前缀和算法:高效解决区间和问题
目录
理解
例题讲解
牛客网dp34前缀和
牛客网dp35二维前缀和
leetcode724例题
leetcode238例题
leetcode560例题
leetcode974例题
leetcode525例题
leetcode1314例题
总结:
理解
前缀和是一种预处理数组的高效算法技巧,核心是通过提前计算数组中 “从起始位置到每个索引位置的元素累加和”,将后续的区间和查询、子数组相关问题从 “暴力遍历的 O (n) 时间” 优化到 “直接查询的 O (1) 时间”,本质是 “空间换时间” 的典型应用。(就是一个小的动态规划,简单的动态规划,想要了解动态规划章节的可以去我的栏目里看)
前缀和解决的问题就是给你一段数组,让求某个区间的和
例题讲解
牛客网dp34前缀和

题目理解:
第一行输入告诉你有几个数,然后几次查询,示例1中有3个数字,2次查询
第二行告诉你这3个数字有什么,这里就是{1,2,4}
第三行开始告诉你查询从哪到哪,(1,2),那就是1+2=3
第四行(2,3),2+4=6
所以输出就是3和6
注意这里下标是从1开始,不是从0,所以我们开辟数组的时候要开辟n+1,让最后一个下标是n
算法原理讲解:

一、暴力解法,你让我算哪个区间我就算哪个区间
时间复杂度O(qN),但是题目当中nq的取值范围一样,如果都是最大,那时间复杂度会变为10^10,如果使用暴力解法这道题是会超时的
二、前缀和(动态规划)

首先我们要另外开辟一个空间dp,然后dp[i]表示的是【1,i】区间内所有的元素的和
下一个元素的计算是前一个元素+arr[i]
这一次开辟空间填表需要O(N)的时间
然后每次查询需要O(q)
时间复杂度就是O(q)+O(N)
注意:这里为什么可以这样用?是因为你求【3,5】区间和的时候,使用【1,5】-【1,2】
【1,5】的求法和【1,2】的求法一致(本质上是同一类问题),所以我们可以抽象成一个状态表示,使用动态规划
为什么这道题的下标是从1开始计数?
如果下标是0开始,就需要处理一下边界问题
因为你的求解方程是dp[r]-dp[l-1],你要想一下什么时候会越界?
如果求解的方程是【0,2】,dp[2]-dp[-1],所以特殊情况要处理一下,那就需要开辟数组的时候从1开始,然后原题对应的数组要统一从下标1开始放,放的时候要跟原数组对应好

牛客网dp35二维前缀和


题目讲解:
给一个二维数组,然后给左上角坐标和右下角坐标,求这个矩阵的和
算法原理讲解:
一、暴力解法,时间复杂度O(m*n*q)
二、前缀和


时间复杂度为O(mn)+O(q)

leetcode724例题

算法原理讲解:
前缀和
读题发现就是找到一个中心坐标,使得左边的和=右边的和,那从左边加到中心坐标可以看成一个前缀和,右边加到中心坐标可以看成一个前缀和,那此时只要比对一下,前缀和相等的时候返回即可,如果没有相等即返回-1
所以我们可以创建一个二维数组,第0行就是存从左到中心坐标,第1行就是存从右到中心坐标
但是这里我们需要处理一下可能会越界的情况,可以先写出状态转移方程
从左往右:通过画图我们发现,当前位置的填写需要前一个位置和nums的前一个位置相加
此时j-1,如果从下标为0开始填写的话,j-1肯定会越界,所以要么一开始就处理j=0的时候,要么就开辟辅助空间,直接从j=1位置开始填写
同理从右往左:我们填写的时候需要借助j+1的位置和nums[j+1]的元素,所以可能会越界
这里我们都选择辅助空间,所以前面开一个,后面开一个,一共多开两个空间
注意:使用辅助空间的时候要清楚各个下标的对应关系,也就是你dp数组的下标要对应+的话是+nums数组的哪个(通过画图自己分析)(前缀和想要强化可以看我动态规划章节)
class Solution {
public:int pivotIndex(vector<int>& nums) {// 创建一个二维数组// dp[0][j]:从左往右// dp[1][j]:从右往左// 如果两个对应相等即返回,如果没有则返回-1int n = nums.size();vector<vector<int>> dp(2, vector<int>(n + 2)); // n+2边界处理dp[0][1] = dp[1][n] = 0;// dp[0][j]=dp[0][j-1]+nums[j-1];for (int j = 2; j < n + 1; j++) {dp[0][j] = dp[0][j - 1] + nums[j - 2];}for (int j = n - 1; j > 0; j--) {dp[1][j] = dp[1][j + 1] + nums[j];}for (int i = 1; i < n + 1; i++) {if (dp[0][i] == dp[1][i]) {cout << i;return i - 1;}}return -1;}
};
leetcode238例题

