基于MATLAB的Copula函数实现合集
一、核心Copula函数实现
1. 高斯Copula(Gaussian Copula)
公式:

MATLAB代码:
function [u, v, pdf, cdf] = gaussianCopula(rho, numSamples)Z = mvnrnd(zeros(1,2), [1 rho; rho 1], numSamples);u = normcdf(Z(:,1)); v = normcdf(Z(:,2));pdf = mvnpdf([u v], [0 0], [1 rho; rho 1]);cdf = mvncdf([u v], [0 0], [1 rho; rho 1]);
end
应用场景:线性相关性建模(如金融风险分析)
2. t-Copula(Student-t Copula)
公式:

MATLAB代码:
function [u, v, pdf, cdf] = tCopula(rho, nu, numSamples)t = mvtrnd([1 rho; rho 1], nu, numSamples);u = tcdf(t(:,1), nu); v = tcdf(t(:,2), nu);pdf = mvtPdf([u v], [1 rho; rho 1], nu);cdf = mvtCdf([u v], [1 rho; rho 1], nu);
end
特点:适用于重尾相关性建模(如极端气候事件)
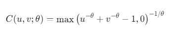
3. Clayton Copula
公式:

MATLAB代码:
function [u, v, pdf, cdf] = claytonCopula(theta, numSamples)U = rand(numSamples,1); V = rand(numSamples,1);CDF = (U.^(-theta) + V.^(-theta) -1).^(-1/theta);PDF = (theta+1) .* (U.^(-theta-1) .* V.^(-theta-1)) ./ (CDF.^(2+1/theta));u = U; v = V;
end
适用性:捕捉下尾依赖(如金融市场崩盘联动)
4. Gumbel Copula
公式:

MATLAB代码:
function [u, v, pdf, cdf] = gumbelCopula(theta, numSamples)U = rand(numSamples,1); V = rand(numSamples,1);CDF = exp(-((-log(U)).^theta + (-log(V)).^theta).^(1/theta));PDF = (theta+1) .* (U.^(-theta-1) .* V.^(-theta-1)) .* exp(-((-log(U)).^theta + (-log(V)).^theta).^(1/theta));u = U; v = V;
end
特点:适用于上尾依赖(如洪水与干旱并发)
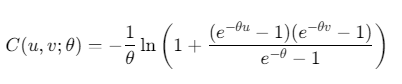
5. Frank Copula
公式:

MATLAB代码:
function [u, v, pdf, cdf] = frankCopula(theta, numSamples)U = rand(numSamples,1); V = rand(numSamples,1);CDF = -log(1 + (expm1(-theta*U) .* expm1(-theta*V))/(expm1(-theta)));PDF = (theta * exp(-theta*(U+V)) .* expm1(-theta*U) .* expm1(-theta*V)) ./ ...(CDF.^2 .* (expm1(-theta) -1));u = U; v = V;
end
应用:对称无尾相关(如温度与降水关系)
二、参数估计与模型验证
1. 参数估计方法
% 最大似然估计(以Clayton Copula为例)
theta_hat = copulafit('Clayton', u, v);% 两阶段估计法
[~, rho] = copulafit('Gaussian', u, v); % 第一阶段估计相关矩阵
theta = copulaparam('Clayton', rho);     % 第二阶段转换参数
2. 模型诊断
% 拟合优度检验(Kolmogorov-Smirnov)
[h,p] = kstest(u, 'CDF', copulacdf('Gaussian', u, theta));% 残差分析
residuals = u - copulapdf('Gaussian', u, theta);
三、联合分布生成与可视化
1. 生成相关随机数
% 生成服从Clayton Copula的随机数
u = copularnd('Clayton', theta, 1000);
v = copularnd('Clayton', theta, 1000);% 转换为原始分布(如Gamma分布)
X = gaminv(u, 2, 1);
Y = gaminv(v, 2, 1);
2. 可视化方法
% 散点图矩阵
scatterhist(X, Y, 'Direction', 'out', 'Color', 'r');% 三维PDF曲面图
[U,V] = meshgrid(linspace(0,1,50));
Z = copulapdf('Clayton', [U(:),V(:)], theta);
surf(U,V,reshape(Z,50,50), 'EdgeColor', 'none');
四、高级应用场景
1. 风险价值(VaR)计算
% 基于t-Copula的联合风险模拟
numScenarios = 1e5;
simData = copularnd('t', rho, nu, numScenarios);
portfolioLoss = 0.5*simData(:,1) + 0.5*simData(:,2);
VaR_99 = quantile(portfolioLoss, 0.01);
2. 时空数据建模
% 时空Copula扩展(结合Kriging插值)
[X,Y] = meshgrid(lon,lat);
Z = kriging(X,Y,obsData);
copulaField = copulafit('Gaussian', Z(:));
参考 COPULA公式MATLAB合集 www.youwenfan.com/contentcsk/70199.html
五、性能优化技巧
- GPU加速:
copulaGPU = gpuArray(copularnd('Gaussian', rho, 1e6));
- 并行计算:
parfor i = 1:100simData(:,:,i) = copularnd('t', rho, nu);
end
- 内存优化:
sparseCopula = sparse(copulapdf('Gaussian', U, V));
六、扩展资源
- 工具箱:Statistics and Machine Learning Toolbox
- 参考书籍:《Copula Methods in Finance》(Ricardo J. Rebonato)
- 数据集:UCI Machine Learning Repository(Copula数据集)
通过上述方法,可系统实现Copula理论在MATLAB中的建模与分析。建议结合具体应用场景选择Copula类型,并通过AIC/BIC准则进行模型优选。
