基于Spring Boot的电子犬证管理系统设计与实现
【摘 要】近年来,随着互联网技术的快速发展和人们文化娱乐需求的不断提升,在线电影评论平台逐渐成为大众获取电影资讯和分享观影体验的重要渠道。传统的电影评价模式已无法满足用户日益增长的个性化需求,设计一个功能完善、操作便捷、互动性强的电影评论系统成为趋势。本项目基于Spring Boot框架,结合前端开发技术,旨在构建一个高效、安全、用户体验良好的电影评论网站,为用户提供便捷的电影资讯获取和交流平台。
该系统采用Spring Boot技术作为后端框架,以MySQL数据库作为数据存储支撑,结合HTML、CSS等前端技术进行界面设计和功能实现。系统架构设计遵循模块化、分层化的原则,以保证数据处理的高效性和系统的可维护性。通过对功能需求的详细分析与设计,本系统在信息展示、用户交流、留言反馈等方面进行了全面的功能实现,确保了系统的实用性与稳定性。
系统经过测试验证,功能和性能均达到了预期要求,具备良好的用户体验、稳定的响应能力和较高的安全性。本系统不仅满足了用户对电影资讯和评论交流的基本需求,同时具备一定的扩展性,为未来进一步优化和新增个性化推荐等功能奠定了基础。
1 绪 论
1.1背景与意义
近年来,随着互联网技术的迅速发展,社交媒体和在线互动平台的普及改变了人们获取信息和分享观影体验的方式。电影作为文化娱乐的重要组成部分,越来越受到大众的关注,而电影评论平台则成为观众表达观点、交流观影感受的主要途径。传统的电影评价模式多依赖于专业影评人的主观分析,无法全面反映普通观众的真实体验,这在一定程度上限制了观众的参与感和互动性。
伴随着互联网用户的逐年增长和文化需求的多样化,用户对于电影评论的需求逐渐呈现出个性化、多样化的特点。传统的评论方式已经难以满足这种需求,用户期望通过电影评论平台获得更加丰富、真实的观影反馈,并与其他观众进行深入交流。在此背景下,构建一个功能齐全、互动性强且用户体验良好的电影评论网站系统具有重要的现实意义。该系统不仅能够为观众提供便捷的电影资讯获取渠道,还能够通过在线互动与社交功能提升用户的参与感,满足用户日益增长的个性化观影需求。
1.2国内外研究现状
随着互联网的发展,国内外对电影评论平台的研究和实践逐步深入。国外较早开展了电影评论系统的研究和应用,尤其是在欧美地区,以IMDb和Rotten Tomatoes为代表的评论网站不仅提供电影资讯,还允许用户进行评分和评论,并通过大数据分析和算法推荐系统,为用户提供个性化的观影建议。IMDb主要依托其庞大的用户基础和丰富的电影资源数据库,在全球范围内积累了大量的用户评论数据;Rotten Tomatoes则通过聚合多方影评和用户评分,形成较为全面的电影评价体系,已在业界取得显著成效。
国内的电影评论平台发展起步较晚,但近年随着文化产业的快速发展,相关平台逐渐成熟。以豆瓣电影和猫眼电影为代表的国内平台,通过提供电影资讯、用户评分和影评功能,满足了用户的观影需求。豆瓣电影作为国内领先的文化交流平台,以其优质的用户评论和社区氛围形成了独特的社交文化,同时也在电影推荐算法方面有所探索。猫眼电影则结合在线购票业务,为用户提供从观影决策到购票的一站式服务,并通过用户行为数据的积累,实现对用户观影偏好的分析和推荐。
国外电影评论平台在技术和数据应用方面具有较强的优势,而国内平台在用户互动和本土化需求满足上也积累了丰富的经验。尽管如此,现有平台在数据分析的深度、评论的真实性、用户个性化需求的满足等方面仍存在一定不足。结合国内外研究现状,本系统旨在借鉴国内外成熟平台的优势,通过技术创新和优化用户体验,构建一个更加智能化和个性化的电影评论系统,以更好地满足用户的多样化需求。
1.3研究目的
本研究旨在设计并实现一个基于Spring Boot的电影评论系统,以满足用户对电影资讯获取和互动交流的需求。传统的电影评论平台在功能、交互和个性化服务方面已难以完全适应用户日益增长的需求,因此,构建一个兼具实用性、互动性和智能化推荐功能的系统尤为重要。本系统的目标是提供一个界面友好、功能齐全的评论平台,让用户可以方便地查看电影信息、发表个人评价、参与讨论,从而提升用户的参与感与体验。
