当前位置: 首页 > news >正文

捌拾伍- 量子傅里叶变换 (3)

前期的内容在 捌拾叁- 量子傅里叶变换

前期的内容在 捌拾肆- 量子傅里叶变换 (2)

9. 之前的

之前的公式写错了! Markdown 的 KaTeX 真难用!!!

而且之前的公式是从 j1jn ,但量子计算都是从 0 开始的,我再改一下公式

在这里插入图片描述

10. 拆解转化为量子电路

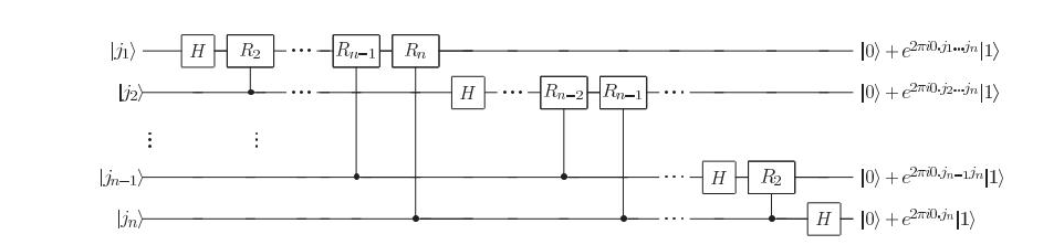
教程上,量子电路被描述为:

在这里插入图片描述

注意它上面是从 j1jn,但我们这里是从 j0jn-1

10.1) 首先研究最左边

最左边是哪个呢?

在这里插入图片描述

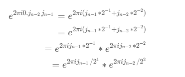
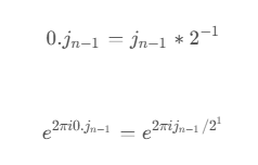
难点就是 2𝜋𝑖0.𝑗𝑛-1

教程上面写着,只需要一个 H门 就可以了

为什么呢!?

我们首先把 0.jn-1 这个二进制小数化回十进制展示

在这里插入图片描述

然后

在这里插入图片描述

在这里插入图片描述

10.2) 当有两位二进制小数时,怎么办!?

例如这个

在这里插入图片描述

根据

在这里插入图片描述

得到出来的结果是

在这里插入图片描述

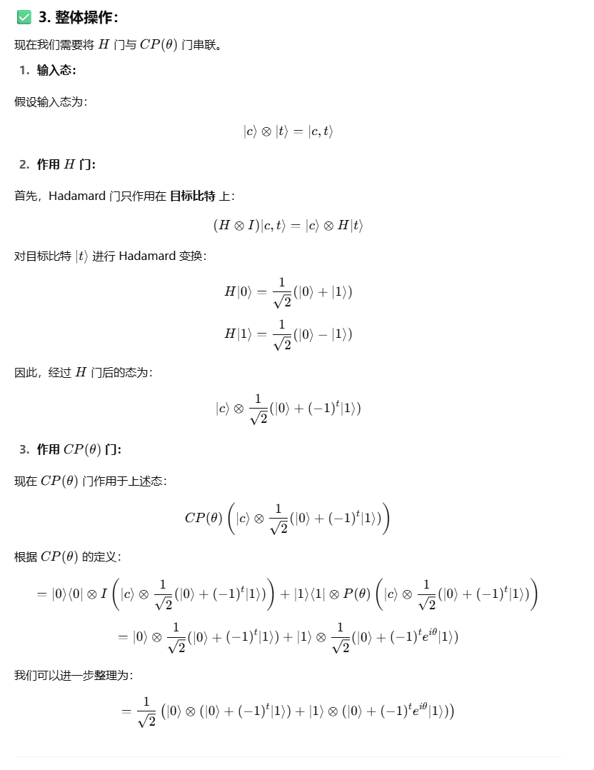
教程上的说法是,给一个 H门 , 再串联一个 CP门

这个时候必须得介绍一下 CP 门 了 量子计算 - 03 - 量子门

这个 CP 门 的作用是 : 控制比特0 时,不对 目标比特 进行任何处理;而为 1 时,对 目标比特 施加一个 θ 的相位旋转

问了一下大模型

在这里插入图片描述

在这里插入图片描述

在这里插入图片描述

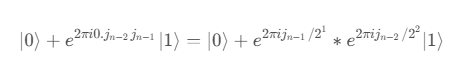
其中我们可以认为 jn-1控制比特jn-2目标比特

(-1)^t 其实就是上面个 10.1 的结果, t 就是 jn-2

c 就是 jn-1

注意,在上面的教程例子里面, θ 等于 2π/2^2

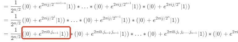
10.3) 多位二进制小数

然后接下来就是不断的把当前输入的为先给一个量子,直接解释可以如下:

在这里插入图片描述

在这里插入图片描述

在这里插入图片描述

在这里插入图片描述

11. 其实之后的东西就是写代码验证

看着之后的内容,都是比较正常的内容,就是如何实现上面的量子电路,和理论验证

这部分直接相信就是了!

在这里插入图片描述

12. 后续

这个真的好复杂,而且傅里叶变换以前都只是知道意义和简单的变换,特别傅里叶级数这东西只有一节来教

所以大学真的是一个,非常重要,又非常废的阶段

还有,数学真的很有用!!!但又很难用!!!!

为什么教程写得那么简单,以为看的人都是博士生么…唉…

http://www.dtcms.com/a/193760.html

相关文章:

  • 数据结构进阶:AVL树与红黑树
  • C++23:ranges::iota、ranges::shift_left和ranges::shift_right详解
  • JavaScript性能优化实战(10):前端框架性能优化深度解析
  • 嵌入式EasyRTC音视频实时通话SDK在工业制造领域的智能巡检/AR协作等应用
  • 医学影像系统性能优化与调试技术:深度剖析与实践指南
  • sqli-labs靶场29-31关(http参数污染)
  • maven和npm区别是什么
  • CVPR2025 | 首个多光谱无人机单目标跟踪大规模数据集与统一框架, 数据可直接下载
  • 中文分词与数据可视化02
  • k8s监控方案实践补充(二):使用kube-state-metrics获取资源状态指标
  • mac中加载C++动态库文件
  • 6 任务路由与负载均衡
  • Linux进程信号(一)之信号的入门
  • Redis + ABP vNext 构建分布式高可用缓存架构
  • flutter缓存网络视频到本地,可离线观看
  • RabbitMQ ④-持久化 || 死信队列 || 延迟队列 || 事务
  • 排序算法之基础排序:冒泡,选择,插入排序详解
  • LabVIEW光谱检测系统
  • Ubuntu快速安装Python3.11及多版本管理
  • 提权脚本Powerup命令备忘单
  • Ubuntu系统安装VsCode
  • 2024 睿抗机器人开发者大赛CAIP-编程技能赛-本科组(国赛) | 珂学家
  • 牛客网NC22000:数字反转之-三位数
  • python打卡训练营Day27
  • Pywinauto:轻松实现Windows桌面自动化实战
  • 学习threejs,使用Physijs物理引擎,各种constraint约束限制
  • PCL 绘制二次曲面
  • 组件导航 (Navigation)+flutter项目搭建-混合开发+分栏
  • 如何更改远程桌面连接的默认端口?附外网访问内网计算机方法
  • Elasticsearch-kibana索引操作