台风灾害下考虑调节特性的多元资源紧急协调调度
1台风灾害对电网的异常作用机理
一方面影响风电等资源出力,一方面造成线路等电网设备机械损伤与故障。
1.1台风灾害对风电场的异常作用机理

根据 Batts 模型可得时段 t 台风风场的最大风速vt,max与最大风速半径 Rt,max,风电场 w 处的风速 vw,t 为:

时段 t风电场 w 到台风中心的距离 dw,t为:
![]()
式中:( xw,yw ) 为风电场 w 的位置;( xt,yt ) 为时段 t台风中心的位置。
将式(1)所得 vw,t 代入风电功率模型,得到风电场功率 Pw,t 为:

式中:vin、vrate 和 vout 分别为切入风速、额定风速和切出风速。
1.2台风灾害对输电线路的异常作用机理
台风灾害对输电线路最直接的影响是造成台风移动范围内线路断开,导致负荷损失甚至电网失稳等问题。每条输电线路 l 可看作由 n 座杆塔和 n - 1个单位档距线路构成的串联系统,任意一座杆塔发生倒塔或杆塔间任一线路断线时,该条输电线路均无法正常运行。
杆塔 r 的故障概率与累积疲劳损伤有关,在前t个时段发生倒塔的概率为ptwl,r,t:

式中:ΔT 为单位时间间隔;Dl,r,i 为输电线路 l 中杆塔 r 在时段 i的单次疲劳损伤;
为前 i – 1 个时段的累积疲劳损伤。
单位档距(档距是指架空线路中相邻两基杆塔导线悬挂点之间的水平投影距离,单位为米(m)。)线路m的故障率与其所受的风压有关,在前t个时段发生断线的概率为pspl,m,t为:
![]()
式中:λl,m,t-1为线路l中单位档距线路m在时段t1的故障率。
根据式(4)和式(5)可得线路l在时段t的故障概率pLl,t为:
![]()
1.3线路故障的不确定集
台风灾害下,电网各元件的状态通常表现为具有一定故障概率的不确定信息,使电网成为一个随时可能发生N-k故障的不确定性系统。本文的故障场景由系统中各条线路在时段t的通断状态构成,并通过枚举得到各时段所有故障场景组合。其中,可能存在大量发生概率极低的高阶(k值较大)多重故障场景,需要对其进行削减。因此,本文结合香农信息熵理论,通过线路故障概率和状态信息计算系统熵值,来量化故障场景下系统的不确定性,并选取故障场景。
时段t下故障场景s对应的系统熵值Ws,t为:

其中,NL为系统线路总数;us,l,t为故障场景s中线路l状态的0-1变量,值取1表示断开,值取0表示闭合;pLs,l,t表示t时段,故障场景s中线路l发生故障的概率;Ws,t越大,就表示故障场景s发生的概率越小或同时发生故障的线路数量越多,表明故障场景s发生的不确定性越强。
选取的故障场景需满足熵值区间:
![]()
式中:Wmax和Wmin分别为熵值区间上下限。
熵值区间越大,包含的断线故障重数和故障场景越多,系统的保守性越强,然而大规模的故障场景会导致计算效率大幅下降;熵值区间过小,可能遗漏概率小但影响严重的故障场景。考虑到线路故障在台风演变下的时空变化特性,故障场景分布具备时变特性。因此,对不同时段需设置不同的熵值区间[Wmin,Wmax],获得反映特定时段故障场景分布特性的不确定故障集,从而缓解固定熵值区间过大或过小时的不足。
本文提出了一种基于置信度α的时变熵值区间确立方法,具体步骤如下:
1)枚举各时段所有故障场景组合。
2)由线路l在时段t的故障概率pLl,t和时段t下故障场景s对应的系统熵值Ws,t计算系统熵值Ws,t出现的概率ps,tfault为:

式中:Ωs为场景s中的故障线路集合;pLi,t为线路i在时段t下的故障概率;(1-pLj,t)为线路j在时段t下不发生故障的概率。
3)设熵值随机变量W,由ps,tfault计算W取Ws,t时的概率分布ps,tfault:

式中:NS,t为时段t的故障场景总数。
4)由ps,tfault可得关于W的离散型累积分布函数F(x)=P(W≤x)。设置信度α=δˉ-δ-,F(x)取δˉ和δ-时所对应的上边界Wmax和下边界Wmin为:

5)找到满足上式的Wmax和Wmin,可得置信度α对应的熵值区间[Wmin,Wmax]。
2台风灾害下考虑多元灵活资源的两阶段紧急协调鲁棒调度模型
2.1考虑台风灾害预报的多元资源两阶段紧急协调鲁棒调度基本框架

框架流程:
1、预测台风未来12h的情况:在t0-Δt时刻,通过历史数据对台风气象进行短期精准预报,预测电力系统进入台风风险风圈的起始时刻t0,获得调度周期[t0,t0+T1](T1=12h)内的台风时变风速、风险风圈、演变路径等信息;
2、根据台风异常作用机理估测风电出力和线路时变故障概率;
3、利用信息熵法生成不确定故障集(熵值区间);
4、根据步骤3生成的不确定故障集构建两阶段紧急协调鲁棒调度模型。其中,
①第1阶段紧急慢速调度资源为火电机组的启停动作,调度时间尺度为Δt1=1h,总时间间隔数NT=12,调度目标为启停成本最小;
②第2阶段紧急快速调度资源为火电出力、风电出力、EES和HES,调度时间尺度为Δt2=15min,总时间间隔数Nt=48,调度目标为储能充放电成本及各资源运行成本最小。
5、通过两阶段之间及第2阶段双层之间的迭代求解,确定两阶段紧急协调鲁棒调度策略。
2.2考虑台风灾害的多元资源两阶段紧急协调鲁棒调度模型
2.2.1储能资源的紧急调度特性模型
EES能够提供瞬时高功率,满足短时功率支撑;HES通过充放电实现电-氢转换之外,还可以出售氢气来获得利润。因此,本文选择EES和HES参与紧急调度,实现风电消纳、平抑风电爬坡与应急供电,并通过售氢降低总成本。
1、HES的调度特性模型具体如下:
HES单元i的工况约束:

式中:uP2Hi,t和uH2Pi,t分别为表示HES单元i中电解槽和氢燃料电池在时段t的工作状态的0-1变量,uP2Hi,t=1、uH2Pi,t=0表示电转氢;uP2Hi,t=0、uH2Pi,t=1表示氢转电。
电解槽产生的氢气量EP2Hi,t为:

式中:ηP2H为电转氢的转换效率,碱性电解槽通常取67%~82%;QH为氢的热值,通常取39.4kW/kg;PP2Hi,t为HES单元i中电解槽在时段t的风电输入功率;PP2Hi,max为输入功率上限。
氢燃料电池消耗的氢气量EH2Pi,t为:

储氢罐的容量约束为:

式中:EHESi,t为HES单元i中储氢罐在时段t的容量;ηH2为储氢罐的氢气充放效率;Eselli,t为HES单元i在时段t的售氢量;EHESi,max为容量上限;Eselli, max为售氢上限。
2、ESS的调度特性模型具体如下:
EES 单元 i 的充放电状态约束:
![]()
充放电功率约束:

容量约束:

2.2.2第1阶段紧急调度模型
第1阶段的目标函数为启停成本最小,约束条件包括火电机组启停状态约束、最小开机时间约束和最小停机时间约束:
火电机组受启停状态约束,需确保至少有一台火电保持出力(系统稳定性、应急响应能力、经济性):

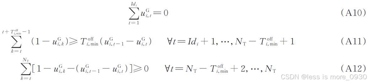
火电机组最小开机时间约束按时间顺序分为三段:式(A7)反映了机组开机时间受机组初始状态的影响,即机组一旦启动,在其开机时间内必须保持运行状态;式(A8)表示在中间时段,连续Toni,min(机组i的最小开机时段数)个时段内机组需要满足的最小开机时间约束;式(A9)表示当机组在最后Toni,min-1个时段内开机时,需持续开机到调度结束。

Ini为火电机组i从初始时段起需满足持续开机的时段数,Ini=min[NT,(Toni,min- Toni,0) (1-uGi,0)];Toni,0为火电机组i初始状态下已经持续开机的时段数; uGi,0为火电机组i的初始状态。
同理,火电机组最小停机时间约束也分为三段:

式(A10)-(A12)中:Idi为火电机组i从初始时段起需满足持续停机的时段数,Idi= min[NT,(Toffi,min- Toffi,0)uGi,0];Toffi,0为火电机组i初始状态下已经持续停机的时段数;Toffi,min为火电机组i的最小停机时段数。
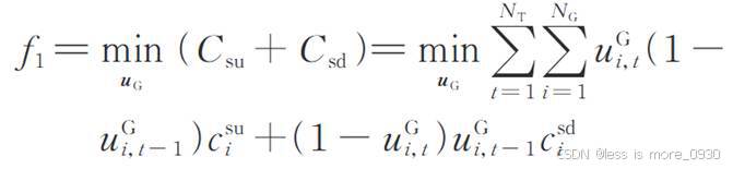
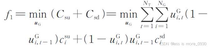
第1阶段目标函数为:

式中:uG为火电机组启停状态变量集合;NG为火电机组总数;Csu和Csd分别为火电机组的启动和停机总成本;csui和csdi分别为火电机组i的单位启动和停机成本;uGi,t为表示火电机组i在时段t的启停状态的0-1变量,值取1表示开机,值取0表示停机。
2.2.3第2阶段紧急调度模型
第2阶段目标函数为综合运行成本Ctotal最小:

式中:uL为线路故障状态变量;uch,udis,uP2H,uH2P∈F(uG,uL)分别为uG和uL已知情况下EES和HES的运行状态变量。
(1)火电机组运行成本(单位出力成本×出力)CG:

(2)弃风惩罚成本(单位弃风成本×弃风量)CW:

(3)失负荷惩罚成本(单位失负荷成本×失负荷量)CD:

(4)ESS充放电成本(单位充放电成本×充放电量)CESS:

(5)氢储能充放电成本(单位充放电成本×充放电量)CHES:

(6)氢储能售氢获利(售氢单价×售氢量)Csell:

HES储能资源充放电约束:
![]()



ESS储能资源充放电约束:
![]()


运行安全常规约束:
(1)火电机组出力约束:
![]()
(2)火电机组爬坡约束:
![]()
当火电机组启动时的最小出力PGi,min大于爬坡幅度时,爬坡约束将使得停机的机组无法启动,因此将其改写为:

式中:RiH,u和RiI,d分别为启动最大升速率和停机最大降速率,取RiH,u=RiI,d= (PGi,min+PGi,max)/2。
(3)失负荷约束:
![]()
(4)潮流约束:
![]()
![]()
考虑线路故障后:
![]()
式中:M为一个较大值,取M = max{SLij}。
(5)相角约束:
![]()
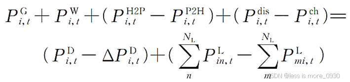
(6)节点功率守恒约束:

式中:PWi,t为节点i处风电场在时段t的出力;PDi,t为节点i处负荷;PLin,t为时段t从节点i流向节点n的线路功率;PLmi,t为时段t从节点m流向节点i的线路功率。
(7)风-氢转换约束:

式中:PWi,t为风电机组i在时段t的发电量;PWi,max、PWi,min分别为风电出力上、下限。
(8)风电爬坡约束:

3.基于C&CG-AOP算法的两阶段紧急协调鲁棒调度模型
第2阶段包含整数决策变量(如储能的充放电状态),无法通过对偶变换或KKT条件将双层max-min模型转换为单层max模型(因为整数变量的取值是离散的,不满足凸集和连续的定义,而对偶变换基于凸优化理论,KKT条件是用于求解连续优化问题的一阶必要条件)。此时,仿射函数的近似求解(适用于连续变量的情况)和Benders算法(Benders算法用于求解具有特定结构的双层规划问题,通过将下层问题转化为其对偶问题,并与上层问题结合来求解)均不适用,但可以通过nested-C&CG处理MILP问题。然而,内层C&CG依靠枚举线路状态变量来寻找不确定故障集中的最坏场景,当处理大规模复杂问题时会导致求解效率低下。基于此,本文采用C&CG-AOP算法,外层与传统C&CG类似,内层应用AOP算法,在子问题max-min迭代时不会随迭代次数增加扩大模型规模,从而保证模型鲁棒性并提高计算效率。
3.1两阶段紧急协调鲁棒调度的C&CG-AOP算法模型
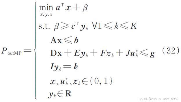
本文所提的两阶段紧急协调鲁棒调度模型可以写成如下紧凑形式:


aTx对应第1阶段目标函数式:

cTy对应第2阶段目标函数式:







