当前位置: 首页 > news >正文

Large Language Model(LLM)的训练和微调

之前一个偏工程向的论文中了,但是当时对工程理论其实不算很了解,就来了解一下 

 工程流程

横轴叫智能追寻

竖轴上下文优化

Prompt不行的情况下加shot(提示),如果每次都要加提示,就可以试试知识库增强检索来给提示。

如果希望增强模型对知识的理解,就可以fintune微调一下

Fintune完了加更高级的检索

再最后再增加知识库

Step1:选底座

场景→列出10-50个场景问题→市面主流模型列出来→提示词+fewshot测试

Step2:增加RAG的业务知识

Step3:增加业务知识之后还不行的话那就微调

*一般情况下微调和知识库经常同时使用,时效性比较高的场景只使用微调不太合适

提示词工程使用:

给COT的Fewshot的方式

few shot 例子

如果COT测试场景效果很烂,那么需要fintuning或者换另外一个底座

RAG vs FT

选完基座之后评估表现差多远,然后可以选择长期记忆还是短期记忆

RAG框架

评估RAG框架

https://github.com/explodinggradients/ragas

FT前后对比

(节省不必要的token)

微调流程

agent

​​​​​​​

SFT(Supervised Fine-Tuning)

SFT 是最基础的微调方法,也是传统的“有监督学习”方法,尤其适用于有清晰标注数据的任务。

在预训练模型的基础上,让大模型能更好的用自己学到的知识来回答人提出的问题。 指令微调和原模型在网络结构上完全相同,loss基本相同,训练数据规模不同

SFT(任务)
├── 全参数微调(传统方式)
└── LoRA / Adapter / Prefix-Tuning / QLoRA(PEFT 方法)

基本思路:

  • 在预训练的基础上,使用标注好的数据集对模型进行进一步训练。
  • 目标是让模型更好地适应特定任务或领域,比如回答问题、文本分类、生成任务等。

典型流程:

  1. 数据集准备:准备任务特定的数据集(例如,人类写的问答对、情感分类标注数据等)。
  2. 微调:使用这些数据对预训练模型进行微调,通常会通过调整最后几层的权重
  3. 输出优化:通过计算损失函数来优化模型输出,使其能生成更符合目标任务要求的结果。

优点:

  • 适用于大多数任务,特别是需要解决特定任务的情况。
  • 相对简单且有效。

缺点:

  • 需要大量标注数据(这对一些任务来说可能成本很高)。
  • 微调过程中,可能会丧失一些预训练过程中学到的通用知识,尤其是当训练数据和目标任务相差较大时

概念含义作用
Chat Template对话格式的模板,如用户和助手的标签、system指令的格式等让模型识别多轮对话结构
Completions Only只训练模型的输出部分(completion)提高训练效率、模拟真实生成行为
NEFTune给词嵌入加噪声提升模型鲁棒性和泛化能力增强模型稳定性、加速收敛

Chat Template 对话模板

在训练或推理时,如何组织多轮对话数据的模板格式、

LLMs(如ChatGPT)在处理多轮对话时,需要一个明确的格式来表示:

  • 谁在说话(用户 or assistant)

  • 说了什么

  • 上下文是什么

对话开始的时候加上特殊的token,回答结束的时候也加上特殊的token

在SFT训练中,为了告诉模型“用户说了这些,你应该这样回答”,我们会使用chat template来把整个对话拼接成训练样本。不同模型(LLaMA、ChatGLM、Mistral等)有不同的chat格式,甚至prompt token也不同,所以需要提供“chat template”来适配模型的预训练格式。

Completions only

这个是 一种 SFT 的训练范式,指的是只用模型的 输出部分(completion) 来计算 loss

在一个完整的 prompt + answer 对里:

Human: What is 2 + 2? Assistant: 4

  • Completion only 就是只让模型学习 4 这一部分的输出(即只在 Assistant: 之后计算loss)。

  • Prompt 部分是不需要模型拟合的。

NEFTune (Noise Embedding Finetuning)