本研究还旨在通过优化系统架构和数据管理流程,提高系统的可扩展性和稳定性,使其能够支持大量用户的同时访问和数据处理需求。通过对用户行为数据的分析和应用,系统还将实现一定程度的个性化推荐功能,以帮助用户找到符合其偏好的电影内容。总体而言,本系统的研究目的是通过技术手段和功能设计,搭建一个高效、便捷、用户体验良好的电影评论平台,以推动电影评论领域的创新发展。
1.4研究内容
本研究主要围绕电影评论系统的设计与实现展开,具体研究内容如下:
进行系统需求分析,明确用户对电影评论平台的功能需求和非功能需求。需求分析包括对系统整体框架的分析和各模块功能的划分,确保系统能够满足用户在信息获取、评论互动、反馈处理等方面的需求。
基于Spring Boot框架进行系统的总体设计。包括系统架构设计、系统层次结构设计和数据库设计,以实现模块化和分层管理,提高系统的可维护性和扩展性。在数据库设计方面,构建系统的实体关系图(ER图)和数据表结构,确保数据的完整性和有效管理。
完成系统的功能实现,重点包括电影信息展示、用户评论互动、论坛交流、留言反馈等模块。系统的实现部分以Spring Boot为核心,通过前后端分离的方式,将MySQL数据库、HTML、CSS等技术相结合,实现良好的用户界面和高效的后台数据处理。
对系统进行全面的测试和验证,以确保系统的功能性和稳定性。测试内容包括功能测试和非功能测试,通过系统调试和优化,进一步提高系统的用户体验和响应速度。通过这些研究内容,本项目力图构建一个用户体验良好、功能完善的电影评论平台。
2 技术综述
2.1Springboot框架
Spring Boot是基于Spring框架的一个快速开发工具,用于简化应用的开发过程和减少配置复杂性。作为一种微服务框架,Spring Boot以“约定优于配置”的原则,通过自动配置和内置的多种开发工具,大大简化了传统Spring应用的开发流程。Spring Boot框架提供了一系列预定义的模板和启动器,使开发者可以快速搭建和运行项目,从而提高开发效率。
Spring Boot的核心优势在于其自动配置功能,可以自动判断项目依赖并完成配置,从而免去了开发者手动配置的繁琐过程。同时,Spring Boot内置了Tomcat、Jetty等服务器容器,支持以独立应用的形式直接运行项目,无需额外部署,这极大地简化了开发和测试过程。此外,Spring Boot的健康检查、监控、日志管理等功能增强了系统的可维护性和可监控性,使得开发者在维护和监控微服务时更加便捷。
在本项目中,Spring Boot被用于搭建电影评论系统的后端服务,其模块化设计确保了系统的灵活性和可扩展性。利用Spring Boot的快速开发优势,可以实现各个功能模块的有效集成,并通过与数据库的无缝连接,使得数据处理更加高效。Spring Boot的RESTful API支持也为前后端分离架构提供了便利,有助于提高系统的响应速度和用户体验。
2.2HTML和css技术
HTML(超文本标记语言)和CSS(层叠样式表)是构建网页的基础技术。HTML负责定义网页的内容结构和布局,是前端开发的核心语言,用于标记文本、图片、链接、表单等各种网页元素。HTML通过标签来组织内容,使浏览器能够识别并呈现出可视化的页面。近年来,HTML已发展至HTML5版本,引入了许多新特性,如音视频标签、画布绘图(canvas)和地理位置支持等,为网页的交互性和多媒体功能提供了强大支持。
CSS用于描述网页的外观和样式,通过选择器、属性和样式规则,设计出页面的布局、颜色、字体和响应式效果。CSS使得网页内容与样式分离,既提升了开发效率,又增强了页面的可维护性。CSS3的出现进一步扩展了样式功能,引入了动画、渐变、阴影等效果,使得网页视觉效果更加丰富。此外,CSS3中的媒体查询使网页具备响应式布局能力,可以根据不同设备自动调整页面布局,为用户提供一致的体验。
