当前位置: 首页 > news >正文

使用 LS-DYNA 光滑粒子流体动力学 (SPH) 进行搅拌摩擦焊接

使用 LS-DYNA光滑粒子流体动力学 ( SPH )进行搅拌摩擦焊接

搅拌摩擦焊接 (FSW) 

  • 搅拌摩擦焊 (FSW) 是一种固态连接工艺,可在金属(主要是铝及其合金)中形成高质量的焊缝。该工艺需要将旋转工具插入两个工件之间的接头中。
  • 该工具产生热量并软化材料但不熔化它。当工具旋转时,它会搅拌和混合软化的材料,形成固态粘合。
  • FSW 具有变形小、能够连接不同材料等优点。
  • 它用于航空航天和汽车工业制造坚固可靠的部件。

 

图 1:摩擦焊接工艺

LS-DYNA光滑粒子流体动力学 ( SPH )

  • SPH 方法是一种拉格朗日无网格数值技术,可用于模拟流体动力学问题中的不同物理问题以及包含高速和大变形的结构问题。
  • 该方法将连续域离散为粒子,其中每个粒子具有某些属性,例如质量、速度和其他相关变量。
  • 与 FEM 方法一样,SPH 方法通过求解守恒方程来求解速度、压力和能量。
  • 这些粒子基于平滑函数(SPH核函数)相互作用,该函数决定了相邻粒子之间影响的变化率。

 

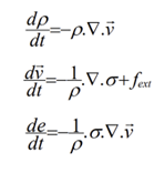
守恒定律

 

支持域 2D 表示

 

核函数二维表示

 

  • 以下动画演示了利用光滑粒子流体动力学进行搅拌摩擦焊接模拟:

动画 1:搅拌摩擦焊接结果

动画 2:搅拌摩擦焊接温度随时间变化的结果

 

http://www.dtcms.com/a/31725.html

相关文章:

  • 【CXX】3 其它Rust与C++互操作工具详解
  • 网页请求腾讯云环境的云函数
  • 【算法】直接插入排序、折半插入排序、希尔排序
  • 【JAVA】封装多线程实现
  • 【WebGL】fbo双pass案例
  • 《AI与NLP:开启元宇宙社交互动新纪元》
  • ue5地面上出现preview字样
  • 服务可用性评价指标
  • 第二届粤港澳大湾区数字经济与人工智能国际学术会议(DEAI 2025)
  • C++ MFC添加RichEditControl控件后,程序启动失败
  • 从零搭建微服务项目Pro(第1-1章——Quartz实现定时任务模块)
  • C++:std::thread、条件变量与信号量
  • 【网络】高级IO——Reactor版TCP服务器
  • 【学习笔记】Cadence电子设计全流程(二)原理图库的创建与设计(5-7)
  • 【JT/T 808协议】808 协议开发笔记 ② ( 终端注册 | 终端注册应答 | 字符编码转换网站 )
  • MongoDB应用设计调优
  • 【Leetcode 每日一题 - 扩展】1512. 好数对的数目
  • 鸿蒙NEXT应用App测试-专项测试(DevEco Testing)
  • 【Elasticsearch】同一台服务器部署集群
  • Java IO 设计模式总结
  • Plant Simulation培训教程-机器人3D仿真模块
  • C# AOT技术测试
  • DeepSeek 全面分析报告
  • 大语言模型微调的公开JSON数据
  • 业务流程相关的权威认证和培训有哪些
  • DeepSeek新作-Native Sparse Attention
  • 蓝桥杯之枚举
  • HTML Application(hta)入门教程
  • vue3页面显示tiff图片
  • 解析HTML时需要注意什么?