给embedding增加噪音的微调

这个是一个最近提出的 微调增强技术,主要用于增强模型鲁棒性和泛化能力。

🔬 原理:

  • 在微调时,对词向量层加入一点小扰动(noise),模拟数据扰动,提升模型的泛化能力。

  • 就像在图像任务里加随机噪声增强数据一样,NEFTune 给词嵌入也加“噪声”。

如果原始词嵌入是 E(x),那么训练时使用的是:

E(x) + ε

其中 ε 是一个小的高斯噪声向量。

论文:《NEFTune: Noisy Embeddings Improve Fine-tuning》

实现

调用trl库

RLHF:Reinforcement Learning with Human Feedback

这是最早也最经典的“大模型对齐技术”。

流程可以简单理解为三步:

  1. SFT(Supervised Fine-Tuning):先用人类写的好回答,让模型学会基本说人话。
  2. Reward Model(奖励模型):训练一个模型,学会判断“哪个回答更好”。
  3. PPO(Proximal Policy Optimization):用强化学习方法(PPO)优化模型,鼓励它说更好的回答。虽然off-policy方法在样本效率上更有优势(可以重用历史数据),但PPO放弃这一点是为了换取训练的稳定性和可控性。在RLHF中,策略通常需要逐步适应人类反馈,而on-policy的每次更新都能直接反映当前策略的表现,更适合这种动态调整的过程。

ChatGPT(GPT-3.5)就是用RLHF训出来的

PPO(Proximal Policy Optimization)

PPO 是一种经典的强化学习算法,用于在 RLHF(Reinforcement Learning from Human Feedback) 中微调语言模型。

基本流程

预训练模型(SFT)

作为初始策略 π₀。

训练奖励模型(RM)

采样一堆回答,然后送进 奖励模型(RM)评估得分。

使用 RL(PPO)算法优化策略 

使π在 RM 下的得分更高,同时避免偏离初始策略太远。

Loss

Advantage (A_t)优势函数:

我们无法直接知道这些值,因此:训练一个 Value Model 来估计 V(s)

Value Model 的原理

  • 输入:prompt(或者prompt + 输出的一部分)

  • 输出:一个标量值 → 估计这个输入会得到多少“总回报”

  • 使用的是回归目标(MSE):

本质上:Value Model 就是个评估器,让 PPO 知道“在哪些回答上继续优化”

on-policy:

  • 因为你训练时必须 依赖于“当前策略 π” 采样出来的数据,不然这个比值和优势函数会不准确。

  • 如果用老数据(旧策略采样的),策略更新方向会不对 → 训练不稳定甚至崩溃

  • 虽然 PPO 引入了“旧策略”的 loss function 来缓解策略变化带来的问题,但它仍然只能用刚刚采样出来的 batch 数据来更新当前策略,不能像 off-policy 那样“重用经验池里的旧数据”。

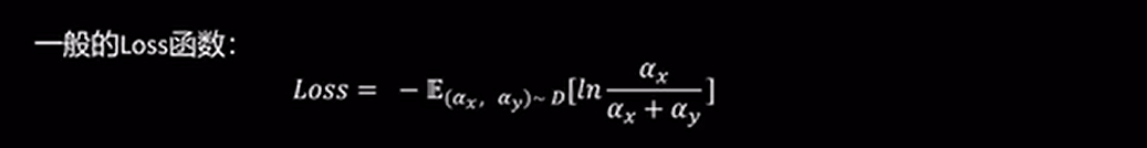
DPO:Direct Preference Optimization

RLHF 太复杂了,reward model 和 PPO 都难搞。

于是有人提出:我们就直接优化模型让它更符合人类偏好,不用 reward model 和 RL 算法。

DPO 就是这样一个方法,直接基于“人类偏好对比数据”(哪个回答更好)来训练模型。

✅ 优点:简单,稳定,训练快,效果还挺好
🎯 所以很多新模型已经开始用 DPO 代替 PPO,比如 Anthropic 的 Claude、Mistral 的 Mixtral 都偏向这种思路。