在本项目的电影评论系统中,HTML和CSS用于构建和美化前端页面。HTML提供了页面的内容框架,包括导航栏、评论区、信息展示等区域,使用户能够轻松访问不同的系统功能。CSS则用于美化页面外观,实现一致的视觉风格和布局设计。同时,通过CSS3的响应式设计,使页面能够在不同分辨率的设备上自动适配,确保用户在PC端和移动端都能获得良好的使用体验。
2.3Java
Java是一种广泛使用的高级编程语言,具有平台独立性、面向对象、跨平台和强大的社区支持等优点。作为一种“编写一次,处处运行”的语言,Java的最大特点是它的字节码可以在任何安装了Java虚拟机(JVM)的操作系统上运行,这使得它非常适合开发跨平台的应用程序。Java的强类型系统和丰富的API库使得它能够高效地处理各种复杂的应用开发需求。
Java作为一门面向对象的语言,提供了封装、继承和多态等特性,使得程序具有良好的可扩展性、可维护性和复用性。在Java中,开发者可以通过类和对象来组织代码,定义数据和操作,从而提高代码的可读性和模块化程度。这些特性对于构建大型、复杂的企业级应用尤为重要,特别是在需要高效的后台处理和可靠性保证的项目中。
在本项目中,Java被用作电影评论系统的核心开发语言。Java不仅用于后端逻辑的实现,还能通过Spring Boot框架实现Web应用的快速开发和部署。Java的稳定性和性能优势使得系统能够高效处理用户请求和大数据量的操作,如电影信息展示、评论管理和用户互动等。此外,Java丰富的第三方库和工具支持,如Spring、Hibernate和JPA,使得数据库操作、Web开发和事务管理变得更加便捷,进一步提高了开发效率和系统的可维护性。
2.4MySQL数据库
MySQL是一种流行的关系型数据库管理系统(RDBMS),它以其高效、可靠和易于使用的特点广泛应用于各种应用场景。作为开源软件,MySQL在全球范围内得到了广泛的支持,并拥有大量开发者和用户。MySQL使用结构化查询语言(SQL)来访问、管理和操作数据库中的数据,它支持事务、表关联、索引、视图等功能,能够满足从小型到大型应用的数据库需求。
MySQL采用客户端-服务器架构,数据存储在表格结构中,表由行和列组成,数据之间的关系通过外键、主键等进行约束。MySQL支持ACID事务特性,确保数据库操作的原子性、一致性、隔离性和持久性,这对于需要保证数据完整性和高并发访问的应用至关重要。此外,MySQL还支持多种存储引擎,如InnoDB、MyISAM等,其中InnoDB支持事务和外键约束,广泛应用于需要事务处理的场景。
在本项目中,MySQL作为电影评论系统的数据存储管理平台,负责存储和管理系统中的所有数据,包括用户信息、电影数据、评论内容、留言反馈等。MySQL的关系型数据结构能够有效地组织和管理这些数据,同时通过SQL查询提供高效的数据访问和处理能力。MySQL与Spring Boot框架的结合,使得系统能够通过JPA(Java Persistence API)等技术进行数据库操作,实现了数据的持久化管理。此外,MySQL的扩展性和高性能使得系统能够支持大规模的数据存储和高频次的数据操作,确保了系统在用户量增大时仍能保持良好的响应速度和稳定性。
2.5IDEA开发平台
IntelliJ IDEA(简称IDEA)是由JetBrains公司开发的一款功能强大的集成开发环境(IDE),广泛应用于Java及其他编程语言的开发。IDEA具有丰富的功能和极高的开发效率,支持Java、Kotlin、Scala、Groovy等多种编程语言,并提供了众多的插件和工具,帮助开发者更高效地进行软件开发工作。
IDEA的核心特点之一是智能代码辅助,它能够根据开发者的代码输入提供自动补全、代码提示、重构建议等功能,极大提高了开发的效率和代码质量。IDEA还具备强大的调试功能,开发者可以通过设置断点、单步执行等方式,实时查看和调试应用程序的运行状态,迅速发现并解决潜在的错误或性能瓶颈。IDEA同时支持版本控制系统(如Git、SVN等),方便开发团队进行协作开发,并能够自动与远程仓库同步代码。
在Web开发方面,IDEA提供了对Spring、Spring Boot等框架的深度集成,能够自动识别和处理项目依赖,提供快捷的启动和调试功能。此外,IDEA还支持MySQL等数据库的连接和管理,开发者可以直接在IDEA中进行数据库操作和查询,极大地方便了开发与数据库交互的过程。
