人工智能之数学基础:离散型随机变量的期望怎么计算?
本文重点
本文我们将学习离散型随机变量的期望,以及常见的离散型随机变量分布的期望是如何求的
如何计算期望?
现在有两种型号的行李箱,其中一种型号的行李箱售价为200元,而另外一种型号的行李箱售价为1800元,现在一个工厂每天生产第一种型号的行李箱1万件,而生产第二种型号的行李箱100件。问:这个工厂生产的行李箱的平均价格是多少?

计算方法如上所示,我们可以看到计算均值的方法如下,可以看成是价格1*占比1+价格2*占比2,就是这个工厂生产的行李箱的平均价格。这个我们就称之为期望。
期望的定义
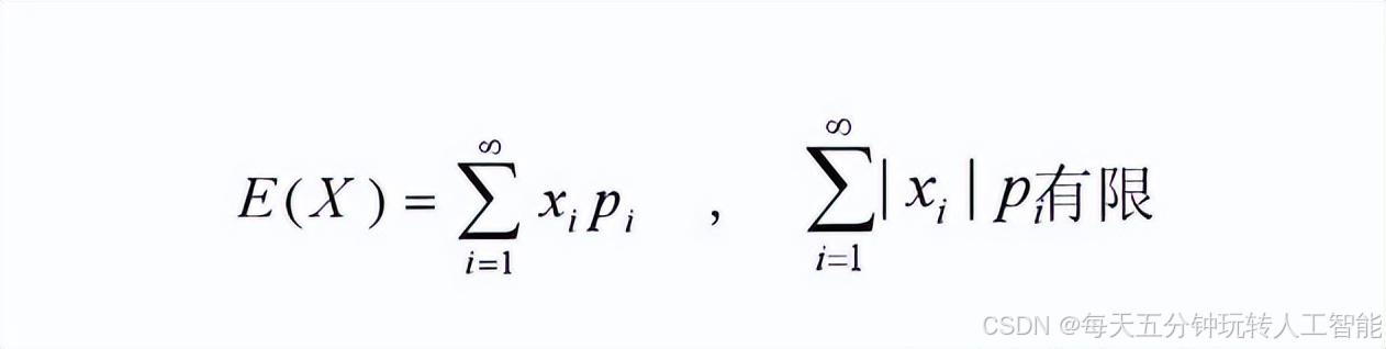
设离散型随机变量有概率分布P{ X = xi } = pi , i = 1, 2, …,那么我们可以认为如下表示就是随机变量X的期望:

常用离散型随机变量的数学期望
两点分布
