电机控制杂谈(25)——为什么对于一般PMSM系统而言相电流五、七次谐波电流会比较大?
1. 背景
最近都在写论文回复信。有个审稿人问了一个问题——为什么对于一般PMSM系统而言相电流五、七次谐波电流会比较大?同时,为什么相电流五、七次谐波电流会在dq基波旋转坐标系构成六次谐波电流?
回答这个问题挺简单的,但在网上并没有看到充分地回答,所以在这里解释一下。
回答这个问题需要从两个点考虑:
1)谐波电压的来源;
2)电机的阻抗。
2.谐波电压的来源
谐波电压的来源主要有两个:
1)永磁体谐波反电势;
2)逆变器非线性。
2.1 永磁体谐波反电势
永磁同步电机的永磁谐波体反电势主要是低阶谐波,如3次、5次和7次谐波。然而,由于传统三相星形绕组永磁同步电机中的三阶谐波电压(3次、9次等)是零序分量,由于中性点隔离,零序分量电压而不会引起电流谐波[1][2]。因此,只绝大部分论文只会考虑了5次和7次永磁谐波体反电势。
例如,这是我使用的PMSM的相反电势波形(注意不是线反电势,线反电势里面看不到三次谐波的)及其FFT分析结果。从下图的结果可以看出,我使用的PMSM的谐波反电势里,三次谐波含量最大(13.43%),五次谐波含量第二(1.43%),其余谐波成分均可忽略不计了。

再例如,这是文献[1]使用的PMSM的相反电势波形及其FFT分析结果。从下图的结果可以看出,我使用的PMSM的谐波反电势里,五次谐波含量最大(5.4%),三次谐波含量第二(5.2%),七次谐波含量第三(1.5%),九次谐波含量第四(0.9%),其余谐波含量均可以忽略不计。

从上述两台PMSM的永磁体谐波反电势的FFT分析来看,不考虑三次、九次这里零序分量的话,其实只考虑永磁体谐波反电势的五次、七次谐波即可。
2.2逆变器非线性
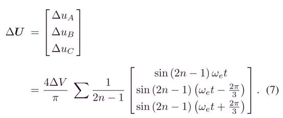
根据参考文献[2],如果将逆变器非线性造成的电压损失等效为方波脉冲,逆变器非线性造成的A相电压畸变表达式如下:

可进一步对式子(5)用傅里叶级数进行分解,可得:

B、C相同理:

从式子(7)可以看出,逆变器非线性会产生3、5、7、9、11、13、15等奇数次谐波。
但值得注意的是,谐波次数越低,对应的谐波幅值就越大。即逆变器非线性产生的3次谐波电压的幅值 > 逆变器非线性产生的5次谐波电压的幅值 > 逆变器非线性产生的7次谐波电压的幅值……
同样的,由于不考虑三次、九次谐波电压,同时逆变器非线性产生的十一次、十三次谐波电压幅值相对较小,那我们主要考虑逆变器非线性产生的五次、七次谐波电压即可。
3.电机的阻抗
电机阻抗的表达式如下:

Rs
 是电机的电阻;Ls
 是电机的电感。fe
为电流的频率。从这个表达式可以看出,电流频率越高,那么阻抗Z越大。在交流电压幅值相同的情况下,交流电压频率越高,对应的阻抗越大,那么这个频率的谐波电流幅值也就越小。
这个完全可以做个仿真进行验证。仿真中设置阻感性负载的电阻为1欧姆,电感为5mH。两个交流电压的幅值都设置为1V,左边交流电压的频率为50Hz,右边为100Hz。
从波形图可以看出,频率为100Hz的交流电压产生的交流电流的幅值更小。

由此也可以说明,我们主要考虑PMSM的一些低次谐波电流即可,即五次、七次谐波电流。
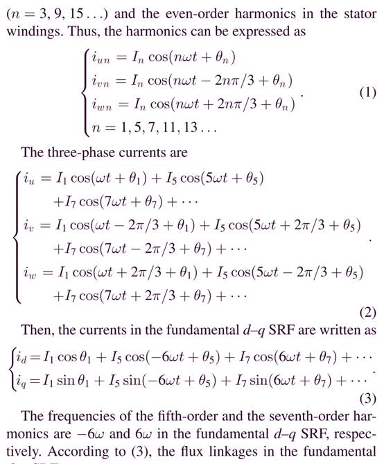
4.为什么相电流五、七次谐波电流会在dq基波旋转坐标系构成六次谐波电流?
最朴素的方法就是去手动推导,可参考文献[3]:

但我个人还是更倾向于参考文献[2]的表达,直接从频谱图来看。

综上所述,相电流的五、七次谐波电流在dq基波旋转坐标系表现为六倍频。
5.参考文献
[1] W Z. Lyu, L. Wu and P. Song, "A Novel Harmonic Current Control Method for Torque Ripple Reduction of SPMSM Considering DC-Link Voltage Limit," IEEE Trans. on Power Electron., vol. 39, no. 2, pp. 2558-2568, Feb. 2024.
[2] L. Yan, Z. Zhu, B. Shao, J. Qi, Y. Ren, C. Gan, S. Brockway, C. Hilton "Arbitrary Current Harmonic Decomposition and Regulation for Permanent Magnet Synchronous Machines," IEEE Trans. on Ind. Electron., vol. 70, no. 5, pp. 4392-4404, May 2023.
[3] G. Liu, B. Chen, K. Wang and X. Song, "Selective Current Harmonic Suppression for High-Speed PMSM Based on High-Precision Harmonic Detection Method," IEEE Trans. on Ind. Inform., vol. 15, no. 6, pp. 3457-3468, June 2019.
