电子电路:到底该怎么理解电容器的“通交流阻直流”?
电容器“通交流,阻直流”的特性源于其对不同频率电信号的响应差异,具体可通过以下步骤理解:
一、电容器的基本结构与充放电机制
- 结构:由两个导体极板(如金属)和中间的绝缘介质组成。
- 充放电过程:
- 直流电压下:电荷在极板间积累,形成电场。当电压稳定(充满)后,电流停止,表现为“断路”。
- 交流电压下:电压方向周期性变化,导致电容器反复充放电,电路中形成持续的电流。
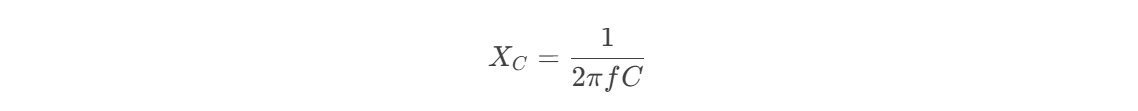
二、容抗公式与频率的关系
电容器的阻抗(容抗)公式为:

- (Xc):容抗(单位:Ω),表示对电流的阻碍作用。
- (f):信号频率(单位:Hz)。
- (C):电容量(单位:F)。
关键结论:
-
直流((f=0)):容抗

-
电容器阻断电流。
-
交流((f>0)):容抗

随频率升高而减小,高频信号更易通过。
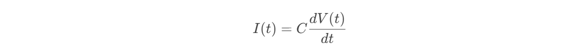
三、数学分析:电流与电压的相位关系
-
纯电容电路中,电流 (I) 超前电压 (V) 90°:

- 电压变化越快(高频),电流越大。
-
直流场景:电压恒定

,电流为零。 -
交流场景:电压周期性变化,电流持续流动。
四、实际应用示例
- 耦合电容:
- 阻隔直流分量,仅允许交流信号通过(如音频信号传输)。
- 滤波电容:
- 在电源电路中滤除交流纹波,保留直流成分。
- 旁路电容:
- 高频噪声通过电容器短路到地,保护敏感电路。
五、常见误区澄清
- 电容器并非“完全导通”交流电:
- 容抗始终存在,只是高频时阻碍作用较小。
- 直流并非完全无法通过:
- 仅在充电瞬间有短暂电流,稳态下阻断直流。
- 实际电容器的非理想特性:
- 存在等效串联电阻(ESR)和电感(ESL),影响高频性能。
六、总结
- 阻直流:电容器在直流稳态下因充满电而表现为断路。
- 通交流:交流电压方向变化导致持续充放电,形成等效电流,且频率越高阻碍越小。
- 核心公式:

直接体现了频率对容抗的影响。
通过理解电容器的充放电机制、容抗公式及相位关系,可清晰掌握其“通交流,阻直流”的原理。
