复变函数与积分变换 第三章——复变函数的积分
参考教程:
https://www.bilibili.com/video/BV1hV411v7KB?spm_id_from=333.788.videopod.episodes&vd_source=8f8a7bd7765d52551c498d7eaed8acd5
一、复变函数积分的概念
1、复变函数积分的定义
(1)有向曲线:
设C为平面上给定的一条光滑(或按段光滑)曲线,如果选定C的两个可能方向中的一个作为正方向(或正向),那么就把C理解为带有方向的曲线,称其为有向曲线
如果A到B作为曲线C的正向,那么B到A就是曲线C的负向,记为

关于曲线方向的说明:在今后的讨论中,常把两个端点中的一个作为起点,另一个作为终点,除特殊声明外,正方向总是指从起点到终点的方向
(2)简单闭曲线正向的定义:
简单闭曲线C的正向是指当曲线上的点P顺此方向前进时,邻近P点的曲线的内部始终位于P点的左方,与之相反的方向就是曲线的负方向
如下图所示,曲线C1和曲线C2围成一个封闭区域,C1的逆时针方向为正向,C2的顺时针方向为正向

(3)积分的定义:

2、复变函数积分的性质
复变函数积分与实变函数积分的定积分有类似的性质:

3、积分存在的条件及其计算方法
(1)积分存在的条件:
![]()
(2)积分的计算方法:


4、例题





二、柯西-古萨定理
1、问题的提出
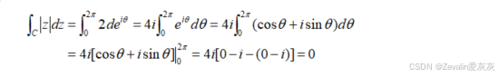
(1)对几个有象征性的复变函数做如下分析:

(2)由以上分析可得,积分值与积分路径是否无关,与被积函数是否解析、积分区域是否连通有关。
2、基本定理


3、例题



三、复合闭路定理
1、闭路变形原理

2、复合闭路定理

3、例题


四、原函数与不定积分
1、主要定理和定义
(1)定理1和定理2:
①定理1:

②定理2:

(2)原函数的定义:

(3)不定积分的定义:
![]()
(4)定理3:

2、例题




五、柯西积分定理
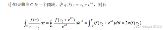
1、柯西积分公式


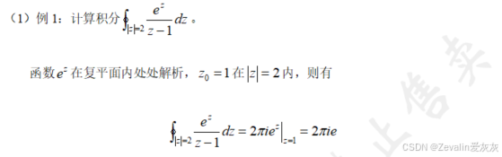
2、例题



六、解析函数的高阶导数
1、主要定理

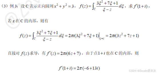
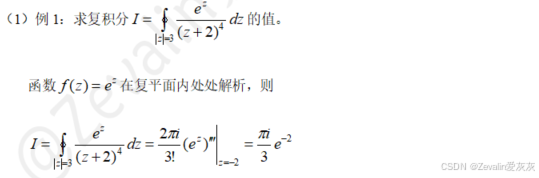
2、例题



七、解析函数和调和函数的关系
1、调和函数的概念

2、解析函数与调和函数之间的关系

3、共轭调和函数
(1)共轭调和函数的定义:

(2)定理1:

(3)定理2:

(4)定理3:

4、例题