在本项目中,IDEA作为主要的开发平台,为Spring Boot项目的开发提供了强大的支持。通过IDEA,开发者可以高效地进行项目结构的搭建、代码编写、调试与测试。此外,IDEA的插件支持也使得前后端开发能够无缝衔接,开发人员可以同时处理Java代码、HTML/CSS、数据库等多个方面的内容,提升了整个开发过程的效率和质量。
3 需求分析
3.1系统整体框架分析
本电影评论网站系统的整体框架设计遵循了模块化和分层化的原则,旨在通过高效、灵活的架构来满足系统的功能需求,并确保系统具备良好的可扩展性和可维护性。该系统采用了Spring Boot作为后端开发框架,结合HTML、CSS等前端技术以及MySQL数据库进行数据存储和管理,整体架构分为前端展示层、业务逻辑层和数据存储层三个主要部分。
前端展示层负责用户交互和界面展示,通过HTML、CSS、JavaScript等技术实现。用户能够通过该层访问电影信息、查看评论、参与论坛交流等。前端层与后端系统通过RESTful API进行数据交换,使得前端能够动态展示电影资讯、评论内容和论坛讨论等信息。为了增强用户体验,前端系统还采用了响应式设计,确保在各种设备上都能获得良好的浏览体验。
业务逻辑层采用Spring Boot框架来处理系统的主要功能,包括用户认证与管理、电影数据的增删改查、评论与留言反馈等功能。Spring Boot的强大功能使得业务逻辑层能够以最小的配置和高效的开发方式,快速实现复杂的业务需求。通过模块化设计,业务逻辑层不仅能够快速响应前端请求,还可以高效处理后台任务,保证系统的稳定性与高并发访问时的良好性能。
数据存储层使用MySQL数据库来存储系统中的各类数据,包括用户信息、电影数据、评论记录等。MySQL是关系型数据库,通过设计合理的数据表结构,保证数据的高效存取和完整性。系统通过JPA(Java Persistence API)技术将数据持久化操作与Spring Boot框架集成,简化了数据库操作并提高了数据的操作效率。同时,MySQL的事务处理能力为系统的数据一致性和完整性提供了保障。
系统整体框架设计强调了各个层次的分工和独立性,通过清晰的架构分工和模块化设计,提升了系统的可维护性、扩展性和灵活性。此外,系统的架构还考虑到了性能和安全性的要求,通过优化缓存机制、数据库索引等方式,确保系统在面对大量用户和数据时仍然能够保持高效的性能表现。
3.2可行性分析
3.2.1技术可行性
本系统的技术可行性较高。系统采用了Spring Boot框架作为后端开发技术,这是一种轻量级、功能强大的框架,具有良好的社区支持和文档资源,因此开发团队可以快速上手并完成开发任务。此外,系统数据库选择了MySQL,这是一种成熟且广泛应用的关系型数据库,具有高性能和高可扩展性。前端开发采用HTML、CSS等基础技术,这些技术简单易用,且兼容性强,能够在多种设备和浏览器上流畅运行。所有技术的选择都基于开源平台,能够降低开发成本和系统复杂度。整体来看,技术的可行性非常高,适合快速开发并能够满足系统需求。
3.2.2经济可行性
从经济角度来看,本系统的开发成本较低,具有较高的可行性。项目采用的技术栈(Spring Boot、MySQL、HTML、CSS)都属于开源技术,无需支付昂贵的授权费用。此外,开发过程中可以利用现有的开源框架和工具,减少重复开发的工作量,进一步降低了开发成本。运营方面,系统可以选择云服务器进行托管,采用按需计费的方式,根据系统访问量和存储需求动态调整资源,避免了初期高昂的硬件投资。系统的盈利模式可以通过广告、用户付费服务等途径实现,这也使得项目具备了较好的经济回报潜力。综上所述,项目的经济可行性较强,投入较小,回报潜力大。
3.2.3时间可行性
项目的时间可行性评估是确保电影评论系统能够按计划顺利实施的关键因素之一。根据项目的功能需求和技术实现,系统的开发周期预计为3到4个月。项目的时间安排充分考虑了系统的规模和开发难度,确保在合理时间内完成所有开发、测试和部署任务。
