dtcms
  • 编程日记
  • 网站建设
当前位置: 首页 > news >正文

高等数学-第七版-上册 选做记录 习题4-1

news 2025/10/15 22:05:36

1. 



2.















3.

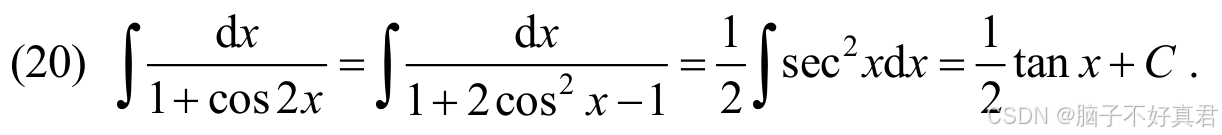
5.

查看全文
http://www.dtcms.com/a/63816.html

相关文章:

  • 搞定python之三----序列、字典及集合
  • 算法练习——双指针算法(更新中)
  • 【2025】基于springboot+vue的网络安全科普平台(源码、万字文档、图文修改、调试答疑)
  • OpenHarmony子系统开发 - 模块配置规则
  • 3.12-1 html讲解
  • 博客系统自动化测试
  • 20 | 如何添加单元测试用例
  • Hadoop 集群部署与配置详解
  • python-leetcode-K 和数对的最大数目
  • 基于Redis实现限流
  • 本地Git仓库搭建(DevStar)与Git基本命令
  • 设计模式之工厂模式
  • 从零开始用AI开发游戏(二)
  • VUE面试题
  • 寻路网格简介
  • 基于django+vue的购物商城系统
  • Python基础之threading多线程同时运行程序
  • 开源链动2+1模式AI智能名片S2B2C商城小程序在KOC参与门店做透中的应用探索
  • 黑马程序员javaweb案例---初识管理系统(spring-boot)
  • Flutter:进度条封装
  • Python精进系列: isinstance 函数
  • 基于SpringBoot的“考研互助平台”的设计与实现(源码+数据库+文档+PPT)
  • 【Pandas】pandas Series asof
  • python可视化开源库
  • 在windows10系统上搭建npm仓库源
  • uni-app如何发布项目为app_2025
  • AI论文开题报告:分享5款写作软件
  • Linux中的基本指令(上)
  • Vue.js知识总结
  • Vue+Node.js+MySQL+Element-Plus实现一个账号注册与登录功能
  • 最新文章

    •  长治网站建设电话北京网站建设方面
      长治网站建设电话北京网站建设方面
      2025/10/15 22:05:31
    •  如何制作微网站西宁建设工程信息网站
      如何制作微网站西宁建设工程信息网站
      2025/10/15 22:05:01
    •  自己做网站的费用做资源分享网站
      自己做网站的费用做资源分享网站
      2025/10/15 22:04:30
    •  网站空间可以自己做服务器wordpress云主机安装
      网站空间可以自己做服务器wordpress云主机安装
      2025/10/15 22:04:00
    •  成都电商设计招聘网站深圳市手机网站建设
      成都电商设计招聘网站深圳市手机网站建设
      2025/10/15 22:03:29
    •  服务公司取名seo公司 杭州
      服务公司取名seo公司 杭州
      2025/10/15 22:02:58

    •  做废铝的关注哪个网站好网站上传空间下一步
      做废铝的关注哪个网站好网站上传空间下一步
      2025/10/12 0:00:00
    •  菏泽网站建设费用php的网站模板下载
      菏泽网站建设费用php的网站模板下载
      2025/10/12 0:00:31
    •  网站建设模版 优帮云小程序企业网站
      网站建设模版 优帮云小程序企业网站
      2025/10/12 0:01:33
    •  网站开发的论文怎么写河南省网站集约化建设
      网站开发的论文怎么写河南省网站集约化建设
      2025/10/12 0:02:06
    •  唐山做网站公司哪家好如何做简单的网站 域名邮箱
      唐山做网站公司哪家好如何做简单的网站 域名邮箱
      2025/10/12 0:02:37
    •  肥城市住房和城乡建设局网站广东推广网络
      肥城市住房和城乡建设局网站广东推广网络
      2025/10/12 0:03:40

    •  云主机安装网站公司装修费用账务处理
      云主机安装网站公司装修费用账务处理
      2025/10/15 0:00:22
    •  wp在本地做的网站 上传长沙模板建站定制
      wp在本地做的网站 上传长沙模板建站定制
      2025/10/15 0:00:53
    •  网站统计cnzz网站推广通常是从网站建设及运营
      网站统计cnzz网站推广通常是从网站建设及运营
      2025/10/15 0:01:27
    •  最好的手机网站建设sirna在线设计网站
      最好的手机网站建设sirna在线设计网站
      2025/10/15 0:01:58
    •  免费一级域名注册网站内网 wordpress慢
      免费一级域名注册网站内网 wordpress慢
      2025/10/15 0:03:02
    •  网站备案安全责任书是谁盖章园林景观设计公司点评的网站和论坛
      网站备案安全责任书是谁盖章园林景观设计公司点评的网站和论坛
      2025/10/15 0:03:33

    •  河南城乡和住房建设厅网站网站产品链接怎么做
      河南城乡和住房建设厅网站网站产品链接怎么做
      2025/10/1 0:00:14
    •  工程施工行业在哪个网站容易找事做欧洲大带宽服务器
      工程施工行业在哪个网站容易找事做欧洲大带宽服务器
      2025/10/1 0:00:46
    •  给帅哥做奴视频网站google海外推广
      给帅哥做奴视频网站google海外推广
      2025/10/1 0:01:51
    •  营销型网站建设电子书2345浏览器
      营销型网站建设电子书2345浏览器
      2025/10/1 0:02:22
    •  哪些网站是响应式的在电脑制作手机网站用什么软件
      哪些网站是响应式的在电脑制作手机网站用什么软件
      2025/10/1 0:02:53
    •  建设教育网站济南地区做公司网站的公司
      建设教育网站济南地区做公司网站的公司
      2025/10/1 0:03:55
    • dtcms介绍
    • 商务合作
    • 免责声明

    CopyRight © dtcms版权所有