多尺度的图扩散小波,本研究对不使用深度网络的图扩散方法(如多核学习(MKL)模型)进行了比较研究。此外,本研究还选择了不使用扩散但采用几何深度学习方法(如GCN编码器-解码器模型)以及结合图卷积网络(GCN)和图变换网络(GTN)的另一个模型。最后,本研究考虑了一个结合图扩散、热核和具有注意力机制的深度神经网络模型,即注意力图热网络(AGHN)模型用于进行比较分析。

所有模型在包含1058名受试者的开放HCP数据集上共进行了五次训练和测试。每次运行时,数据集被划分为三个独立的部分:50%(529个样本)用于训练,5%(53个样本)用于验证,剩余的45%(476个样本)用于测试。在这五次迭代中,模型的性能使用Pearson相关系数(PCC)指标进行评估。所有先前模型的结果均引自Oota等人(2024)的研究,参见表1。

表1.图扩散小波方法与先前方法的性能比较。

从表1可以看出,所提出的(线性)模型在预测FC与实证FC之间的平均Pearson相关系数为0.833,表明预测值与实际值之间存在较强的正相关关系。为了便于可视化验证,图4直观地展示了随机选择的一名受试者的实际功能连接矩阵和预测功能连接矩阵。总体而言,与A-GHN(之前的最先进技术)相比,本研究模型在性能上显著更优,同时模型大小(参数数量)约为其四分之一,训练速度是其两倍。

图4.展示了一个随机选择的受试者的实证FC和预测FC矩阵,用于定性评估。

基向量和MLP层数的影响

构成拉普拉斯算子基集的特征向量代表了可用于滤波的空间谐波。可以舍弃对应较高空间频率的基向量,以评估它们在FC重建中的重要性。因此,在构建热核时,可以排除与高空间频率相关的基向量,而不是使用完整的基集(U∈RN×k)。表2报告了使用87、75和64个低频基集计算热核时的结果。研究结果表明,较高的空间频率在FC重建中起着关键作用,因为排除它们会导致PCC和MSE指标的性能显著下降。

表2.模型在不同基集数量和具有64个神经元的MLP隐藏层数量下的性能。0表示线性变换,1表示具有64个神经元的单隐藏层。

当使用完整的基向量集(即图拉普拉斯算子的所有特征向量)时,线性层足以建模结构连接组(SC)和功能连接组(FC)之间的关系。这是因为完整的特征向量集同时捕获了图的低频(全局结构)和高频(局部细节)成分,为模型提供了有效建立映射所需的所有信息。然而,当特征向量的数量减少到64时,与细粒度、局部图信息相关的高频成分不再被完全表示(导致Pearson相关系数降低至0.8171)。这种减少造成了信息损失,仅靠线性层无法解决。在这种情况下,使用多层感知器(MLP)是有效的,因为其非线性变换能够通过有效建模SC和FC之间复杂的非线性关系,来补偿缺失的高阶特征向量贡献(如表2所示,与线性层相比,Pearson相关系数提高至0.8206)。这一发现突出了特征向量数量与模型复杂性之间的权衡:完整基集允许使用更简单、更易解释的线性层,而减少特征向量集则需要像MLP这样更复杂的模型来实现相似的性能。

学习到的扩散尺度

本研究从10次随机运行中提取了学习到的扩散尺度值(训练-验证-测试的划分与之前报告的5次随机运行过程保持一致)。本研究选择了更多次运行以获得更平滑的扩散尺度值估计。在这10次运行过程中,预测FC的Pearson相关系数(PCC)值与之前5次运行中报告的结果相似。在这里,本研究绘制了训练周期中学习到的扩散尺度的平均值(如图5所示),并且图6展示了这些尺度在模板大脑表面网格上的分布。大多数节点的扩散率较低,而少数节点则表现出较大的扩散尺度以实现最佳的FC预测。较大的尺度对应于较大的邻域(如图2所示),而较小的尺度则对应于较小的邻域。请注意,所有扩散尺度初始化为0,而某些区域尺度值的增加是基于后续任务(SC到FC的映射)中学习到的过程。

图5.各脑区的平均扩散尺度,标签按SC/FC矩阵从下至上的顺序排列。

图6.叠加在模板大脑表面网格上的各脑区的平均扩散尺度。

具有较低扩散尺度的区域(对应更局部化的空间信号)主要为单模态区域,直接与特定功能有关。相比之下,额极在抽象思维、计划、决策和社会认知等高级认知过程中起着关键作用,这些过程需要协调多个单模态和多模态脑区。虽然传统的结构连接测量可能无法捕捉其广泛的通信网络,但本研究的图热扩散小波方法通过将其与最高扩散尺度相关联,突显了额极的重要性。这一结果彰显了本研究方法在揭示区域特异性结构-功能动态方面的优势,展示了额极在促进长程通信和高级结构-功能交互中的作用。

图7清晰地显示,大多数脑区的扩散尺度在左右半球之间基本成比例。然而,从SC和FC矩阵中学习到的扩散尺度在左右半球间并不完全相同。这种不均匀性可能源于解剖学、发育和功能等多方面的因素。比例差异也可能受数据集分布的影响(例如,右利手受试者数量显著多于左利手)。值得注意的是,半球间差异显著的区域(主要是颞上沟、楔叶、内嗅皮层)与语言学习和理解功能相关。这种扩散尺度模式表明,学习到的尺度有效地捕捉了大脑的整体动态,强有力地证明了本研究方法能够成功反映大脑结构-功能关系的异质性。