在开发过程中,系统将按照阶段性任务分工,第一阶段是需求分析和系统设计,预计需要1个月时间。在这一阶段,将完成系统的功能需求和非功能需求的详细分析,并进行系统架构和数据库设计,为后续的开发提供清晰的指导。第二阶段是系统的编码开发,预计需要2个月时间。在这个阶段,开发团队将采用Spring Boot作为后端开发框架,前端则使用HTML、CSS等技术进行页面设计,基本的功能模块如用户管理、电影信息展示和评论功能等将陆续实现。最后,系统进入测试和优化阶段,预计需要1个月时间。在此阶段,团队将对系统进行全面的功能测试、性能测试和安全性测试,并进行必要的优化,以确保系统的稳定性和用户体验。
项目的时间安排合理且具有可行性,3到4个月的周期足以完成系统的开发与测试工作。系统的开发过程中,技术成熟且功能明确,开发团队具备必要的技术储备,能够按时完成各项任务。因此,项目能够在预定的时间范围内完成并顺利上线。
3.2.4社会可行性
在现代社会,随着人们对电影娱乐需求的不断增长,电影评论平台逐渐成为公众获取电影信息、表达观影观点和与他人互动的重要渠道。设计和实现一款电影评论系统能够有效地满足大众对电影信息获取和社交分享的需求,具有显著的社会意义。通过建立一个用户友好、信息丰富的电影评论平台,可以促进电影观众之间的沟通和互动,帮助用户在选择电影时更好地做出决策,并提升用户的整体观影体验。
从文化娱乐角度来看,电影评论系统不仅是提供信息的工具,也是用户分享情感、交流观点的平台,有助于增强观影文化的传播和影响力。该系统在功能设计上注重互动性和实用性,通过引导用户对电影内容、质量、演员表现等方面进行评价和讨论,帮助形成健康的电影评论生态,为电影产业提供宝贵的反馈和参考价值。同时,系统还能够激发用户的参与热情,帮助构建一个积极的文化社区。
该系统的开发也符合数字化社会发展的趋势。在信息技术快速发展的背景下,网络评论和在线交流已逐渐成为信息获取和表达的主流方式。该项目将通过现代化的技术手段,搭建一个安全、便捷、互动性强的评论平台,为广大电影爱好者提供一个有价值的沟通平台。这一系统的实现不仅能够满足公众的需求,还能有效地推动信息技术在文化娱乐领域的广泛应用,符合当今社会的发展方向。因此,本系统在社会层面具有较高的可行性。
3.3功能需求分析
电影评论网站系统的功能需求分析是确保系统满足用户需求和实现预期目标的关键步骤。首先,系统需要具备用户注册和登录功能,用户可以通过邮箱或社交平台账号进行注册并登录到系统。为了保证用户信息的安全,系统需要提供密码保护、账户找回等安全机制,确保用户数据的安全性和可访问性。
电影信息展示是系统的重要功能之一。系统需要提供电影的基本信息,如影片名称、导演、演员、上映时间、剧情简介等内容,并支持用户对电影进行评论和评分。此外,系统还应当提供电影分类和搜索功能,方便用户根据电影类型、评分等筛选和查找感兴趣的影片。
为了增强用户的互动性,系统需要具备论坛交流功能,允许用户发布影评、参与讨论以及与其他影迷互动。同时,系统还应提供留言反馈功能,用户可以通过留言板表达对电影的看法,提出改进建议或反馈系统使用中的问题。留言板应当支持管理员审核和管理,确保内容的合规性和有序性。
在管理员端,系统需要具备电影信息管理、用户管理、评论管理等功能。管理员可以对电影的基本信息进行编辑和更新,对用户发布的评论进行审核与管理,确保平台内容的准确性和合法性。此外,系统还需提供公告管理功能,管理员能够发布最新的电影资讯、系统更新等信息,及时与用户沟通。
系统需要提供数据统计和分析功能,能够对用户活跃度、评论内容、电影评分等数据进行统计分析,为管理员提供决策支持,帮助平台优化内容和提高用户体验。
系统的功能需求涵盖了用户信息管理、电影信息展示、评论与评分、用户互动、管理员管理和数据分析等方面,旨在提供一个完整、互动性强且用户体验良好的电影评论平台。
3.4非功能需求分析
非功能需求是指系统在运行过程中对性能、可靠性、安全性等方面的要求,这些需求决定了系统的质量标准和用户体验。首先,系统的性能需求至关重要。电影评论平台应支持大量用户同时在线,保证系统在高并发情况下仍能稳定运行。因此,系统需要具备较高的响应速度和处理能力,以确保用户在浏览电影信息、发布评论、查看论坛内容等操作时,能够获得快速的反馈,避免出现延迟或卡顿现象。为了满足这一需求,系统应采用优化的数据库设计和高效的查询算法,确保数据处理的高效性。