算法原理讲解:题目其实有提示,前缀和和后缀和
解法一:暴力解法,每个位置都需要从前往后算,时间复杂度O(N^2);
解法二:前缀和
比如数组{1,2,3,4},我们要算3这个位置的话
可以算前缀和1*2,后缀和4
所以相乘就是8,所以这个位置是8
所以我们可以开辟一个dp二维数组,第0行填前缀,第一行填后缀,要算某个位置就是前缀*后缀
注意:这里0的位置和n-1的位置填写是有讲究的,可以自己试一下,发现填1可以填0不行

class Solution {
public:vector<int> productExceptSelf(vector<int>& nums) {int n = nums.size();vector<vector<int>> dp(2, vector<int>(n));dp[0][0] = dp[1][n - 1] = 1;for (int j = 1; j < n; j++) {dp[0][j] = dp[0][j - 1] * nums[j - 1];}for (int j = n - 2; j >= 0; j--) {dp[1][j] = dp[1][j + 1] * nums[j + 1];}vector<int> ret;for (int i = 0; i < n; i++) {ret.push_back(dp[0][i] * dp[1][i]);}return ret;}
};
leetcode560例题

算法原理讲解
一、暴力枚举

暴力枚举是你枚举每一个子数组,但是注意题目当中是有0和负数的,所以你枚举到一个和为k的时候不能停,接着往下枚举,可能下面正负正负抵消了,又有合法数组,所以每次枚举的时候我们都要从头到尾
注意这里不能使用双指针(滑动窗口),因为滑动窗口是需要维持一个性质,left和right能够一直右移动,但是这里可能在left和right的中间还有符合的数组,所以right可能会左移
二、前缀和+哈希表

前面枚举子数组的时候,是从前往后枚举,但是这里我们选择从后往前枚举每个子数组,也就是如果你的下标为i,那你的子数组就是i,i和i-1,i和i-1和i-2,一直是i……0
以下的方法就是从i位置向前枚举子数组
dp[i]:表示以i位置为结尾的前缀和
这个整个数组的前缀和设为sum[i],所以我们只需要在前面找到一个sum[i]-k的即可
因为这样sum[i]-(sum[i]-k)=k,(剩下的就是k了)也就是总和-部分,剩下的就是k
如果我们额外创建一个数组来存这个前缀和,首先构建前缀和就需要从前面开始遍历一遍数组
时间复杂度为O(N)
此次我们还需要统计一下算到i位置,【0,i-1】这个区间有多少个sum[i]-k,统计出来
所以每算一个位置,我们需要从前往后遍历统计,时间复杂度为O(N^2)
这样算下来还不如暴力枚举呢
所以我们可以利用哈希表来辅助,哈希表中存了前缀和和次数的对应关系
细节问题:
1.在计算i位置之前,只能保持[0,i-1]位置的前缀和,因为如果你是把所有的前缀和算出来,然后一股脑的扔到hash里面,就会导致重复计算,因为你算i位置的时候只是算i前面的子数组,并没有包括i后面的,所以如果你一股脑扔到哈希里面,就会导致后面的也算上了就会重复计算
2.可以使用一个动态滚动的方式来优化前缀和计算
比如你算i位置的时候,只需要i-1和nums[i],那是不是不需要i-2,此时我们只需要用一个sum,不需要一个数组,sum每次更新完之后扔到哈希即可
3.如果整个前缀和,也就是下标为i的时候 0……i刚好为k,那就会去【0,-1】当中需要是否有0
所以我们初始化哈希的时候要给0一次,否则就会导致出错
这个代码示例是创建dp数组的
class Solution {
public:int subarraySum(vector<int>& nums, int k) {// 注意不能够一股脑把前缀和扔到哈希中int n = nums.size();unordered_map<int, int> hash;hash[0] = 1; // 细节处理int sum = 0;; // 用来统计dp数组的vector<int> dp(n);dp[0] = nums[0];hash[nums[0]]++;if (dp[0] == k)sum++;for (int i = 1; i < n; i++) {// 先计算前缀和dp[i] = dp[i - 1] + nums[i];// 判断有没有合法的子数组sum += hash[dp[i] - k];hash[dp[i]]++;}return sum;}
};
这个代码是滚动数组,没有创建dp数组,而是使用变量来统计

