当前位置: 首页 > news >正文

使用BatchNorm偏置填充边界:确保推理一致性与数值稳定性

在深度学习模型中,BatchNorm(BN)层通过标准化数据来加速训练并提高模型的稳定性。然而,在实际应用中,边界区域的标准化常常存在一定的挑战,尤其是在推理阶段。偏置填充是一种有效的策略,它通过对边界数据进行平移,确保了边界区域的输出与中间区域的一致性。

本文将结合完整的推导公式和具体示例,深入探讨 为什么使用BN偏置填充边界,以及它如何确保推理阶段的稳定性和一致性。


1. BatchNorm 公式回顾

在讨论如何通过 偏置填充 来确保推理一致性之前,首先回顾一下 BatchNorm 层的标准化操作。BN 层的核心作用是将输入数据标准化,使其均值为 0,方差为 1,并通过偏置对数据进行平移调整。

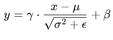
BN 的标准化公式为:

其中:

2. 为什么边界标准化不准确?

推理图像的标准化过程中,BatchNorm 通常使用 全局均值和方差 来进行数据标准化,这对于图像的 中间区域 非常准确。然而,边界区域 由于缺少足够的邻域数据,它们的标准化通常依赖于全局统计量,而这些统计量无法准确反映边界区域的实际分布,从而导致标准化效果的失真。

具体来说,零填充 会改变图像的均值和方差:

  • 均值 会由于填充的零而下降,因为填充的部分是零,对整体均值有影响。

  • 方差 会增加,因为零的填充使得图像的分布范围扩大。

这导致图像的标准化效果 无法保持原有的均值为 0、方差为 1,特别是在 边界区域。因此,尽管 全局均值和方差 在推理时用于标准化,但它们对边界区域的 不适用性 会导致标准化失真,尤其是在图像被零填充时。

为什么偏移可以解决这个问题

偏置填充通过计算并填充 BN 层的偏置,有效地解决了这个问题。偏置的作用是 平移标准化后的数据,它能 弥补由于边界缺少足够的邻域数据 导致的标准化误差。通过 偏置填充,我们为 边界部分 提供了一个适当的修正,确保它们的标准化结果 与图像的其他区域一致,从而恢复了图像的标准化效果,并避免了推理阶段的标准化失真。

简而言之,偏移 通过对标准化结果进行 平移调整,有效补偿了边界部分因缺少邻域数据而导致的标准化误差,确保了图像在推理阶段的 稳定性和一致性

具体例子:边界标准化不准确

假设我们有一个 5x5 的输入张量 x(例如,图像),其中值为:

步骤1:标准化(未填充边界)

对这个输入张量进行 BatchNorm 标准化。假设 batch 的均值 μ 方差 σ2 是基于整个图像计算的全局统计量,而不是每个小区域的统计量。对于标准化,我们使用以下公式:

假设我们计算出均值 μ=5.0 和方差 σ2=8.0 ,以及偏置 β=0 ,缩放系数 γ=1 ,那么标准化后的计算如下:

对于边界像素(例如 [0,0,0,0,0]),标准化将得到:

在这种情况下,边界像素的标准化结果会远离 0,这不是我们想要的,因为边界数据的标准化结果受到 均值 μ 和 方差 σ2 的影响,而 边界像素本身缺少足够的邻域数据来计算准确的均值和方差,导致它们的标准化结果 不如中间部分稳定

步骤2:通过偏置填充来修正边界

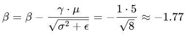
现在,我们知道 BN 的偏置(β)实际上可以用来对标准化后的数据进行 平移,使得 边界部分的输出 与其他区域保持一致。假设 计算出来的偏置 是:

通过 填充偏置,我们实际上是用 计算出来的偏置值调整边界部分的结果。在这种情况下,偏置填充后的边界部分会 恢复到与中间部分一致的输出

步骤3:边界与中间区域的一致性

通过 偏置填充,边界部分的填充值将为 -1.77,而不是 0,确保推理时 边界数据与其他区域一致。通过这种方式,BN 层的偏置实际上确保了 边界区域的标准化补偿,使得推理阶段的 边界数据与其他区域的数据一致

3. 偏置填充的代码实现

以下是两段关键代码的解释和实现:

def pad_tensor(t, pattern):"""用于BN bias显式padding"""pattern = pattern.view(1, -1, 1, 1)t = F.pad(t, (1, 1, 1, 1), 'constant', 0)t[:, :, 0:1, :] = patternt[:, :, -1:, :] = patternt[:, :, :, 0:1] = patternt[:, :, :, -1:] = patternreturn t

这段代码的作用是将 BN 层的偏置 填充到输入张量的 四个边界(上、下、左、右),确保推理阶段边界部分的数据与其他区域一致。

def get_bn_bias(bn_layer):gamma, beta, mean, var, eps = (bn_layer.weight, bn_layer.bias,bn_layer.running_mean, bn_layer.running_var,bn_layer.eps)std = (var + eps).sqrt()return beta - mean * gamma / std

此函数用于 提取 BN 层的偏置,计算 β - (γ * μ / std),即 标准化后的平移值,该值用于在 pad_tensor 函数中填充边界部分。

y = bn(x)  # 先对内部区域做BN
y_padded = pad_tensor(y, get_bn_bias(bn))

在这种方式中,首先对输入进行 BN 变换,然后使用计算得到的偏置填充边界部分。

http://www.dtcms.com/a/427753.html

相关文章:

  • 山东官方网站建设网站配置优化
  • 14. 初识 SPDK
  • C++ STL insert和emplace函数区别
  • 湖北省建设厅行政审批网站哈尔滨优化调整人员流动管理
  • Windows 工作组环境信息收集与系统配置
  • QML学习笔记(二十一)QML的跨组件发送信号
  • 福田网站建设费用做企业网站的意义
  • 安卓人机验证View
  • Android AIDL通信案例
  • 活动报名开启|GitCode X deepin Meetup 深圳站
  • 俄罗斯网站制作电商网站开发数据库设计
  • 网站建设征求意见表wordpress 环境
  • 论软件的系统测试及其应用(2016年上半年)
  • 不同坐标转换方式的误差分析:免费方法能替代高德官方API吗?
  • 自助seo网站建设杭州系统开发
  • 美食介绍网站模板深圳门户网站建设特点
  • 那些网站可以做海报湖南常德广宇建设网站
  • 特殊环境下的丝杆支撑座选型要点
  • 乳品防伪溯源:为行业安全赋能,构建全链路坚实屏障
  • 企业微信-智能表格创建
  • 建设工程安全员教育网站网站怎么优化搜索
  • 【办公类-115-02】20250920职称资料上传02——多个jpg合并一个PDF(如:教师资格证、聘任表)和压缩PDF的大小(控制在5MB以内)
  • wordpress多站点 主题网站开发的安全问题
  • 极简主义伴侣-数学模块MVP具体技术实现的规划
  • 招商网站有哪些建设简易电子商务网站流程图
  • 如何监控和优化慢查询?
  • 力扣Hot100--141.环形链表
  • 单粒子与总剂量辐射损伤机制与芯片抗辐照设计
  • 俄文网站建设网页设计与制作 pdf
  • 照片做视频的软件 模板下载网站编程课程培训机构排名