广州能源所重大突破:闪蒸焦耳加热助力粉煤灰 / 赤泥中关键金属低碳回收
在现代高科技产业蓬勃发展的今天,稀土元素(REEs)、镓(Ga)和锗(Ge)这些关键战略矿产发挥着至关重要的作用。它们独特的磁、光、电特性,使其在新能源、半导体以及国防领域都占据着不可替代的地位。
然而,传统的矿石开采方式如今却面临着诸多难题。一方面,矿石资源逐渐枯竭;另一方面,开采带来的高昂环境成本以及潜在的供应链风险也不容忽视。
与此同时,我国每年会产生数亿吨的粉煤灰与赤泥,这些工业固废中实际上富含稀土、镓和锗等元素。可一直以来,它们大多露天堆存,这不仅占用了大量土地,还造成了环境污染和资源浪费。现有的回收技术,比如碱熔法,虽然能够提取一部分目标元素,但存在着流程长、能耗高、碳排放量大等问题,远远不能满足当下绿色低碳产业转型的需求。如何突破硅铝晶相对这些元素的包裹束缚,开发出高效低耗的固废资源化技术,是学术界与工业界都亟待解决的科学难题。
令人振奋的是,2025 年 5 月 19 日,中国科学院广州能源研究所曹晏研究员在《Chemical Engineering Science》上发表了一项意义重大的研究成果。他们采用闪蒸焦耳加热(FJH)技术来处理粉煤灰与赤泥。这一技术通过在瞬间达到 2000 - 3000℃的超高温,触发硅铝晶格重构,再结合酸浸工艺,实现了稀土、镓和锗的高效回收。

实验数据令人瞩目:该技术能在 0.1 秒内就破坏矿物包裹结构,使目标元素的酸溶态占比提高到 90% 以上,回收率相比传统碱熔法提高了 10% - 15%。更为重要的是,它无需添加碱剂,而且能耗能降低 2/3。这一突破为工业固废中战略金属的短流程、低碳化提取提供了全新的思路,兼具环境效益与经济效益,有望带动循环经济技术的创新发展。
在研究过程中,一系列的实验数据和现象充分展示了这一技术的优势:
闪蒸焦耳加热(FJH)系统的核心结构与动态响应特性通过图 1 呈现。图 1a 的设备示意图显示,通过电容放电在石英管内瞬间释放大电流,能让样品在 0.1 秒内升温至 2600℃。从图 1b 和 1c 可以看到,粉煤灰与赤泥在不同电压下的电流 - 时间曲线及温度变化。粉煤灰因刚性硅铝结构电流稳定(最高 350A),赤泥由于内部气体逸散导致电流波动(最高 200A),
并且电压升高会直接促使温度跃升,为破坏硅铝晶相提供了超高温条件。

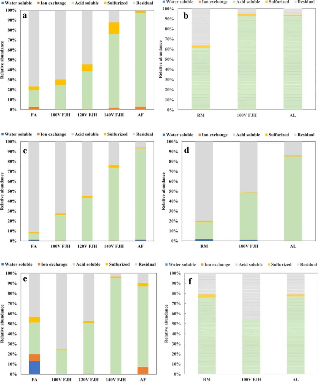
图 2 通过五步连续化学提取流程,展示了稀土与稀散元素在固废中的赋存形态分布。用水、醋酸铵、盐酸、硝酸和氢氟酸逐级溶解样品,分离出不同形态的组分,这种方法不仅量化了元素占比,比如酸溶态占比提升至 90%,还为教学实验提供了标准化的形态分析模板。

图 3 对比了焦耳加热前后粉煤灰与赤泥的宏观形貌变化。处理后的粉煤灰颜色从浅灰变成深黑,表面出现玻璃光泽的团聚体,赤泥从红棕色变成金属灰且呈现磁性,这些变化直观地证明了高温对硅铝 / 铁氧化物结构的破坏,为酸浸释放元素创造了物理通道。

图 4 通过磁响应实验与 X 射线衍射(XRD)揭示了赤泥中铁的化学态转变。未处理的赤泥没有磁性,而经过焦耳加热后样品能被磁铁吸附,XRD 图谱进一步显示 Fe₂O₃特征峰消失,出现单质铁与 Fe₃O₄的新峰,这一发现为赤泥中铁资源的高效回收提供了新方向。

图 5 的 XRD 分析展示了活化处理对矿物相的改造。粉煤灰经焦耳加热后,3Al₂O₃・2SiO₂峰减弱,SiO₂峰增强,表明硅铝酸盐发生了相变;赤泥中 Fe₃O₄峰出现,证实了铁氧化物的还原,相比碱熔法,焦耳加热更有效地解构了包裹稀土的晶格结构。

图 6 通过扫描电镜(SEM)展示了活化处理对材料微观结构的影响。焦耳加热后的粉煤灰表面形成多孔网状结构,赤泥颗粒呈现均匀孔隙与清晰边界,而碱熔处理样品结构松散,这种高孔隙率为酸浸试剂渗透提供了更多接触面,提升了元素提取效率。

图 7 量化了不同活化方法对元素形态分布的影响。焦耳加热使粉煤灰中稀土酸溶态占比从 20% 提高到 90%,赤泥中镓的易提取态提高至 70%,而且锗在高压处理下从残渣态转为酸溶态,显示了电压参数对元素释放具有选择性调控作用。

图 8 对比了焦耳加热与传统碱熔法的提取效率与能耗。焦耳加热使稀土提取率超过 95%,能耗仅为碱熔法的 1/3。虽然镓的提取率相对低一些(约 80%),但无需添加碱试剂这一特点显著降低了物料成本与碳排放,体现了该技术的环境友好性。

这项研究采用闪蒸焦耳加热(FJH)耦合酸浸法,成功实现了粉煤灰与赤泥中稀土元素、镓和锗的高效回收。它通过瞬时超高温破坏硅铝晶格结构,实现了战略金属的经济化回收,在学术上创新了硅铝基固废活化机制认知,在实践中能够推动亿吨级粉煤灰 / 赤泥的绿色增值利用。未来,在镓提取动力学优化、多金属协同回收工艺开发以及基于 FJH 的固废处理装备大型化设计等方面还可深入研究,进一步拓展其在关键矿产资源循环经济中的应用场景。
