【Python 算法零基础 4.排序 ⑤ 归并排序】
你什么都要刨根问底,却又接受不了真相带来的冲击
—— 25.5.23
选择排序回顾
① 遍历数组:从索引 0 到 n-1(n 为数组长度)。
② 每轮确定最小值:假设当前索引 i 为最小值索引 min_index。从 i+1 到 n-1 遍历,若找到更小元素,则更新 min_index。
③ 交换元素:若 min_index ≠ i,则交换 arr[i] 与 arr[min_index]。
'''
① 遍历数组:从索引 0 到 n-1(n 为数组长度)。② 每轮确定最小值:假设当前索引 i 为最小值索引 min_index。从 i+1 到 n-1 遍历,若找到更小元素,则更新 min_index。③ 交换元素:若 min_index ≠ i,则交换 arr[i] 与 arr[min_index]。
'''def selectionSort(arr: List[int]):n = len(arr)for i in range(n):min_index = ifor j in range(i + 1, n):if arr[min_index] > arr[j]:min_index = jif min_index != i:arr[min_index], arr[j] = arr[j], arr[min_index]return arr
插入排序回顾
① 遍历未排序元素:从索引 1 到 n-1。
② 保存当前元素:将 arr[i] 存入 current。
③ 元素后移:从已排序部分的末尾(索引 j = i-1)向前扫描,将比 current 大的元素后移。直到找到第一个不大于 current 的位置或扫描完所有元素。
④ 插入元素:将 current 放入 j+1 位置。
'''
① 遍历未排序元素:从索引 1 到 n-1。② 保存当前元素:将 arr[i] 存入 current。③ 元素后移:从已排序部分的末尾(索引 j = i-1)向前扫描,将比 current 大的元素后移。直到找到第一个不大于 current 的位置或扫描完所有元素。④ 插入元素:将 current 放入 j+1 位置。
'''
def insertSort(arr: List[i]):n = len(arr)for i in range(n):current = arr[i]j = i - 1while current < arr[j] and j >0:arr[j+1] = arr[j]j -= 1arr[j + 1] = currentreturn arr
冒泡排序回顾
① 初始化:设数组长度为 n。
② 外层循环:遍历 i 从 0 到 n-1(共 n 轮)。
③ 内层循环:对于每轮 i,遍历 j 从 0 到 n-i-2。
④ 比较与交换:若 arr[j] > arr[j+1],则交换两者。
⑤ 结束条件:重复步骤 2-4,直到所有轮次完成。
'''
① 初始化:设数组长度为 n。② 外层循环:遍历 i 从 0 到 n-1(共 n 轮)。③ 内层循环:对于每轮 i,遍历 j 从 0 到 n-i-1。④ 比较与交换:若 arr[j] > arr[j+1],则交换两者。⑤ 结束条件:重复步骤 2-4,直到所有轮次完成。
'''
def bubbleSort(arr: List[int]):n = len(arr)for i in range(n):for j in range(n - i - 1):if arr[j] > arr[j + 1]:arr[j], arr[j + 1] = arr[j + 1], arr[j]return arr
计数排序回顾
① 初始化:设数组长度为 n,元素最大值为 r。创建长度为 r+1 的计数数组 count,初始值全为 0。
② 统计元素频率:遍历原数组 arr,对每个元素 x,将 count[x] 加 1。
③ 重构有序数组:初始化索引 index = 0。遍历计数数组 count,索引 v 从 0 到 r,若 count[v] > 0,则将 v 填入原数组 arr[index],并将 index 加 1。count[v] - 1,重复此步骤直到 count[v] 为 0。
④ 结束条件:当计数数组遍历完成时,排序结束。
'''
输入全为非负整数,且所有元素 ≤ r① 初始化:设数组长度为 n,元素最大值为 r。创建长度为 r+1 的计数数组 count,初始值全为 0。② 统计元素频率:遍历原数组 arr,对每个元素 x,将 count[x] 加 1。③ 重构有序数组:初始化索引 index = 0。遍历计数数组 count,索引 v 从 0 到 r,
若 count[v] > 0,则将 v 填入原数组 arr[index],并将 index 加 1。
count[v] - 1,重复此步骤直到 count[v] 为 0。④ 结束条件:当计数数组遍历完成时,排序结束。
'''
