当前位置: 首页 > news >正文

初阶数据结构习题【11】(3顺序表和链表)——141. 环形链表I

1. 题目描述

力扣在线OJ_141.环形链表
给定一个链表的头节点 head ,返回链表开始入环的第一个节点。 如果链表无环,则返回 null。

如果链表中有某个节点,可以通过连续跟踪 next 指针再次到达,则链表中存在环。 为了表示给定链表中的环,评测系统内部使用整数 pos 来表示链表尾连接到链表中的位置(索引从 0 开始)。如果 pos 是 -1,则在该链表中没有环。注意:pos 不作为参数进行传递,仅仅是为了标识链表的实际情况。
不允许修改 链表

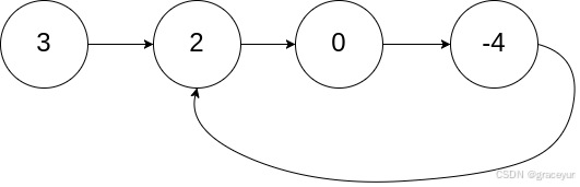
示例 1
在这里插入图片描述
输入:head = [3,2,0,-4], pos = 1
输出:返回索引为 1 的链表节点
解释:链表中有一个环,其尾部连接到第二个节点。

示例 2
在这里插入图片描述
输入:head = [1,2], pos = 0
输出:返回索引为 0 的链表节点
解释:链表中有一个环,其尾部连接到第一个节点。

示例3
在这里插入图片描述
输入:head = [1], pos = -1
输出:返回 null
解释:链表中没有环

2. 思路

带环链表,一遍历就会陷入死循环,因为你不知道用哪个节点作为头结点,因为你不知道你选的结点是在环外还是环内。

思路:快慢指针,慢指针slow一次走1步,快指针fast一次走2步,当slow走到中间位置的时候,fast就进入环了。两个指针从链表起始位置开始运行,如果链表带环则一定会在环中相遇,否则快指针率先走到链表的末尾。

假设链表带环,两个指针最后都会进入环,快指针先进环,慢指针后进环。当慢指针刚进环时,可能就和快指针相遇了,最差情况下两个指针之间的距离刚好就是环的长度。此时,两个指针每移动一次,之间的距离就缩小一步,不会出现每次刚好是套圈的情况,因此:在慢指针走到一圈之前,快指针肯定是可以追上慢指针的,即相遇。

3. 代码实现

/**
 * Definition for singly-linked list.
 * struct ListNode {
 *     int val;
 *     struct ListNode *next;
 * };
 */
bool hasCycle(struct ListNode *head) {
    struct ListNode *slow,*fast;
    slow = fast = head;
    while(fast&&fast->next)
    {
        slow = slow->next;
        fast = fast->next->next;

        if(slow == fast)
        {
            return true;
        }
    }

    return false;
    
}

在这里插入图片描述

4.拓展问题

  1. 为什么快指针每次走两步,慢指针走一步可以?
    假设链表带环,两个指针最后都会进入环,快指针先进环,慢指针后进环。当慢指针刚进环时,可能就和快指针相遇了,最差情况下两个指针之间的距离刚好就是环的长度。此时,两个指针每移动一次,之间的距离就缩小一步,不会出现每次刚好是套圈的情况,因此:在满指针走到一圈之前,快指针肯定是可以追上慢指针的,即相遇。
    在这里插入图片描述
  1. 快指针一次走3步,走4步,…n步行吗
    在这里插入图片描述
    结论:快慢指针不能相差3步,差3步会总是追不上
    在这里插入图片描述
http://www.dtcms.com/a/53955.html

相关文章:

  • vue面试宝典之二
  • Linux14-io多路复用
  • Impacket工具中的横向渗透利器及其使用场景对比详解
  • Vue进阶之Vue3源码解析(二)
  • 零基础学习Python之面向对象编程:属性访问控制与封装实现_我的学习Python记录13
  • QT中使用C++调用 python脚本
  • DeepSeek大模型 —— 全维度技术解析
  • 基于MD5分块哈希的前端图片重复检测方案
  • 系统运维分级掌握知识技能
  • 晶晨S905L3S/S905L3SB芯片烧录-BL(bootloader)加载工具分享
  • 外键 FK enable constraints enq:TM lock
  • ubuntu局域网部署stable-diffusion-webui记录
  • Java锁
  • AF3 curry1函数解读
  • 洛谷P1102 A-B 数对
  • 计算机组成原理---操作系统Linux
  • Mybatis 的关联映射(一对一,一对多,多对多)
  • 是德科技十周年:以创新丈量未来,用科技赋能世界
  • springboot项目使用中创InforSuiteAS替换tomcat
  • makefile新手入门教程
  • 【内网服务发布公网】
  • 《水利水电安全员考试各题型对比分析及应对攻略》
  • nftables 入门:简洁高效的 Linux 防火墙管理
  • 基于大型模实现的AiEditor
  • 数据结构与算法 计算机组成 八股
  • Aws batch task 无法拉取ECR 镜像unable to pull secrets or registry auth 问题排查
  • GPU的架构原理解析
  • 蓝桥杯备考:动态规划路径类DP之矩阵的最小路径和
  • 【Altium】22.11版本后如何导出Gerber镜像层
  • aardio - 虚表 + 数据库 操作例程