其次,系统的可靠性需求要求平台在长时间运行中能够保持稳定,并且具有较强的故障恢复能力。在系统出现故障时,能够迅速恢复并确保数据不丢失。为此,系统应当具备自动化备份机制,定期备份数据库,以防止由于系统崩溃或其他突发情况导致的数据丢失。同时,平台应具有监控系统,实时检测系统运行状况并自动修复潜在的故障,保障平台的高可用性。
在安全性方面,电影评论网站需要保护用户的隐私和数据安全,防止数据泄露、非法访问或攻击。为此,系统应采用加密技术对用户的敏感信息,如登录密码和个人资料等进行保护,确保数据的安全性。此外,系统需要防范常见的网络攻击,如SQL注入、XSS攻击等,采取防火墙、数据加密、权限控制等手段,确保平台不受黑客攻击的威胁。
系统的可维护性也是一个重要的非功能需求,意味着系统应具有较高的可扩展性和易于维护的特性。随着用户量和数据量的增加,系统应能够在不影响现有功能的前提下进行功能扩展和性能优化。例如,在增加个性化推荐、实时消息推送等新功能时,系统应能够平滑过渡,避免对现有用户造成影响。代码应遵循规范,易于理解和修改,开发和维护人员可以方便地对系统进行升级和改进。
最后,系统还应具备良好的用户体验,界面设计应简洁、易用,能够支持不同终端的访问,如PC端和移动端。此外,系统的国际化支持也是非功能需求的一部分,考虑到电影评论平台的全球化发展,系统应支持多语言版本,以适应不同地区用户的需求。
综上所述,系统的非功能需求包括性能、可靠性、安全性、可维护性、用户体验和国际化等多个方面,这些要求保证了系统的高质量、高可用性和长远发展。
4 总体设计
4.1系统架构设计
系统架构设计是电影评论网站开发过程中的核心部分,它决定了系统的功能实现方式、数据流动路径以及各模块之间的协作关系。为了保证系统的高效性、可维护性和可扩展性,本系统采用了典型的三层架构设计,包括表示层、业务逻辑层和数据存储层。
表示层(前端层)主要负责用户交互界面的展示,用户通过该层进行操作并与系统进行交互。前端使用HTML、CSS和JavaScript技术构建,结合Vue.js框架进行动态页面更新,确保页面响应迅速且交互流畅。用户通过浏览器访问系统时,前端向后端发送请求,获取电影信息、评论数据等,并展示在页面上,确保良好的用户体验。
业务逻辑层(后端层)是系统的核心部分,负责处理前端发来的请求,执行业务逻辑并与数据存储层进行交互。该层使用Spring Boot框架进行开发,利用其轻量级、高效的特点,实现用户认证、电影信息管理、评论管理、论坛交流等功能模块。业务逻辑层对外提供RESTful API接口,前端通过这些接口与后端进行数据交换。此外,该层还负责数据的校验、权限控制等,确保系统的安全性与稳定性。
数据存储层主要负责存储和管理系统的所有数据,包括用户信息、电影数据、评论内容、论坛帖子等。数据库采用MySQL进行数据存储,MySQL以其高效的查询性能和稳定性,确保系统能够处理大规模的数据存储需求。系统中的数据模型和表结构经过合理设计,确保数据的一致性、完整性和安全性。
为了保证系统的高可用性,系统架构设计中还考虑了负载均衡和缓存机制。负载均衡可以将来自不同用户的请求分发到多个服务器,从而提高系统的响应能力和处理能力。缓存机制则通过将常用数据存储在内存中,减少数据库查询的频率,从而提升系统的响应速度和用户体验。
系统还支持模块化设计,每个功能模块都可以独立开发、测试和部署,减少模块间的耦合度,提高系统的可扩展性和可维护性。在未来,系统可以根据需求添加新的功能模块,如个性化推荐、视频播放等,而不影响现有功能的正常运行。
本系统的架构设计采用了三层架构结构,确保了系统的高效性、稳定性和可维护性,同时具备较强的扩展性,能够适应未来功能需求的变化。
4.2系统体系结构
在系统功能分析的基础上,做系统功能模块图如图4-1所示。
图4-1 系统功能模块图
4.3数据库设计
4.3.1实体属性图