 背景知识

KL散度

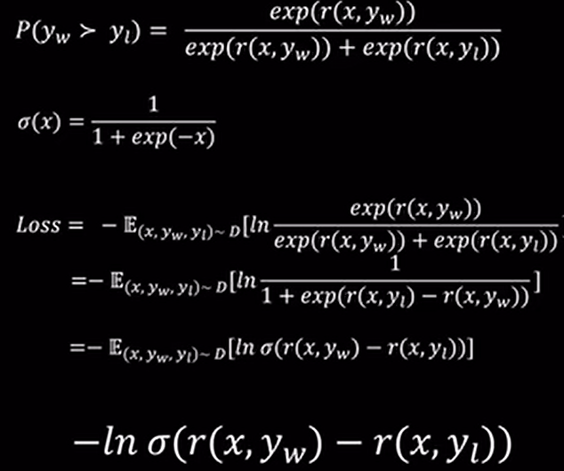
Bradley-Terry 模型

优化目标:x战胜y的概率越趋近于1越好

数据构造

DPO 依赖的是**比较数据(preference data)**而不是打分,因此构造偏好数据的关键是:选择 pair,标注偏好

✅ 常见构造方式:

方法描述说明
人工标注给定 prompt 和两个回答,让人选出更好的那个最可靠但最贵
GPT-4 辅助打分用 GPT-4 或 Claude 给出比较意见(谁更好)快速、成本低、易偏差
评分转偏好先对回答打分(如 1-5 分),再转化为偏好可批量自动构建
多样化采样从多个模型或策略中采样生成不同回答,再两两比较增强数据覆盖面
Pairing with ranking利用多个样本打分再排序 → 生成 pair适用于 GRPO 或 Soft-DPO

🔧 技巧与经验:

  • 尽量构建 hard pair(两个回答都还不错,差距不大)比 easy pair 更有信息量

  • 数据构造建议搭配 初始模型目标模型的策略分布采样,能更稳定收敛

  • 多个偏好数据来源混合(人标、GPT辅助、评分)也能提升泛化性

  • 对抗式 sample(故意制造模糊、诱导、奇葩case)可以提升鲁棒性

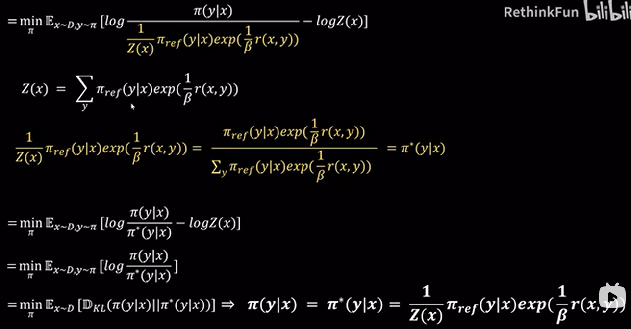
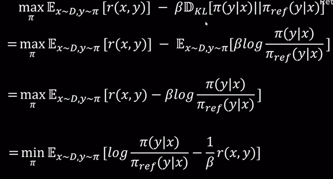
训练目标

虽然 DPO 不使用显式 reward model,但其实它隐含了一个 reward function

KL散度约束新旧模型的一致性

DPO Loss:

DPO vs PPO

项目PPODPO
类别强化学习(RL)监督学习范式(偏好对比学习)
是否需要 Reward Model✅ 需要❌ 不需要
输入形式prompt + 单个输出 + reward scoreprompt + 两个回答(好 / 差)
训练目标最大化 reward,同时不偏离原策略最大化好回答的 logit 分数 > 差回答
优点稳定、成熟、理论支撑强简单直接、无需训练 reward model、易用
缺点复杂、训练成本高、reward model 容易偏对偏好数据质量敏感、无显式 reward 可解释性
代表性使用场景ChatGPT、InstructGPTDPO paper、一些开源RLHF项目如 TRL库 DPO 示例