总结这道题:平时我们是从前往后枚举每个子数组,但是这里是从后往前枚举,并且有三个细节问题,尤其是hash[0]=1
leetcode974例题

知识点补充:


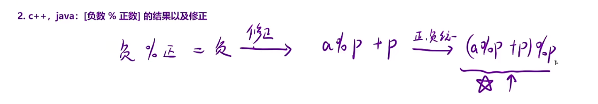
对于c++和Java,负数%正数=负数(这里和数学当中是不一样的),所以需要修正
a为负数,p为正数,需要把结果负数变正数a%p+p,但是此时正数就会错,所以需要(a%p+p)%p
正数的话(a%p+p)%p,就相当于a%p%p,负数的话就对的
算法原理和560例题是一样的

也就是在前面寻找有多少个sum%k=x%k的,但是sum可能是负数,所以要修正
然后细节问题的话和前面一样
也要把hash[0]=1,因为你后算计算的时候,可能一整个sum%k是可以被整除的,此时他就会找去前面寻找sum-sum=0;0%k有没有存在,简单来说我们是找0到i-1这段区间,但是为什么表明0-i这段区间也合法,就需要额外处理,hash[0] = 1 确保了 “整个数组” 这个子数组被统计进去。如果没有这个初始化,这类从起始位置开始的有效子数组会被遗漏。
class Solution {
public:int subarraysDivByK(vector<int>& nums, int k) {unordered_map<int,int>hash;hash[0]=1;//细节问题int sum=0,ret=0;for(auto x:nums){//计算前缀和的余数sum+=x;ret+=hash[(sum%k+k)%k];//计算余数,并且在hash当中寻找有多少个//更新hashhash[((sum%k+k)%k)]++;}return ret;}
};
leetcode525例题


通过这一步转换,就可以把问题转换成和为0的子数组,和560例题有点类似

细节问题:
1.由于这道题是找符合的最长的子数组,所以hash当中应该存<前缀和,下标>
2.什么时候存入哈希表,应该是在用完i位置之后,然后更新哈希
3.如果有重复的<sum,i>,如何存,不能更新,应该保留之前的,因为我们找的是最长的,最长肯定是离i位置最远的,所以应该让最远的保留下来
4.如果sum本身就是前缀为0,那我们就需要特殊处理一下,让hash[0]=-1,只有这样在hash当中做减法的时候才会对,比如你sum有6个元素,下标应该是5,5-(-1)=6这样才能对
5.长度应该怎么算?
假设前面j位置我们找到一个sum,hash[sum]=j,那此时的长度应该是i-j
class Solution {
public:int findMaxLength(vector<int>& nums) {for (auto& e : nums) {if (e == 0) {e = -1;}}int n = nums.size();unordered_map<int, int> hash;//存的是<前缀和,下标>hash[0]=-1;//特殊处理int sum = 0,ret=0; // 滑动数组+ret记录for (int i = 0; i < n; i++) {sum += nums[i];if(hash.count(sum)){//如果存在的话,更新ret,但更新hash,因为要最远ret=max(ret,i-hash[sum]);}else{//此时是不存在,要更新hash[sum]=i;}}return ret;}
};
leetcode1314例题