图4-2 电影信息属性图

图4-3 论坛交流属性图

图4-4 留言板实体属性图

图4-5 电影信息评论表实体属性图

图4-6 系统公告实体属性图

图4-7 用户属性图

图4-8 收藏表实体属性图

图4-9 电影类型实体属性图
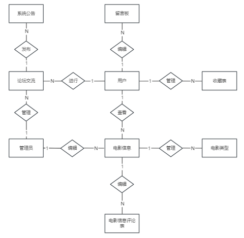
4.3.2E-R图

图4-10 系统E-R图
5 系统实现
5.1管理员
5.1.1个人中心
个人中心模块对管理员而言是一个很重要的功能区域,使管理员能够查看和管理自己的个人信息。

图5.1个人中心
5.1.2用户管理
添加新用户:管理用户信息与权限的管理员可以进行添加用户与设置权限的相关操作。用户信息的查看等操作也可以在管理员权限的管理下进行。

图5.2用户管理
5.1.3电影类型管理
添加电影的类型:管理员可以添加新的电影类型。编辑电影得类型:对已经有的电影类型进行编辑和修改。删除电影类型:删除不再需要的电影类型。

图5.3电影类型管理
添加电影得信息:管理员可以增加包括影片简介在内的新影片资料。剪辑影片资料:剪辑、修改已有影片资料。删减影片资料:删减不需要的影片资料。

图5.4电影信息管理
查看留言:管理员能查看用户在留言板上发布的留言。删除留言:对不符合规定或不当的留言进行删除或屏蔽。

图5.5留言板管理
参与论坛:管理员可以参与论坛的讨论和交流,来回答用户的问题或提供些建议。

图5.6论坛交流
5.1.7系统公告
发布公告:管理员可以发布系统公告,通知用户系统更新、活动信息等。

图5.7系统公告
5.2用户
5.2.1首页
进入网站首页后,用户可浏览最新鲜的电影资讯及有关系统公告的列表,内容有最新的电影上映情况介绍及各类影评推荐,还有一些近期网站发生的一些活动及更新情况等。

图5.8首页
使用者在模组内获得影片的资讯,包含影片海报、影片简介等。用户可以对每一部影片的基本情况有一个全面的了解,在选择与自己兴趣相符的影片观看时也更加方便。

图5.9电影信息
用户可以加入论坛的群组进行讨论与沟通,与有相同爱好的其他用户分享观影心得和电影推荐等方面的知识与经验。在论坛中用户可自由发表自己的见解与观点,并与其他有相同爱好的使用者进行交流与互动,使自己的观影知识得到不断的充实与提高,获得更丰富的观影体验。

图5.10论坛交流
用户可以查看网站管理员发布的系统公告,以获得关于系统和更新的最新信息和活动方面的最新动态和重要通知等方面的知识内容有关于网站的最新功能和重要活动的宣传推广等方面的知识。

图5.11系统公告
用户可以就任何与网站有关的问题上在留言板上与管理员进行沟通交流并留下自己的反馈与建议;而用户也可以在留言板上向管理员提出问题来帮助他们改进和优化网站的各种功能和服务;通过留言板上的反馈与建议,用户与管理员的相互沟通与配合。