def countingSort(arr: List[int], r: int):# count = [0] * len(r + 1)count = [0 for i in range(r + 1)]for x in arr:count[x] += 1index = 0for v in range(r + 1):while count[v] > 0:arr[index] = vindex += 1count[v] -= 1return arr
一、引言
归并是一种常见的算法思想,:在许多领域都有广泛的应用。归并排序的主要目的是将两个已排序的序列合并成一个有序的序列。
二、算法思想
当然,对于一个非有序的序列,可以拆成两个非有序的序列,然后分别调用归并排序,然后对两个有序的序列再执行合并的过程。所以这里的“归”其实是递归,“并”就是合并。
整个算法的执行过程用mergeSort(arr[], l, r)描述,代表 当前待排序数组 arr,左区间下标 l,右区间下标 r,分以下几步:
① 计算中点 mid = (l + r) / 2;
② 递归调用 mergeSort(arr[], l, mid) 和 mergeSort(arr[], mid+1, r);
③ 上一步的两个有序数组进行有序合并,再存储到 arr[l : r];
调用时,调用 mergeSort(arr[], 0, n-1) 就能得到整个数组的排序结果了
归并排序对应的数据结构本质上是一颗二叉树
三、算法分析
1.时间复杂度
我们假设「比较」和「赋值」的时间复杂度为O(1)。
「归并排序 」算法的最重要的子程序:O(n)的合并,然后解析这个归并排序算法。
给定两个大小为n1 和 n2的排序数组A 和 B,我们可以在O(n)时间内将它们有效地归并成一个大小为n = n1 + n2的组合排序数组。可以通过简单地比较两个数组的前面的元素,并始终取两个中较小的一个来实现的。
由于每次都是对半切,所以整个归并过程类似于一颗二叉树的构建过程,次数就是二叉树的高度,即O(log2n),所以归并排序的时间复杂度为O(n*log2n)
2.空间复杂度
由于归并排序在归并过程中需要额外的一个「辅助数组」,并且最大长度为原数组长度,所以「 归并排序 」的空间复杂度为O(n)
3.算法的优缺点
Ⅰ、算法的优点
① 稳定性:归并算法是一种稳定的排序算法,这意味着在排序过程中,相同元素的相对顺序保持不变。
② 可扩展性:归并算法可以很容易地扩展到并行计算环境中,通过并行归并来提高排序效率
Ⅱ、算法的缺点
① 额外空间:归并算法需要使用额外的辅助空间来存储合并后的结果,这对于内存受限的情况可能是一个问题。
② 复杂性:相比于其它一些简单的排序,归并算法的实现相对复杂
四、实战练习
912. 排序数组
给你一个整数数组
nums,请你将该数组升序排列。你必须在 不使用任何内置函数 的情况下解决问题,时间复杂度为
O(nlog(n)),并且空间复杂度尽可能小。
示例 1:
输入:nums = [5,2,3,1] 输出:[1,2,3,5]示例 2:
输入:nums = [5,1,1,2,0,0] 输出:[0,0,1,1,2,5]提示:
1 <= nums.length <= 5 * 104-5 * 104 <= nums[i] <= 5 * 104
算法与思路
① 分割阶段(Divide)
Ⅰ、基准情况:若数组长度 ≤ 1,直接返回(已有序)。
Ⅱ、分割数组:计算中间索引 mid,将数组分为左半部分 left = arr[:mid] 和右半部分 right = arr[mid:]。
Ⅲ、递归排序:对左半部分 left 递归调用 mergeSort。对右半部分 right 递归调用 mergeSort。
② 合并阶段(Merge)
Ⅰ、初始化:创建空列表 res 存储合并结果,指针 i 和 j 分别初始化为 0(指向 left 和 right 的起始位置)。
Ⅱ、比较与合并:当 i < len(left) 且 j < len(right) 时,比较 left[i] 和 right[j]:若 left[i] < right[j],将 left[i] 加入 res,i += 1。否则,将 right[j] 加入 res,j += 1。
Ⅳ、处理剩余元素:若 left 有剩余元素(i < len(left)),将 left[i:] 全部追加到 res。若 right 有剩余元素(j < len(right)),将 right[j:] 全部追加到 res。
③ 递归返回与整合
每次递归返回合并后的有序子数组,最终 sortArray 返回整个排序后的数组。