不等式约束Ax≤b对应第1阶段的约束式:



不确定故障集U:

![]()
等式约束Iy = k:




![]()
不等式约束Dx∗ + Ey + Fz + Ju ≤ g:
![]()
![]()
![]()
![]()
![]()

![]()
![]()
![]()

![]()
![]()
![]()
![]()
3.1.1外循环C&CG
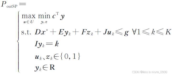
首先,C&CG-AOP算法将所提的两阶段鲁棒优化模型分为外层主问题PoutMP和外层子问题PoutSP,二者构成外循环C&CG。
1)外层主问题:

式中:k为第k次迭代;K为当前迭代次数;β为辅助变量;不确定量u∗k为已知量。
通过求解PoutMP得到最优解x∗和K组(y∗k,z∗k),并将x∗传递给PoutSP,同时更新外层下界boutLB。
2)外层子问题:

求解PoutSP得到新的不确定量u∗k+1,同时更新外层上界boutUB。若boutUP-boutLB> ε,将新的变量(yk+1,zk+1)及相关约束构成的割集Ccuts添加到PoutMP,并返回u∗k+1,进行下一次循环。
3.1.2内循环AOP
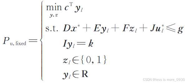
内循环AOP(AOP算法(Alternating Optimization Procedure,交替优化程序):这是一种用于解决复杂优化问题的迭代方法,通过将原问题分解为多个较简单的子问题,然后交替优化这些子问题来逼近原问题的最优解。)对应求解外层子问题PoutSP,由于PoutSP中涉及大量整数变量z,通过AOP算法将PoutSP分解为整数固定问题Pz,fixed和不确定性固定问题Pu,fixed,通过迭代求解得到boutUB。
- 整数固定问题(Pz,fixed):在PoutSP中,可能存在整数变量(如二进制变量或整数决策变量)。Pz,fixed是指在固定这些整数变量后,剩下的优化问题。
- 不确定性固定问题(Pu,fixed):在PoutSP中,可能存在不确定性参数(如随机变量或模糊参数)。Pu,fixed是指在固定这些不确定性参数后,剩下的优化问题。
AOP算法的核心思想是将原问题分解为两个或多个子问题,每个子问题固定一部分变量或参数,优化另一部分。对于PoutSP,可以分解为:
- 固定整数变量,优化不确定性参数(Pz,fixed):
- 假设整数变量z已固定,那么原问题中与z相关的约束和目标函数中的z部分也被固定。
- 剩下的优化问题主要涉及不确定性参数u的优化,可能是在给定z的情况下,寻找满足概率约束的最优u。
- 固定不确定性参数,优化整数变量(Pu,fixed):
- 假设不确定性参数u已固定(例如取其名义值或某种统计量),那么原问题中与u相关的约束和目标函数中的u部分也被固定。
- 剩下的优化问题主要涉及整数变量z的优化,可能是在给定u的情况下,寻找最优的整数解z。
1)整数固定问题:

式中:l为当迭代次数;π、ρ分别为外层子问题中不等式约束和等式约束的对应乘子;zl∗为Pu,fixed返回的最优解。
通过对偶理论将原目标函数转化为Pz,fixed的目标函数,求解Pz,fixed得到不确定性的最坏情况ul∗,并传给Pu,fixed,同时更新内层上界binUB。
2)不确定性固定问题:

求解Pu,fixed得到(yl∗,zl∗),同时更新内层下界binLB。若binUB-binLB≥ε,则将zl∗返回给Pz,fixed,进行第l+1次内循环;若binUB-binLB<ε,则将ul∗返回给PoutMP。
3.1.3C&CG-AOP算法求解流程
基于C&CG-AOP算法的两阶段紧急协调鲁棒调度模型求解流程如图2所示,设置迭代收敛判据ε=0.001。