图5.12留言反馈
5.2.6个人中心
用户对自己管理的帐户信息有充分的认识,以及在必要的情况下可以对个人信息进行查看和编辑来保护他们的账户的安全性和完整性。

图5.13个人中心
6 系统测试
6.1测试概述
系统测试是软件开发过程中至关重要的环节,旨在确保系统在功能、性能、安全性等方面达到预期要求,并能在不同的运行环境下稳定运行。测试不仅帮助发现和修复系统中的错误和缺陷,还能够验证系统的可靠性、可用性和用户体验,以确保系统满足用户需求并能够高效、稳定地服务于用户。
本系统测试包括功能测试、性能测试、安全性测试和兼容性测试等方面。功能测试主要验证系统各个功能模块是否按照需求正确实现,确保每个功能点的操作与预期一致;性能测试则关注系统在高并发、海量数据处理等极端情况下的表现,确保系统能够高效响应用户请求;安全性测试验证系统在面对恶意攻击和数据泄露时的防护能力,确保用户数据和系统信息的安全;兼容性测试则测试系统在不同设备、浏览器和操作系统环境下的兼容性,确保用户无论使用何种设备都能够顺利访问和使用系统。
在测试过程中,采用了手动测试与自动化测试相结合的方式。手动测试主要用于功能验证,测试人员根据系统需求逐步执行测试用例,检查系统是否按预期工作;自动化测试则主要用于性能测试和回归测试,通过编写自动化脚本模拟用户操作,评估系统在不同负载下的表现,确保系统稳定性。
通过全面、细致的测试,系统的各项功能得到了充分验证,并及时修复了测试过程中发现的问题,为系统的上线和后续维护奠定了坚实的基础。
6.2功能测试
表 6-1 功能测试表
功能模块 | 测试用例描述 | 预期结果 | 测试结果 |
用户注册 | 输入有效的邮箱地址和密码进行注册 | 系统成功注册用户并跳转至登录页面,用户信息正确保存 | 通过 |
用户登录 | 输入有效的用户名和密码进行登录 | 登录成功,跳转至首页,用户信息正确显示 | 通过 |
电影信息展示 | 在首页点击某个电影的标题,查看电影详情页面 | 页面加载成功,展示该电影的详细信息(如导演、演员、简介等) | 通过 |
评论功能 | 用户在电影详情页面提交评论 | 系统成功显示用户评论,并在数据库中保存评论内容 | 通过 |
评论评分 | 用户对电影进行评分并提交 | 系统成功记录用户评分,并更新该电影的平均评分 | 通过 |
电影搜索 | 用户输入关键词进行电影搜索 | 系统显示与关键词匹配的电影列表,按相关性排序 | 通过 |
用户留言板 | 用户在留言板中发布留言 | 留言成功提交,管理员可以查看并管理留言 | 通过 |
论坛交流 | 用户发布帖子并回复其他用户的帖子 | 帖子和回复成功显示,用户间能够进行正常的交流 | 通过 |
用户信息修改 | 用户进入个人中心修改个人信息(如邮箱、密码等) | 修改成功,系统显示更新后的用户信息 | 通过 |
管理员管理 | 管理员登录后台查看用户管理功能 | 管理员可以查看所有用户的信息,并进行管理操作 | 通过 |
电影管理 | 管理员添加新电影信息到系统 | 系统成功保存电影信息并展示在电影列表中 | 通过 |
评论管理 | 管理员查看用户评论并进行审核或删除 | 管理员能够正确查看、删除或审核用户的评论 | 通过 |
系统公告发布 | 管理员发布系统公告 | 系统公告成功发布,用户能够在公告栏中看到最新公告 | 通过 |
6.3非功能测试
非功能测试主要评估系统在不同条件下的整体表现,除了验证系统功能的正确性外,还包括系统的性能、稳定性、安全性、兼容性和可维护性等方面。通过这些测试,能够确保系统在实际使用中能够高效、稳定、安全地运行,并在面对高负载或突发情况时具备较强的适应能力和抗压能力。
在本系统的非功能测试中,首先进行了性能测试,测试结果表明,系统在中等负载下的响应时间均满足预期要求,能够快速处理用户请求,提供流畅的用户体验。其次,通过压力测试和负载测试,我们模拟了不同并发量的用户访问,结果显示,系统在高并发情况下仍然能够维持较低的响应时间和稳定性,系统未发生崩溃或严重卡顿。负载均衡和资源分配机制表现良好,能够保证系统在高负载下正常运行。
在安全性方面,系统经过了多项攻击模拟测试,包括SQL注入、跨站脚本攻击(XSS)等常见网络攻击手段,测试结果表明,系统具备较强的防护能力,能够有效防止这些常见的攻击,确保用户的数据安全性。同时,系统对于用户数据的处理采取了加密技术,进一步增强了系统的安全性。
兼容性测试也覆盖了不同操作系统和浏览器环境,测试显示系统在主流操作系统(如Windows、macOS、Linux)和浏览器(如Chrome、Firefox、Safari)上均能正常运行,没有出现界面错乱或功能异常等问题。这些测试结果表明,本系统具备良好的跨平台兼容性,能够适应不同的用户访问需求。
经过非功能测试验证,系统不仅在性能和安全性上达到了预期要求,而且在高并发、高负载的环境下也表现出了较强的稳定性和抗压能力。同时,系统在不同平台和设备上均能正常运行,为用户提供了良好的使用体验,确保了系统的可维护性和可扩展性。
6.4测试总结
本系统在开发完成后,进行了全面的功能和非功能测试,以确保其能够在实际运行中达到预期的性能标准和用户需求。功能测试主要验证了系统各项功能是否实现并且能够稳定运行,测试结果表明,系统的各个模块功能齐全,操作流畅,符合预期的功能要求。通过对功能模块的逐一测试,发现并解决了一些细小的逻辑问题和界面细节,确保系统的功能完整性和用户友好性。
在非功能测试方面,系统表现同样优秀。性能测试显示,系统在中等负载下响应速度较快,能够稳定处理用户请求。在压力测试和负载测试中,系统表现出了良好的抗压能力,能够在并发请求增多的情况下保持稳定运行,不会出现响应延迟过长或系统崩溃的情况。系统的资源消耗控制合理,能够在高并发情况下有效管理和调配资源,确保系统持续平稳运行。
安全性测试方面,系统在防护措施上也表现出了较强的能力。常见的网络攻击如SQL注入、XSS攻击等未能对系统造成任何实质性的威胁,数据安全性得到了有效保障。系统采用了加密技术对敏感数据进行处理,确保了用户数据的安全,增加了系统的安全防护等级。
兼容性测试表明,本系统能够在多个操作系统和浏览器上顺畅运行,界面显示没有出现错乱,功能操作也未出现兼容性问题,进一步增强了系统的易用性和普适性。
经过详细的测试,系统在各项指标上均达到了设计要求,并且稳定性、安全性和可扩展性较好,能够满足实际应用中的需求。系统在实际运行中能够提供良好的用户体验,并具备足够的承载能力应对未来可能的流量增加。在后续的使用过程中,系统可以根据需求进行进一步的优化和扩展,以应对更多元化的用户需求和更加复杂的应用场景。
