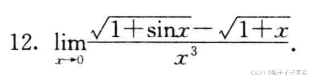
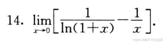
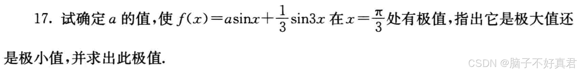
当前位置: 首页 > news >正文 高等数学同步测试卷 同济7版 试卷部分 上 做题记录 第三章微分中值定理与导数的应用同步测试卷 A 卷 news 2025/10/16 21:45:14 第三章微分中值定理与导数的应用同步测试卷 A 卷 一、单项选择题(本大题共5小题,每小题3分,总计15分) 1. 2. 3. 4. 5. 二、填空题(本大题共5小题,每小题3分,总计15分) 6. 7. 8. 9. 10. 三、求解下列各题(本大题共5小题,每小题6分,总计30分) 11. 12. 13. 14. 15. 四、求解下列各题(本大题共5小题,每小题8分,总计40分) 16. 17. 18. 19. 20. 查看全文 http://www.dtcms.com/a/129333.html 相关文章: Blender安装基础使用教程 仓储物流园区可视化平台,推动物流高效运转 Android 14 、15动态申请读写权限实现 (Java) spark RDD相关概念和运行架构 软件架构评估利器:质量效用树全解析 KWDB创作者计划—KWDB多副本集群保姆级部署 QT 老版本下载地址被禁 如何下载 YOLO检测目标后实现距离测量 清华大学:VR交通场景下行人避让车辆行为研究 2019年计算机真题 数据集 | 沥青路面缺陷目标检测 C++语言程序设计——02 变量与数据类型 构建灵活的接口抽象层:支持多种后端数据存取的实战指南 [250412] OpenSSH 10.0 发布,移除DSA算法,sshd默认禁用有限域DH,并分离认证代码 Koordinator-nodeMetricController 消息中间件篇——RabbitMQ,Kafka ubuntu 安装pyllama教程 vue项目调用netcore webapi接口提示:400 Bad Request的解决 英伟达Llama-3.1-Nemotron-Ultra-253B-v1语言模型论文快读:FFN Fusion DAY07:【pytorch】模型构建 07-并发线程 面试题-mk LeetCode 每日一题 2025/4/7-2025/4/13 算法题(123):回文日期 Seleuinm之javascript语句执行 React Hooks: useRef,useCallback,useMemo用法详解 Python中内置的数据结构类型详析(内置数据容器) 【Java集合】HashSet源码深度分析 [python]从whl文件名认识支持python版本和操作系统 第二十二: go与k8s、docker相关编写dockerfile 策略模式实现 Bean 注入时怎么知道具体注入的是哪个 Bean?
第三章微分中值定理与导数的应用同步测试卷 A 卷 一、单项选择题(本大题共5小题,每小题3分,总计15分) 1. 2. 3. 4. 5. 二、填空题(本大题共5小题,每小题3分,总计15分) 6. 7. 8. 9. 10. 三、求解下列各题(本大题共5小题,每小题6分,总计30分) 11. 12. 13. 14. 15. 四、求解下列各题(本大题共5小题,每小题8分,总计40分) 16. 17. 18. 19. 20. 查看全文 http://www.dtcms.com/a/129333.html 相关文章: Blender安装基础使用教程 仓储物流园区可视化平台,推动物流高效运转 Android 14 、15动态申请读写权限实现 (Java) spark RDD相关概念和运行架构 软件架构评估利器:质量效用树全解析 KWDB创作者计划—KWDB多副本集群保姆级部署 QT 老版本下载地址被禁 如何下载 YOLO检测目标后实现距离测量 清华大学:VR交通场景下行人避让车辆行为研究 2019年计算机真题 数据集 | 沥青路面缺陷目标检测 C++语言程序设计——02 变量与数据类型 构建灵活的接口抽象层:支持多种后端数据存取的实战指南 [250412] OpenSSH 10.0 发布,移除DSA算法,sshd默认禁用有限域DH,并分离认证代码 Koordinator-nodeMetricController 消息中间件篇——RabbitMQ,Kafka ubuntu 安装pyllama教程 vue项目调用netcore webapi接口提示:400 Bad Request的解决 英伟达Llama-3.1-Nemotron-Ultra-253B-v1语言模型论文快读:FFN Fusion DAY07:【pytorch】模型构建 07-并发线程 面试题-mk LeetCode 每日一题 2025/4/7-2025/4/13 算法题(123):回文日期 Seleuinm之javascript语句执行 React Hooks: useRef,useCallback,useMemo用法详解 Python中内置的数据结构类型详析(内置数据容器) 【Java集合】HashSet源码深度分析 [python]从whl文件名认识支持python版本和操作系统 第二十二: go与k8s、docker相关编写dockerfile 策略模式实现 Bean 注入时怎么知道具体注入的是哪个 Bean?