当前位置: 首页 > news >正文

HCIA-AI人工智能笔记4:神经网络类型

一、神经网络类型全景图

graph TD
A[神经网络类型] --> B(前馈型)
A --> C(反馈型)
B --> B1[全连接网络FCN]
B --> B2[卷积网络CNN]
B --> B3[Transformer]
C --> C1[循环网络RNN]
C --> C2[长短期记忆LSTM]
C --> C3[脉冲神经网络SNN]

二、基础网络架构深度解析

1. 全连接网络(FCN)

华为MindSpore实现:

import mindspore.nn as nn

class FCN(nn.Cell):
    def __init__(self):
        super().__init__()
        self.fc = nn.SequentialCell(
            nn.Dense(784, 512),  # 输入层→隐层
            nn.ReLU(),
            nn.Dense(512, 10)    # 隐层→输出
        )
    
    def construct(self, x):
        return self.fc(x)

适用场景:
结构化数据分类(如客户流失预测)
浅层特征提取

2. 卷积神经网络(CNN)

核心组件对比:
在这里插入图片描述

三、序列建模网络演进

1. 循环神经网络(RNN)

梯度问题分析:

graph LR
A[长序列输入] --> B{梯度传递}
B --> C[梯度爆炸]
B --> D[梯度消失]

华为优化方案:
梯度裁剪:nn.ClipByNorm()
权重初始化:initializer.XavierUniform()

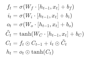
2. LSTM网络结构

门控机制数学表达:
在这里插入图片描述
MindSpore实现:

class HuaweiLSTM(nn.Cell):
    def __init__(self, input_size, hidden_size):
        super().__init__()
        self.lstm = nn.LSTM(input_size, hidden_size, batch_first=True)
        self.fc = nn.Dense(hidden_size, 10)
    
    def construct(self, x):
        out, _ = self.lstm(x)  # out.shape: (B, T, H)
        return self.fc(out[:, -1, :])
      

实验环境与调优指南

1. 基准测试环境

在这里插入图片描述

2. 超参数调优表

在这里插入图片描述
欢迎在评论区交流大模型实践中的挑战或分享行业应用案例!
人工智能入门:基础库与工具【AI精品视频】

http://www.dtcms.com/a/91566.html

相关文章:

  • SpringSecurity + OAuth2 限制一个用户(同端互斥)登录
  • c# winform 提高界面加载速度
  • 毕设知识点
  • 图解AUTOSAR_SWS_UDPNetworkManagement
  • 探索抓包利器ProxyPin,实现手机APP请求抓包,支持https请求
  • Pyecharts入门之绘制地图数据
  • 基于赛灵思 Xilinx RFSoC 的 VPX 6U 高速数据采集模块技术讨论
  • 查看linux系统文件描述符限制
  • 以鸿道Intewell工业操作系统为核心,构建AI机器人新生态
  • 34.[前端开发-JavaScript基础]Day11-王者轮播图-书籍购物车-BOM对象-JSON
  • 知识补充
  • 《Operating System Concepts》阅读笔记:p483-p488
  • Ubuntu软件包离线下载安装
  • 智能制造:物联网和自动化之间的关系
  • QML控件 - Text
  • 聚焦能源数字化转型,遨游通讯携智能化防爆手机亮相cippe2025
  • 6.5 模拟专题:LeetCode 38. 外观数列
  • 基于 mxgraph 实现流程图
  • VS操作快捷键系统快捷键
  • [AI绘图] ComfyUI 局部重绘(Inpainting)Workflow 绘制教程
  • 两头文件互引问题解决(前置声明)
  • 系统思考—第五项修炼
  • Java地图坐标查询距离内经纬度范围,及距离大小
  • Android面试之算法总结
  • Azure SDK 使用指南
  • 如何保障kafka的数据不会重复消费呢,如何防止漏掉呢
  • Es结合kibana查询
  • PyTorch量化技术教程:第一章 PyTorch基础入门
  • 如何在 Windows 上安装并使用 Postman?
  • 问题:md文档转换word,html,图片,excel,csv