4算例分析
4.1台风作用下系统异常分析
改进的 IEEE 14 节点系统拓扑结构及台风路径见附录 B 图B1。其中,节点1、2和3接火电机组;节点9和11装设风电场和HES;节点12装设EES。

负荷曲线见附录B图B2。

各资源参数见附录B表B1、B3和B4。



本算例设定输电杆塔均为Q345材质,单位档距为5km,根据塑型疲劳损伤临界风速,设定最大风速对应的风圈(半径为Rmax)为风险风圈,vin=3m/s,vrate=12m/s,vout=25m/s。风电出力如图3所示。

节点9处风电场出力呈以下趋势:
00:00—01:00:随台风靠近,风电出力缓慢增长;
01:00—03:45:风电场进入风险风圈,风速vw(t)迅速上升,在vout附近波动,造成风机频繁启停和异常爬坡;
03:45—05:30:台风逐渐远离,vw(t)从vout逐渐下降至vrate,风电场保持额定功率输出;
05:30—12:00:风电出力随vw(t)缓慢下降。
节点11处风电场受台风影响晚于节点9,风电功率发展趋势与节点9风电场类似,但是出现“延迟”现象。
线路的时变故障概率如图 4 所示。

线路9、16和17最先受到台风影响,且靠近边缘,01:00—03:45持续承受风速较大,杆塔累积疲劳损伤急剧增加,故线路故障概率较大;03:45—12:00,随着台风逐渐远离,累积疲劳损伤不再增加,线路9、16和17的故障概率趋于稳定。
线路11-13、18-20基本位于风圈内部,承受风速较小,累积疲劳损伤较低,故线路故障概率较小。线路1-8、10、14和15离台风较远,故障概率为0。
4.2基于信息熵的断线故障不确定集
根据1.3节计算故障场景的系统熵值及其概率分布,得到各时段下的熵值区间如图C1所示,α = 0.9。选取前后故障场景最大重数对比如图5,可见时变熵值区间能够降低故障重数,且并非每个时段都有多重故障,避免对灾害的预估过于恶劣。


表1时变熵值区间置信度α=0.9,固定熵值区间取[0,5]。
01:00—01:15:台风初始阶段的线路故障概率非常小,因此时变熵值区间(0,8.57]包含的故障场景较少,系统熵值较大;
04:00—04:15:线路9、16、17的故障概率较高,故障场景主要由上述3条线路构成,虽然两种区间包含的故障场景一致,但时变熵值区间[0.36,1.67]比固定区间小;在09:15—09:30时段,时变熵值区间[0.36,5.45]略大于固定区间,但包含的故障场景明显增加,这是因为台风作用时间越长,对电力系统的整体影响越大,导致故障场景大幅增加。与固定熵值区间相比,通过设置置信度α选取故障场景,可以有效应对熵值区间过小时遗漏严重故障场景的问题,同时提高熵值区间过大时的计算效率。

4.3调度策略有效性对比分析
为分析两阶段紧急调度策略的经济性和鲁棒性,采用以下5种策略进行对比:
策略1:本文所提的两阶段紧急协调鲁棒调度策略(考虑售氢);
策略2:本文所提的两阶段紧急协调鲁棒调度策略(不考虑售氢);
策略3:单阶段紧急协调鲁棒调度策略;
策略4:确定性紧急协调调度策略;
策略5:随机优化紧急协调调度策略。
取置信度α=0.9,cW=100元/MW,cD=100元/MW,为了评估调度策略的有效性,选择失负荷率 FD 和弃风率 FW 作为风险指标进行结果分析,结果如表2至表4所示。





