当前位置: 首页 > news >正文

Leetcode---83.删除排序链表中的重复元素

给定一个已排序的链表的头 head , 删除所有重复的元素,使每个元素只出现一次 。返回 已排序的链表 。

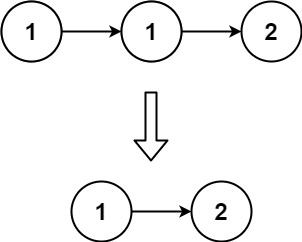
示例 1:

输入:head = [1,1,2]
输出:[1,2]

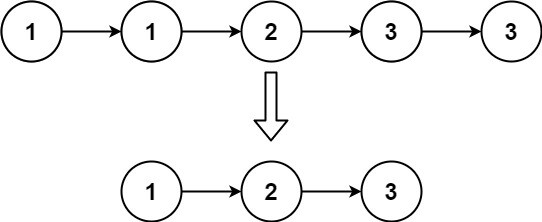
示例 2:

输入:head = [1,1,2,3,3]
输出:[1,2,3]

提示:

  • 链表中节点数目在范围 [0, 300] 内
  • -100 <= Node.val <= 100
  • 题目数据保证链表已经按升序 排列

题解:

我们先定义一个cur指针指向head节点

要注意三个要点:①保证当前节点和当前节点的下一个节点不为空;

②当前节点的val和下一个节点的val值相等时,需要删除下一个节点,

即cur->next==cur->next->next;

③当前节点的val值和下一个节点的val值不相等时,需要遍历,继续往下进行,

即cur=cur->next;

/**
 * Definition for singly-linked list.
 * struct ListNode {
 *     int val;
 *     struct ListNode *next;
 * };
 */
struct ListNode* deleteDuplicates(struct ListNode* head) {
    struct ListNode *cur=head;
    while(cur!=NULL&&cur->next!=NULL)//保证当前节点和下一个节点不为空
    {
        if(cur->val==cur->next->val)
        {
            //删除重复节点
            cur->next=cur->next->next;
        }
        else{
            //移动到下一个节点
            cur=cur->next;
        }
    }
    return head;

}

http://www.dtcms.com/a/40099.html

相关文章:

  • 谷歌GMS认证,安卓14版本的谷歌EDLA认证详细介绍,谷歌安卓14 EDLA认证有多少测试项?
  • 2025年软考报名费用是多少?全国费用汇总!
  • HDFS数据存储与数据管理
  • Facebook Instant Game:即时游戏的新时代
  • JVM 简单内存结构及例子
  • 某住宅小区地下车库安科瑞的新能源汽车充电桩的配电设计与应用方案 安科瑞 耿笠
  • 算法系列之回溯算法
  • 35. Spring Boot 2.1.3.RELEASE 应用监控【监控信息可视化】
  • Python - Python连接数据库
  • 十一、k8s安全机制
  • Java篇之继承
  • 防御保护-----第五章:状态检测和会话技术
  • deepseek-r1-centos-本地服务器配置方法
  • Sliding Window Attention(滑动窗口注意力)解析: Pytorch实现并结合全局注意力(Global Attention )
  • 【模块】 ASFF 模块
  • CONTACT 在 Ubuntu 系统中的安装与使用
  • vue:vite 代理服务器 server: proxy 配置
  • 反爬虫策略
  • 深度神经网络(DNN)编译器原理简介
  • iview table组件中修改按钮时 要注意是否真的修改了值
  • 拓展知识:TxHeaders (Twisted Headers) 详解
  • 云服务器部署DeepSeek Janus-Pro生成图片实战
  • Redisson使用场景及原理
  • 通义灵码插件安装入门教学 - IDEA(安装篇)
  • 《机器学习数学基础》补充资料:从几何角度理解矩阵
  • 十一、大数据治理平台总体功能架构
  • KubeBlocks v0.9.3发布啦!支持增量备份、Redis分片集群继续优化...还有更多Addon功能优化等你体验!
  • Win11系统 VMware虚拟机 安装
  • Qt常用控件之单行输入框QLineEdit
  • LVS+Keepalived 高可用集群搭建