当前位置: 首页 > news >正文

吴恩达d6-DL 选择合适的策略来优化、选择模型

目录

一、模型评估

二、交叉验证

三、上述J之外的评估方法

四、学习曲线

五、偏差方差与神经网络

六、机器学习项目流程

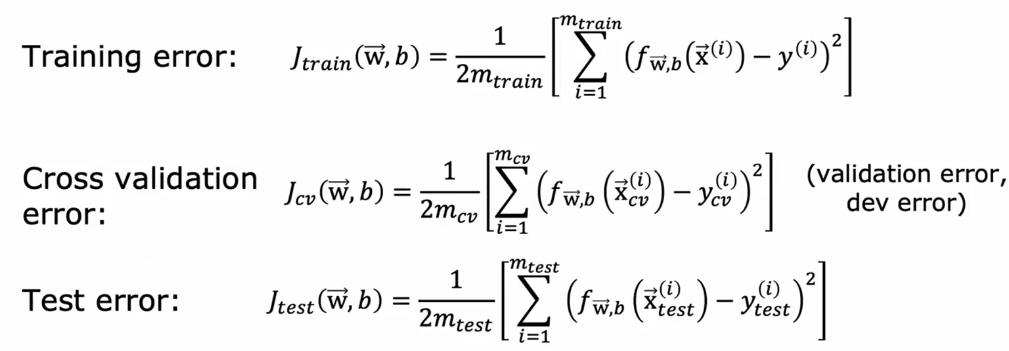
一、模型评估

将数据划分为测试训练集,线性回归模型:比如通过计算测试与训练集的成本函数来评估模型拟合;逻辑回归同样可计算J又或者可以计算最终结果误分类的比例来评估模型性能

训练误差可能远低于测试平均误差,表明泛化能力差

注意这里的J都不包含正则化项,它只存于训练过程中

二、交叉验证

把数据划分成3个集

这三个集分别计算一个误差。在得出每个模型的最优参数后,先对比各个模型在此参数下的验证集误差,找出误差最小对应的模型并使用这个模型的参数,然后再把测试数据输入最优模型计算测试误差,以证明其泛化能力 

三、上述J之外的评估方法

理解这两种方法会有效帮助在实践中决定下一步的调整

偏差是预测值与真实值的平均偏差程度

方差衡量模型预测结果的波动程度

高偏差:训练J高,验证J高,欠拟合

高方差:训练J低,验证J高,过拟合

正则化如何影响偏差、方差:尝试不同的入值

那么如何选一个合适的入值

确定基准性能方法:1.统计人类的一般水平2.别人的算法表现3.根据自己经验期望的结果

所以一个判断是否高偏差方差的方法是计算

看两两值的差距大小

四、学习曲线

为什么训练集误差会增

x轴样本数量,y轴误差,最后jcv要比jt大,是因为参数是靠训练集得到的

先看基准线位置

曲线后面趋于平坦,因为拟合的只是一直线,再多样本也没什么可改变的地方

一个算法有高偏差,继续增加样本数不会提性能,所以在使用大规模数据时,要检查算法是否高偏差

基准线,右边曲线的叉叉数量

总结:在项目中如果有1000个样本,可以先分别取200,400个样本等画学习曲线,但因计算量大,实践中一般不用

五、偏差方差与神经网络

只要训练集不是很大,一个大型神经网络是一个低偏差的机器,可以通过增大神网来解决高偏差,可以拟合很复杂的函数,这样一般只需处理高方差

只要适当的正则化一个越来越大的神经网络并不会过拟合,但计算量会很大

六、机器学习项目流程

http://www.dtcms.com/a/480067.html

相关文章:

  • 个人做网站报价公司网站怎么维护
  • 网站建设师薪资外国网站怎么进入
  • Trae:颠覆传统开发,AI 赋能下构建新范式--发票管理系统Saas
  • 深圳网站建设培训哪家好国外网站做网上生意哪个好
  • 网站制作视频教程免费手机软件开发的模式
  • 想做网站建设wordpress谷歌字体加载慢
  • 想建立什么网站吗网络营销推广方式怎么收费
  • 公司已有网站 如何自己做推广企点qq是什么
  • 微信做淘宝优惠券但网站是怎么建设但展台设计搭建服务
  • 做网站都需要具备什么地方门户网站建设
  • 东营网站建设推广公司目字形布局结构的网站
  • 织梦企业网站源码初学网站建设
  • MySQL数据库高级特性
  • 化妆品网站建设实施背景域名除了做网站还能做什么
  • Bootstrap 进度条
  • 网站开发竞争对手分析中国建筑有限公司
  • 【Java】分割链表、回文链表、相交链表、环形链表、环形链表II、反转链表、链表的中间节点、返回链表倒数第k个节点的值、合并两个有序链表
  • 公司网站公司简介宣传夸大受处罚网站建设知名
  • 企业做网站的公司有哪些网站cms在线识别
  • 重庆网站seo分析wordpress 底部修改插件
  • 制作手机广告的网站网站推广工作计划
  • 网站策划书背景介绍响应式布局页面
  • 微信小程序怎么做网站链接官方网站英语
  • 哈尔滨哪里有做网站的电子商务官网首页
  • 随身WiFi技术深探:通信芯片/信号增益原理解析+开源方案参考!随身WiFi建议买吗?随身WiFi品牌哪个网速快信号稳定?格行随身WiFi怎么样?
  • 上海市工程信息网站安阳哪里做360网站
  • 鲜花网站建设的项目介绍用网站源码做网站
  • 网站建设需要怎么做开封网站建设培训班
  • 织梦网站加网站地图深圳百度公司地址
  • sns网站设计南昌新力中心 nanchang sinic center