当前位置: 首页 > news >正文

力扣160:相交链表

题目

给你两个单链表的头节点 headAheadB ,请你找出并返回两个单链表相交的起始节点。如果两个链表不存在相交节点,返回 null

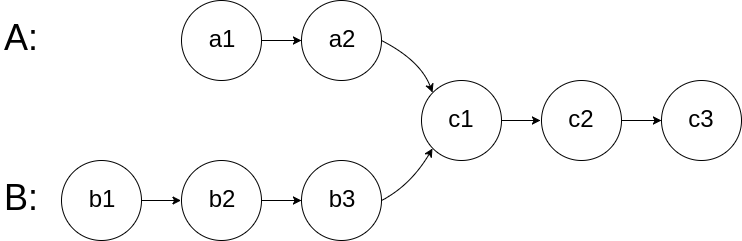
图示两个链表在节点 c1 开始相交

img

题目数据 保证 整个链式结构中不存在环。

注意,函数返回结果后,链表必须 保持其原始结构

自定义评测:

评测系统 的输入如下(你设计的程序 不适用 此输入):

  • intersectVal - 相交的起始节点的值。如果不存在相交节点,这一值为 0

  • listA - 第一个链表

  • listB - 第二个链表

  • skipA - 在 listA 中(从头节点开始)跳到交叉节点的节点数

  • skipB - 在 listB 中(从头节点开始)跳到交叉节点的节点数

评测系统将根据这些输入创建链式数据结构,并将两个头节点 headAheadB 传递给你的程序。如果程序能够正确返回相交节点,那么你的解决方案将被 视作正确答案

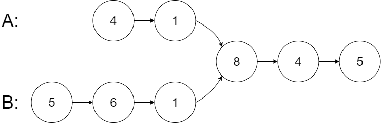
示例 1:

img

输入:intersectVal = 8, listA = [4,1,8,4,5], listB = [5,6,1,8,4,5], skipA = 2, skipB = 3
输出:Intersected at '8'
解释:相交节点的值为 8 (注意,如果两个链表相交则不能为 0)。
从各自的表头开始算起,链表 A 为 [4,1,8,4,5],链表 B 为 [5,6,1,8,4,5]。
在 A 中,相交节点前有 2 个节点;在 B 中,相交节点前有 3 个节点。
— 请注意相交节点的值不为 1,因为在链表 A 和链表 B 之中值为 1 的节点 (A 中第二个节点和 B 中第三个节点) 是不同的节点。换句话说,它们在内存中指向两个不同的位置,而链表 A 和链表 B 中值为 8 的节点 (A 中第三个节点,B 中第四个节点) 在内存中指向相同的位置。

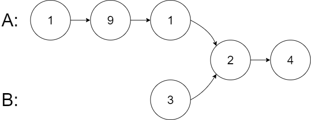
示例 2:

img

输入:intersectVal = 2, listA = [1,9,1,2,4], listB = [3,2,4], skipA = 3, skipB = 1
输出:Intersected at '2'
解释:相交节点的值为 2 (注意,如果两个链表相交则不能为 0)。
从各自的表头开始算起,链表 A 为 [1,9,1,2,4],链表 B 为 [3,2,4]。
在 A 中,相交节点前有 3 个节点;在 B 中,相交节点前有 1 个节点。

示例 3:

img

输入:intersectVal = 0, listA = [2,6,4], listB = [1,5], skipA = 3, skipB = 2
输出:No intersection
解释:从各自的表头开始算起,链表 A 为 [2,6,4],链表 B 为 [1,5]。
由于这两个链表不相交,所以 intersectVal 必须为 0,而 skipA 和 skipB 可以是任意值。
这两个链表不相交,因此返回 null 。

提示:

  • listA 中节点数目为 m

  • listB 中节点数目为 n

  • 1 <= m, n <= 3 * 104

  • 1 <= Node.val <= 105

  • 0 <= skipA <= m

  • 0 <= skipB <= n

  • 如果 listAlistB 没有交点,intersectVal0

  • 如果 listAlistB 有交点,intersectVal == listA[skipA] == listB[skipB]

思路

双链表,采用双指针分别从head1和head2开始,如果存在相交,则两个指针会在相交处相遇,如果不相交,则最终会在nil处相遇。

tips:刚开始我采用当listA遍历完之后跳回到headA但是这样的执行时间非常长。但是跳入另一个链表的头部时则执行时间更短,因为这样可以使双指针在链表长度差距过大时快速同步

题解

/*** Definition for singly-linked list.* type ListNode struct {*     Val int*     Next *ListNode* }*/
func getIntersectionNode(headA, headB *ListNode) *ListNode {listA, listB := headA, headBfor listA != listB{if listA == nil {listA = headBlistB = listB.Next} else if listB == nil{listB = headAlistA = listA.Next} else {listA = listA.NextlistB = listB.Next}}return listA
}

http://www.dtcms.com/a/504161.html

相关文章:

  • 用c做网站哈尔滨个人优化排名
  • 南部 网站 建设面试网站建设的问题
  • 从RNN到Transformer:深度学习架构革命
  • 【从0开始学习Java | 第23篇】动态代理
  • 公司营销型网站建设策划书wordpress 2019主题
  • C++--- volatile 关键字 禁止寄存器缓存与编译器层面的指令重排
  • 网站建站的具体流程什么平台可以免费打广告
  • HTTP相关知识点
  • Redis 未授权访问漏洞全解析:从原理到突破
  • 龙华做网站公司快速排名程序
  • 用eclipse做网站开发代做网站推广的公司
  • 企业级RAG落地思考
  • 验证用户登录的两种方式
  • 笔试-精准核酸检测
  • 知识就是力量——制作一个红外计数器
  • 做网站如何大众汽车网站建设
  • 【Linux笔记】网络部分——应用层自定义协议与序列化
  • 上海招聘网站排名米方科技网站建设
  • 佛山网站建设企业推荐房地产交易网站模版
  • 江苏和住房建设厅网站深圳网站关键词
  • Qt--命名,快捷键及坐标系
  • 容器:软件世界的标准集装箱
  • 音乐网站系统源码百度引擎搜索引擎入口
  • 门户网站如何制作想学习做网站
  • 建设项目安监备案网站深圳公司贷款
  • 企业网站关键词应如何优化网站建设公司swot分析
  • 09_AI智能体开发环境搭建之Redis安装配置完整指南
  • Oracle RMAN三种不完全恢复实战详解:归档序号、时间点与SCN恢复对比
  • 公司网站托管网站做5级分销合法吗
  • 记事本做网站如何添加图片开发公司空置房物管费归口什么费用