题目解析:

给一个矩阵mat和一个整数k,你要返回的矩阵大小和mat一样,k是告诉你算answer的时候应该怎么算
在示例1中,比如k=1,算answer中间元素的时候,就需要扩展左边右边上面下面一个方格,扩展完之后就是一个矩形,所有在矩形当中的元素的和填入中间,5这个位置扩展完之后就是整个,那就是1+2+3+4+……+9,也就是45
假如算answer[0][0],这个位置,因为k=1,以00为中心扩展一个方格的正方形,所以就是1+2+4+5=12,因为超出边界的不算
所以k决定的是你的方格扩展多少格,如果k=2那就是5x5的矩阵和了因为你左边扩展2个,右边扩展两个,包括中间一个,那就是5x5
所以示例2,5x5的矩阵全包了,所以所有的返回都是45
算法原理讲解
前缀和:

前缀和计算ret的时候需要知道左上角和右下角的坐标,所以细节一就是怎么求坐标,然后带到dp

因为k代表了向四周扩展多少个格子,所以我们求左上角和右下角的坐标时就是原点+-k
但是可能会越界,如果越界了就算到边界即可

使用辅助数组,让我们更好的处理边界情况,因为上面我们在找dp的递归公式的时候,发现可能会越界,比如你填写【0,0】这个位置的时候,dp是不是会越界访问了,所以为了更好的填写dp表,我们需要额外的开辟空间来辅助填写
对于ans也要注意下标映射,在求的时候,要么最后面的公式每个坐标+1,要么直接在求x1求完之后+1,后面直接带入就行
class Solution {
public:vector<vector<int>> matrixBlockSum(vector<vector<int>>& mat, int k) {int m=mat.size();int n=mat[0].size();vector<vector<int>> dp(m+1,vector<int>(n+1));//多开一行多开一列vector<vector<int>> ans(m,vector<int>(n));//保存结果//1.填写dp表for(int i=1;i<m+1;i++){for(int j=1;j<n+1;j++){dp[i][j]=dp[i][j-1]+dp[i-1][j]-dp[i-1][j-1]+mat[i-1][j-1];}}//2.根据dp表来填写ansfor(int i=0;i<m;i++){for(int j=0;j<n;j++){ //先计算方格扩展之后的左上角坐标和右下角坐标int x1=max(0,i-k);int y1=max(0,j-k);int x2=min(m-1,i+k);int y2=min(n-1,j+k);//填写的时候注意下标的映射ans[i][j]=dp[x2+1][y2+1]-dp[x1][y2+1]-dp[x2+1][y1]+dp[x1][y1];}}return ans;}
};
总结:
前缀和是一种高效计算「区间和」的预处理技术
当题目出现以下特征时,优先考虑前缀和:
-
核心需求是「区间和」题目明确要求计算「子数组 / 子矩阵的和」,或可转化为区间和问题(如 “子数组和为
k”“子矩阵和不超过k”)。例:
- 给定数组,求所有长度为
m的子数组的和 → 前缀和可 O (1) 计算每个区间和。 - 给定矩阵,多次查询任意子矩阵的和 → 二维前缀和预处理后,每次查询 O (1)。
- 给定数组,求所有长度为
-
需要「多次查询」或「批量计算」如果只需计算一次区间和,直接遍历即可(O (n));但如果需要多次计算不同区间的和(尤其是大量查询),前缀和的预处理(O (n))+ 单次查询(O (1))会显著提升效率。
-
可结合哈希表优化计数问题当题目要求「统计满足某种和条件的区间数量」时(如和为
k、和能被k整除),前缀和 + 哈希表(记录前缀和出现次数)是经典解法,时间复杂度可从 O (n²) 降至 O (n)。
可以理解为:前缀和是 DP 的一个特例,专门用于解决区间和相关问题,而 DP 是更通用的解题框架,可处理更复杂的状态依赖。
注意:
我们使用前缀和算法的时候,应该小心例如hash[0]的初始化,防止后面计算出错
还有下标的映射关系等等
并且学会不同题型的举一反三