策略2下的FD高于策略1,产生了少量的弃风(FW=0.0002),成本比策略1高21%。HES不仅实现风电就地消纳,还降低总调度成本。
策略3存在弃风(FW =0.0805),策略1不存在(FW=0),且FD比策略3低。策略3为了应对不确定故障集中所有场景,采取过于保守的策略,弃风和失负荷较多。而策略1通过两阶段鲁棒优化,在不确定性揭示之前进行初步决策,确保不确定性下的鲁棒性;在不确定性揭示后调整第2阶段资源的运行策略,进一步降低最坏故障场景下的弃风和失负荷,总成本比策略3下降了21.3%。由此可见,策略1在确保系统鲁棒性的同时经济性更好。
策略4针对单一故障场景进行优化决策,而策略1需要综合考虑不确定故障集中所有场景,因此策略1FD和总成本比策略4高。策略1牺牲了一定的经济性,表现出比策略4更高的保守性。
相比于策略1,将策略4应用于场景1-3时,出现了更高的弃风和失负荷。这是由于策略4无法满足其他场景下的所有约束条件,缺乏足够的鲁棒性。
策略5总成本比策略1低3.95%,但策略5中存在FD更大的场景。策略5通过对多场景求期望成本来处理不确定性,其中包含的严重程度较轻的场景可能影响鲁棒性。此外,过多的场景数导致策略5的求解效率降低。
4.4C&CG-AOP算法的优越性分析
分别采用C&CG-AOP算法和nested-C&CG算法求解所提模型,对比结果如表5所示。在内循环整数固定问题中,由于AOP避免了离散变量和约束的增加,内循环总迭代次数比nested-C&CG少2次,且计算效率提高了55.79%。

4.5两阶段紧急协调鲁棒调度模型和算法的可扩展性分析
采用改进的IEEE39节点系统验证所提模型可扩展性,拓扑结构及台风路径见图B3,负荷曲线见图B4,线路故障概率见图B5,各资源参数见表B2-B4。






取α=0.9,C&CG-AOP算法在IEEE14和IEEE39节点系统中的收敛过程如表6所示,二者的外层C&CG均在2次迭代后收敛,内层AOP分别在3次和2次迭代后收敛。在规模更大的IEEE39节点系统中,所提方法仍可在有限迭代次数内求解成功,体现了其可扩展性。

C&CG-AOP算法的收敛性和最优性讨论见附录D。





同样采用策略1-5进行分析,由附录表D1-D3可得,IEEE39节点系统的有效性讨论结果与IEEE14节点系统基本一致。相比IEEE14节点系统,IEEE39节点系统产生较多弃负荷是由于其整体负荷需求较大,发生断线故障后,机组和储能通过剩余线路供电,受线路传输功率限制,仍然有一部分的负荷无法得到供给。进一步地,利用不确定性系数(即置信度α)分析经济性和鲁棒性之间的平衡关系。α=0时,相当于采用确定性策略4。表7显示,总成本与α呈正相关,α较小时,失负荷和总成本较低,但系统鲁棒性相对偏弱;α较大时,系统鲁棒性增强,但失负荷和总成本随之增加,决策愈加保守。因此,可通过α来设置不确定性程度,在两阶段模型中实现经济性与鲁棒性之间的平衡。

5结语
针对台风灾害冲击下的电力系统韧性提升问题,本文提出了一种考虑多元资源调节特性的两阶段紧急协调鲁棒调度策略,通过改进的IEEE14节点系统进行分析,并用改进的IEEE39节点验证可扩展性,得到如下结论:
1)相较于固定熵值区间,所提基于时变熵值区间的不确定故障集可以有效应对熵值区间过小时遗漏严重故障场景的问题,同时降低熵值区间过大时的计算成本。
2)相较于单阶段紧急协调鲁棒调度策略,所提策略可保证台风灾害下系统运行可靠性与安全性,缓解一次性决策的过度保守问题,提升了紧急调度的经济性。
3)相较于确定性紧急协调调度策略,所提策略可以充分考虑故障场景的不确定性,适应不确定故障集中的任意场景下的系统安全运行需求,具备鲁棒性。
4)氢储能等多元灵活资源的引入可平抑台风灾害导致的风电功率波动,结合不确定性参数,通过两阶段之间的协调平衡鲁棒性和经济性,实现资源的最优分配。
气候弹性强是未来数值化智能电网的重要特征之一。全球气候变暖加剧使得电网面临的气候灾害类型更多,多样化灾害导致的事故演化更为复杂。未来将进一步研究其他气候灾害下的紧急协调调度问题。
参考文献
[1]张晓,毛艺静,许彦,等.台风灾害下考虑调节特性的多元资源紧急协调调度[J/OL].电力系统自动化,1-20[2025-04-27].http://kns.cnki.net/kcms/detail/32.1180.TP.20250415.1602.004.html.