π(target policy) π₀(reference policy)

PPO:显式构建 reward

偏好数据 y⁺ ≻ y⁻ 👉 训练 Reward Model,使其输出

r(y⁺) > r(y⁻)
这个 reward 被当作 PPO 的 r_t,再带入标准的 policy gradient

DPO 干脆跳过显式构建 reward,直接训练策略模型:

我直接用 log π(y⁺) - log π(y⁻) 当作隐式 reward 差值

这正好就是一种:

  • 近似最大化 E[r]

  • 同时加了对初始模型 π₀ 的 KL regularization

直接构建了训练目标,绕开了 reward 模型

GRPO

GRPO 是deepseek新提出的偏好优化方法,是 DPO 的升级版,它:

  • 推广了 DPO:允许 reward 不再是隐式的对比形式

  • 使用更加灵活的偏好概率模型:

  • 可以用不同形式的 reward,甚至融合其他信号(如评分 + 比较)

如果 DPO 是二分类损失,GRPO 更像广义对比学习框架。

特性DPOGRPO
偏好方式固定为“y⁺ ≻ y⁻”形式可扩展为打分式、多选式、soft-preference 等
reward 计算方式隐式 reward(log prob 差值)显式 reward:r(y) 可以是任意函数或外部得分
训练方式对比学习 + sigmoid loss更泛化的策略优化目标(支持不同形式 reward)
应用场景文本偏好对多模态(如图文),长文本,soft ranking 等

DAPO

解决了GRPO会遇到熵的坍塌等问题

DAPO 是一种新型的强化学习算法,主要特点包括:

  • 解耦裁剪(Decoupled Clipping):分别对高概率和低概率区域使用不同的裁剪策略,以防止策略更新过大导致的不稳定。

  • 动态采样(Dynamic Sampling):在训练过程中动态选择具有信息量的样本,避免无效样本对训练的干扰。

  • Token-Level Policy Gradient Loss:在 token 级别计算策略梯度损失,提升对长序列的优化能力。传统 RL 方法对整个 output sequence 求 reward,然后算个 sequence-level advantage。而 DAPO 切到 token-level loss,这像是不再用 sequence 这个粗粒度单位训练,而是对每一个 token 做微观调节。它和 layer norm / token norm 一样,本质是“对单元粒度做独立归一”,减少梯度振荡、提高模型感知能力。

  • Overlong Reward Shaping:对过长的生成结果进行奖励塑形,减少奖励噪声,提高训练稳定性。

我感觉其实全文透露着一种normalization的思想

DAPO 技术点体现出的 Normalization 哲学
Decoupled Clip对不同 token 的学习幅度进行动态归一/约束
Dynamic Sampling对样本的信息贡献度进行归一处理,引导高效训练
Token-level Gradient把 sequence 的整体奖励拆成 token 单元,细粒度归一
Overlong Reward Shaping避免极长输出 reward 爆炸,类似于梯度 clipping / 激活规整

RLAIF:Reinforcement Learning with AI Feedback

RLHF 里人类要一直标注数据,很费钱。

那有没有可能,用另一个大模型来充当“人类”,给出偏好选择呢?

RLAIF 就是这个意思:

“用 AI 模拟人类反馈,再用 RL 方法优化模型”。

比如:拿 GPT-4 来帮你给一些小模型打分,模拟人类反馈。这样可以省下大量人力标注。


 

Lora

LoRA 并不直接调整模型的所有参数,而是引入了一个低秩矩阵(通过降维方式),在原有网络层之间插入适应层,更新这些适应层的权重

优点

  • 参数更新量小:不需要对整个模型进行微调,仅调整部分适配矩阵。
  • 效率高:尤其适合参数量非常大的大模型,能够快速适配不同任务。
  • 灵活性强:LoRA 可以与其他方法结合,尤其是在大模型的多任务学习中很有优势。