class Solution:def merge(self, left, right):res = []i = j = 0n1 = len(left)n2 = len(right)while i < n1 and j < n2:if left[i] < right[j]:res.append(left[i])i += 1else:res.append(right[j])j += 1while i < n1:res.append(left[i])i += 1while j < n2:res.append(right[j])j += 1return resdef mergeSort(self, arr: List[int]):if len(arr) <= 1:return arrmid = len(arr) // 2left = self.mergeSort(arr[:mid])right = self.mergeSort(arr[mid:])return self.merge(left, right)def sortArray(self, nums: List[int]) -> List[int]:return self.mergeSort(nums)

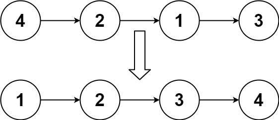
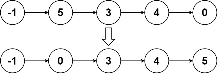
LCR 077. 排序链表
给定链表的头结点
head,请将其按 升序 排列并返回 排序后的链表 。示例 1:
输入:head = [4,2,1,3] 输出:[1,2,3,4]示例 2:
输入:head = [-1,5,3,4,0] 输出:[-1,0,3,4,5]示例 3:
输入:head = [] 输出:[]提示:
- 链表中节点的数目在范围
[0, 5 * 104]内-105 <= Node.val <= 105进阶:你可以在
O(n log n)时间复杂度和常数级空间复杂度下,对链表进行排序吗?
思路与算法
① 递归终止条件
Ⅰ、判断条件:若链表为空 (head is None) 或仅有一个节点 (head.next is None),直接返回当前链表(无需排序)。
Ⅱ、作用:作为分治的基准情况,终止递归。
② 分割链表(Divide)
Ⅰ、快慢指针找中点:初始化 slow = head,fast = head.next。快指针 fast 每次移动两步,慢指针 slow 每次移动一步。当 fast 到达链表末尾时,slow 指向链表的中间节点(或左中节点)。
Ⅱ、分割操作:将链表分为两部分:head(原链表左半部分)和 head2 = slow.next(右半部分)。断开 slow.next(设为 None),使两子链表独立。
③ 递归排序子链表
Ⅰ、左半部分排序:对 head 递归调用 mergesort,返回排序后的左链表。
Ⅱ、右半部分排序:对 head2 递归调用 mergesort,返回排序后的右链表。
④ 合并有序链表(Conquer)
Ⅰ、初始化哑节点:创建 zero(哑节点)和 current 指针,简化合并操作。
Ⅱ、比较与合并:当 head1 和 head2 均非空时:若 head1.val <= head2.val,将 head1 接到 current.next,head1 后移。否则,将 head2 接到 current.next,head2 后移。current 指针后移。
Ⅲ、处理剩余节点:将非空的 head1 或 head2 直接接到 current.next(剩余部分已有序)。
5. 返回合并结果
最终返回 zero.next,即合并后的有序链表头节点。
# Definition for singly-linked list.
# class ListNode:
# def __init__(self, val=0, next=None):
# self.val = val
# self.next = next
class Solution:def mergesort(self, head: ListNode):if head is None or head.next is None:return headslow, fast = head, head.nextwhile fast and fast.next:slow = slow.nextfast = fast.next.nexthead2 = slow.nextslow.next = Nonereturn self.merge(self.mergesort(head), self.mergesort(head2))def merge(self, head1: ListNode, head2: ListNode):zero = ListNode(-1)current = zerowhile head1 and head2:if head1.val <= head2.val:current.next = head1head1 = head1.nextelse:current.next = head2head2 = head2.nextcurrent = current.nextcurrent.next = head1 if head1 else head2return zero.nextdef sortList(self, head: Optional[ListNode]) -> Optional[ListNode]:return self.mergesort(head)



