Maleimido-mono-amide-DOTA,1006711-90-5功能特性与核心优势
一、试剂参数
英文名称:DOTA-MAL,Maleimido-mono-amide-DOTA,DOTA-Maleimide,MAL-mono-amide-DOTA
中文名称:DOTA-马来酰亚胺
CAS:1006711-90-5
分子式:C22H34N6O9
分子量:526.54
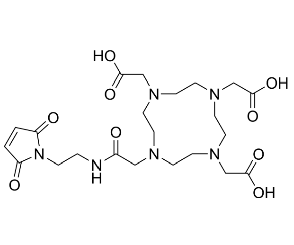
结构式:
二、功能特性与核心优势
1.金属螯合能力
DOTA部分可高效螯合多种金属离子,包括:
核素:如⁶⁴Cu(PET显像)、⁶⁸Ga(PET显像),通过正电子发射实现高灵敏度成像。如¹⁷⁷Lu(β射线)、⁹⁰Y(高能β射线),。
DOTA的八齿配位结构确保金属离子在生理条件下稳定螯合,核素泄漏率低于5%,保障安全性。
2.生物偶联特异性
MAL基团通过共价键与含巯基分子(如抗体、多肽)结合,形成不可逆的硫醚键。其优势包括:
高选择性:仅与巯基反应,避免对氨基、羧基等官能团的干扰。
反应条件温和:无需催化剂,可在中性pH和室温下完成偶联,减少生物分子活性损失。
空间可控性:连接臂设计优化MAL与DOTA的空间距离,避免螯合位点被生物分子遮蔽。
3.多领域适配性
材料科学:作为交联剂构建生物传感器,通过DOTA螯合金属离子增强信号传导。
纳米技术:修饰纳米颗粒表面,实现金属离子负载与生物靶向功能集成。
分析化学:用于金属离子标记的免疫分析,提升检测灵敏度。
三、试剂规格
纯度:95%+
规格:1g,5g,10g(可按需包装)
产品性状:白色至黄色的固体粉末
溶解性:溶于DMF、DMSO等部分有机溶液。
储存条件:不超-20℃干燥、避光储存
注意事项:现配现用,不可频繁解冻
产品用途:只可用于科研,不可用于人体
供应商:西安凯新生物科技
四、应用场景与技术实现
1.生物分子标记与功能化
多肽修饰:通过MAL基团将DOTA定点偶联至多肽C端或侧链巯基,构建核素标记探针。例如,在Exendin-4第39位引入半胱氨酸,与DOTA-MAL反应生成DOTA-MAL-Cys39-exendin-4,用于受体分布研究。
2.抗体偶联:作为ADC(抗体-药物偶联物)的不可裂解连接子,将细胞毒素与抗体连接,实现靶向递送。
核素标记技术
自动化合成模块:配合⁶⁸Ga发生器,实现DOTA-MAL标记分子的快速制备(15-30分钟完成),满足临床需求。
质量控制:通过HPLC和放射性TLC监测标记效率(>95%)和放射化学纯度,确保产物稳定性。
3.材料表面功能化
生物传感器构建:将DOTA-MAL修饰至金纳米颗粒表面,螯合Cu²⁺或Fe³⁺,通过电化学信号变化检测生物分子相互作用。
磁性纳米颗粒修饰:结合DOTA-MAL与超顺磁性氧化铁纳米颗粒,实现MRI对比剂与核素标记的双重功能。
五、相关试剂
1206475-68-4;p-SCN-Bn-NOTA;NOTA-p-苯-NCS
(R)-NOTA-GA-(COOt-Bu)3,(R)-NOTA-GA-三叔丁酯
1252799-47-5
NOTA-C6-amine,NOTA-C6-NH2
Cyclo(-D-Ser-Pro-D-Val-Leu-D-Trp)
153982-38-8
(Cyclo(Glu22-Lys26),Leu27)-pTH (1-31) amide (human)
188899-65-2
Cyclen
294-90-6
p-SCN-Bn-DTPA
102650-30-6
NH2-NODA-GA
1630114-57-6
DOTA-RGD
NO2A-(t-Bu ester)
174137-97-4
以上由小华编辑整理的所有试剂仅供于科研实验使用。
