当前位置: 首页 > news >正文

LeeCode题库第十九题

项目场景:

给你一个链表,删除链表的倒数第 n 个结点,并且返回链表的头结点。

示例 1:

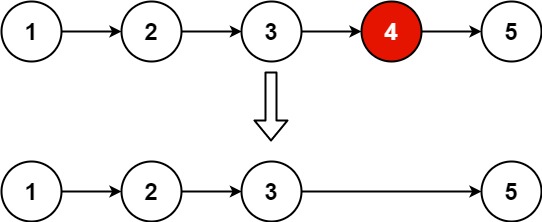
输入:head = [1,2,3,4,5], n = 2
输出:[1,2,3,5]

示例 2:

输入:head = [1], n = 1
输出:[]

示例 3:

输入:head = [1,2], n = 1
输出:[1]

提示:

  • 链表中结点的数目为 sz
  • 1 <= sz <= 30
  • 0 <= Node.val <= 100
  • 1 <= n <= sz


问题描述

        这题通过初始化两个节点first和second,首先将first向后移动n次,这样两个节点之间就差n个节点,当first不为空时,一直向后移动两个节点,直至first为空,两者之间差n个,则second为倒数n+1个,second.next为倒数第n个,        second.next=second.next.next即可,最后返回头结点dummy.next,不返回head是因为如果n为1,head也会被改变,所以使用dummy虚拟节点,返回dummy.next。 

# Definition for singly-linked list.
# class ListNode:
#     def __init__(self, val=0, next=None):
#         self.val = val
#         self.next = next
class Solution:
    def removeNthFromEnd(self, head: Optional[ListNode], n: int) -> Optional[ListNode]:
        dummy=ListNode(0,head)
        first=head
        second=dummy
        for i in range(n):
            first=first.next
        while first:
                first=first.next
                second=second.next
        second.next=second.next.next
        return dummy.next

        本题提交情况。 

 

        以上为本篇文章的全部内容,感谢你抽出宝贵的时间阅读这篇文章。如果你有任何疑问或建议,欢迎在评论区留言,我们一起交流进步。愿你的代码之路越走越顺,生活充满阳光! 

http://www.dtcms.com/a/21244.html

相关文章:

  • 「软件设计模式」适配器模式(Adapter)
  • 使用 Ansys Fluent 进行电池热滥用失控传播仿真
  • 算法思考:位运算
  • CNN手写数字识别1——模型搭建与数据准备
  • 【C语言】移除元素
  • 代码随想录算法【Day47】
  • 解决`Illegal group reference: group index is missing`的两种方式
  • 【linux学习指南】⽣产者消费者模型
  • python电影数据分析及可视化系统建设
  • 深度学习在天文观测中的应用:解锁宇宙的奥秘
  • `fi` 是 Bash 脚本中用来结束 `if` 条件语句块的关键字
  • 数位dp入门详解
  • [Vivado报错] [Common 17-55]‘set_property‘ expects at least one object
  • 【数据库维护】Clickhouse数据库维护关键系统表相关指标说明,支撑定位慢SQL及多实例场景下分析各实例运行情况
  • 【Java基础-46.1】Java 中创建自定义泛型类及其应用
  • 【机器学习】常见采样方法详解
  • AtCoder - arc101_b Median of Medians 分析与解答
  • 2009年下半年软件设计师上午真题的知识点整理(附真题及答案解析)
  • Kubernetes-master 组件
  • 25/2/16 <算法笔记> MiDas原理
  • ElasticSearch详解
  • 【开源免费】基于Vue和SpringBoot的美食烹饪互动平台(附论文)
  • 【HUSTOJ 判题机源码解读系列03】judge.cc 源码详细注释
  • 端到端测试利器:Playwright入门教程
  • 力扣 66.加一 (Java实现)
  • ROS应用之SwarmSim在ROS 中的协同路径规划
  • Baklib全场景云平台:一站式知识管理赋能企业效能升级
  • C++11 thread
  • 大模型应用开发书籍推荐
  • 对项目交接的一些思考