缺点

  • 相比于全模型微调,可能无法完全捕捉到复杂任务中所需的细节。
  • 对任务的依赖性较强,需要根据任务特点调整 LoRA 的使用方式。

训练

预训练模型的权重更新(从通用知识到任务特定知识的转变)可以用一个低秩矩阵来近似表示。具体来说:

  • 假设:权重矩阵的更新 ΔW(任务适配带来的变化)具有低秩结构,即可以用两个小矩阵的乘积来表示,而不是直接更新整个权重矩阵。
  • 实现:在原始权重矩阵 W 上添加一个低秩更新矩阵 ΔW = A × B,其中 A 和 B 是两个低维矩阵,秩(rank)远小于原始矩阵的维度。

推理时:你可以选择:

  • 把 LoRA 的矩阵合并到原模型上,得到一个新的权重

  • 或者保留插入结构,在推理时保持低秩路径(节省内存)

在使用 LoRA 等低秩调整方法时,会优先选择调整 QueryValue,而不是 Key

  • Self-Attention 机制中,输入的每个元素都会通过与其他元素的 QueryKey 计算相似度来生成注意力分数(Attention Scores)。这些分数会与 Value 相乘,得到最终的输出。

  • Query:用于与其他元素计算相似度,决定哪些信息在生成过程中更为重要。

  • Value:决定了模型最终输出的内容,是所有输入信息的加权平均。

  • QueryValue 直接参与注意力计算,它们的变化会直接影响模型生成的内容。通过调整这些部分,可以在保留原有模型架构的同时,优化模型对输入信息的理解和生成能力。

  • Key 更多地用于计算注意力分数,决定了哪些信息会被关注,但并不直接决定输出的内容。调整 Key 相比之下,对模型的生成效果影响较小。

LoRA 也可以配合其他训练任务使用:

  •  LoRA + PPO(强化学习微调)

  • LoRA + DPO(偏好优化)

  • LoRA + 蒸馏(Distillation)

但最常见的场景是 LoRA + SFT,尤其是在训练资源有限或多个任务微调时非常高效。

http://www.dtcms.com/a/128522.html

相关文章:

  • 专题十四:动态路由——OSPF
  • MySQL InnoDB 索引与B+树面试题20道
  • 大模型论文:Language Models are Few-Shot Learners(GPT3)
  • 单调栈 —— 1.基本概念与核心算法
  • 库学习04——numpy
  • Linux——文件(3)软硬连接和动静态库
  • 动态多目标进化算法:基于知识转移和维护功能的动态多目标进化算法(KTM-DMOEA)求解CEC2018(DF1-DF14)
  • go语言从零开始_golang语言介绍_windows下搭建开发环境_VSCode开发go程序配置---go语言工作笔记001
  • MySQL 中为产品添加灵活的自定义属性(如 color/size)
  • GD32F303-IAP的过程和实验
  • 模型开发中的微调是干什么
  • OFDM CP 对解码影响
  • 质量属性场景:构成要素及常见示例精析
  • 制造一只电子喵 (qwen2.5:0.5b 微调 LoRA 使用 llama-factory)
  • 【3分钟准备前端面试】yarn
  • STM32LL库编程系列第八讲——ADC模数转换
  • SQL 全文检索原理
  • C#容器源码分析 --- Stack<T>
  • 蓝桥杯真题——好数、R格式
  • Linux-内核驱动-led
  • C# --- IEnumerable 和 IEnumerator
  • app逆向专题三:adb工具的使用
  • python格式化字符串漏洞
  • 想写回忆录了讲讲我的故事
  • 《汽车制造技术基础》第一次作业
  • FileOutputStream 详解与记忆方法
  • 第十六届蓝桥杯省赛JavaB组题解
  • Ansible-Playbook详解
  • 第十六届蓝桥杯大赛软件赛省赛 C/C++ 大学B组
  • 【图像处理基石】什么是抗锯齿(Anti-Aliasing)?