欧拉公式的历史脉络、数学证明和现代意义
好的,我将分三个部分系统讲解欧拉公式:历史脉络、数学证明和现代意义。以下内容适合具备微积分基础的学习者,我们将重点揭示复数与三角函数之间的深刻联系。
一、历史发展:从三次方程到复分析的突破
1. 复数概念的萌芽(16世纪)
文艺复兴时期数学家为解决三次方程(如卡尔达诺《大术》1545),被迫接受虚数根。笛卡尔称其为"虚数",莱布尼茨评价:“这是存在与非存在之间的两栖类生物。”
2. 棣莫弗定理(1722)
法国数学家棣莫弗发现:

这揭示了复数幂与角度旋转的关系,为指数形式埋下伏笔。
3. 约翰·伯努利的洞察(1740)
发现积分中出现的复指数现象:

暗示实数积分与反三角函数存在深层联系。
4. 欧拉的突破(1748)
在《无穷分析引论》中,欧拉通过极限分析统一了指数函数与三角函数,给出现代形式的公式:

特别当θ=π时,得到"数学最美公式":
二、严谨证明:三种经典方法解析
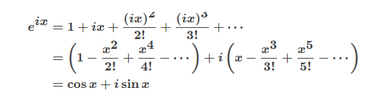
方法1:泰勒级数展开(最直观)
将各函数在x=0处展开:

关键观察:虚数单位i的周期性(i⁴=1)导致正负交替出现,分离实虚部即得三角函数。
方法2:微分方程法(揭示本质联系)
定义复值函数:

由于导数为零,f(θ)=f(0)=1,故原式得证。
方法3:极坐标参数化(几何视角)
设复数
,证明其满足指数函数的微分特性:

通过积分常数确定初始条件z(0)=1,完成证明。
三、深层意义与现代应用
1. 统一数学核心常数
公式连接了:
- e(分析学基础)
- i(代数结构核心)
- π(几何基本常数)
- 0,1(算术单位)
2. 复分析的基础
- 傅里叶变换:将信号分解为复指数分量
- 解析延拓:理解ζ函数等特殊函数
- 量子力学:波函数表示为复指数形式
3. 工程物理应用
- 交流电路分析:用复阻抗简化计算
- 电磁波传播:描述相位和偏振
- 机械振动:简谐运动的复数表示
教学建议
- 可视化辅助:用动态图示展示复平面上的旋转运动
- 历史对照:对比欧拉原始手稿与现代符号的演变
- 跨学科联系:结合信号处理实例讲解傅里叶变换中的应用
欧拉公式不仅是一个数学等式,更是人类突破实数域局限,建立复数分析体系的里程碑。其简洁形式下蕴含着对自然规律的深刻描述,这种统一性正是数学之美的终极体现。