图7.左右半球的扩散尺度分布。

无标度特性

扩散尺度对应于图中节点的邻域大小。从这个意义上说,它们似乎捕获了与图中节点度相似的信息。众所周知,在脑图等无标度网络中,节点度分布遵循幂律分布。为了验证学习到的扩散尺度值是否也符合这一特性,本研究绘制了扩散尺度直方图(图8a),并尝试拟合幂律和指数曲线来分析尺度分布模式。扩散尺度描述了节点与图交互的空间范围,有效地控制了该节点的邻域。无标度网络中的节点度遵循幂律分布,其中大部分节点的连接数(即度数)很小,而少数节点的连接数非常大。此前已有研究发现连接组中存在无标度特性,本研究进一步证实了这一结论。通过数据拟合发现,幂律拟合的误差平方和(SSE)约为指数分布的一半(图8a)。根据Clauset等人(2009)研究中的方法,本研究估算出的幂律指数为2.04,相应的双对数坐标图见图8b。

图8.扩散尺度分布与幂律/指数模型的比较。

计算效率

为了比较计算效率,本研究选择了结合图扩散、热核和图神经网络的A-GHN模型作为基准。从参数数量、模型大小和GPU运行时间等多个维度进行了比较(表3),两种模型均假设拉普拉斯谱已预计算。A-GHN通过注意力机制结合多个扩散尺度(具有隐含的二次时间复杂度),而本研究模型通过学习基础扩散尺度并结合线性层,显著减少了训练时间(见表3)。从结果来看,虽然所提模型在性能上优于A-GHN,但其参数数量仅为A-GHN的四分之一,且训练速度是A-GHN的两倍。更重要的是,本模型在保持性能优势的同时未牺牲可解释性。

表3.本模型与现有最优模型(A-GHN)的计算需求对比。

结论

本研究提出的方法利用图小波的多尺度、多分辨率特性,实现了可解释且高效的大脑结构-功能映射。通过为每个节点计算具有独特尺度的小波,并在训练过程中学习节点适配的尺度,本研究构建了一个端到端的函数,避免了手动选择扩散尺度的问题,从而高效且准确地建模大脑结构与功能之间的关系。该模型不仅需要的训练参数更少,而且能够发现与脑区相关的有意义参数。本模型不仅能够捕捉SC-FC映射关系,还能够识别由各个RoI支持的社区结构。未来的研究可扩展至任务态fMRI数据,以及与衰老和神经退行性疾病相关的静息态fMRI数据,预计在这些情况下学习到的扩散尺度有望成为潜在的生物标志物。

参考文献:Chirag Jain, Sravanthi Upadrasta Naga Sita, Avinash Sharma, Bapi Raju Surampudi; Diffusion Wavelets on Connectome: Localizing the Sources of Diffusion Mediating Structure-Function Mapping Using Graph Diffusion Wavelets. Network Neuroscience 2025; doi: https://doi.org/10.1162/netn_a_00456

小伙伴们关注茗创科技,将第一时间收到精彩内容推送哦~

http://www.dtcms.com/a/132836.html

相关文章:

  • docker部署GPUStack【Nvidia版本】
  • 【Hot100】239. 滑动窗口最大值
  • Express中间件(Middleware)详解:从零开始掌握(4)
  • 高级java每日一道面试题-2025年4月07日-微服务篇[Nacos篇]-如何监控Nacos的运行状态?
  • 深入探究AI编程能力:ChatGPT及其大规模模型的实现原理
  • 纯PHP编写的聊天室无需数据库,上传虚拟空间就可使用
  • 【PostgreSQL教程】PostgreSQL 特别篇之 语言接口连接PHP
  • [LeetCode 45] 跳跃游戏2 (Ⅱ)
  • Python高级爬虫之JS逆向+安卓逆向1.4节:数据运算
  • Solidity私有函数和私有变量区别,私有变量可以被访问吗
  • 在轨道交通控制系统中如何实现μs级任务同步
  • KiCad 9.0:如何在 PCB 上暴露铜皮(开窗)
  • go中new和make有什么异同?
  • [LeetCode 1306] 跳跃游戏3(Ⅲ)
  • AD利用转换工具快速生成异形焊盘
  • 从Ampere到Hopper:GPU架构演进对AI模型训练的颠覆性影响
  • TLA:用于接触-丰富操作的触觉-语言-动作模型
  • Profibus DP转ModbusTCP网关通讯案例解析
  • Arrays.asList() 隐藏的陷阱
  • 论文导读 | 基于GPU的子图匹配算法
  • #4 我们为什么使用物联网? 以及 物联网的整体结构
  • Python六大数据类型与可变类型
  • Thread类的基本用法
  • 用Webpack 基础配置快速搭建项目开发环境
  • 支持多项检测的多段环形光源 助力金属零件缺陷检测
  • Wincc7.5 对于此版本的wincc,许可证的存储介质必须插入usb接口
  • 项目风险的早期识别与应对清单
  • Swift观察机制新突破:如何用AsyncSequence实现原子化数据监听?
  • prime 1 靶场笔记(渗透测试)
  • 开源技术如何助力中小企业实现财务管理自主化?