人工智能之数学基础:二次型
本文重点
二次型作为线性代数领域的重要概念,架起了代数方程与几何分析之间的桥梁。从古典解析几何中的圆锥曲线方程到现代优化理论中的目标函数,二次型以其简洁的数学表达和丰富的结构特性,在数学物理、工程技术和经济金融等领域发挥着不可替代的作用。
二次型的基本概念
二次型是一种特殊的二次函数,这个函数只含有二次项,在很多机器学习算法中,二次项型经常作为目标函数出现。
只含有二次项的n元多项式f(x1,x2,...,xn)称为x1,x2,....,xn的一个n元二次型,如下所示:

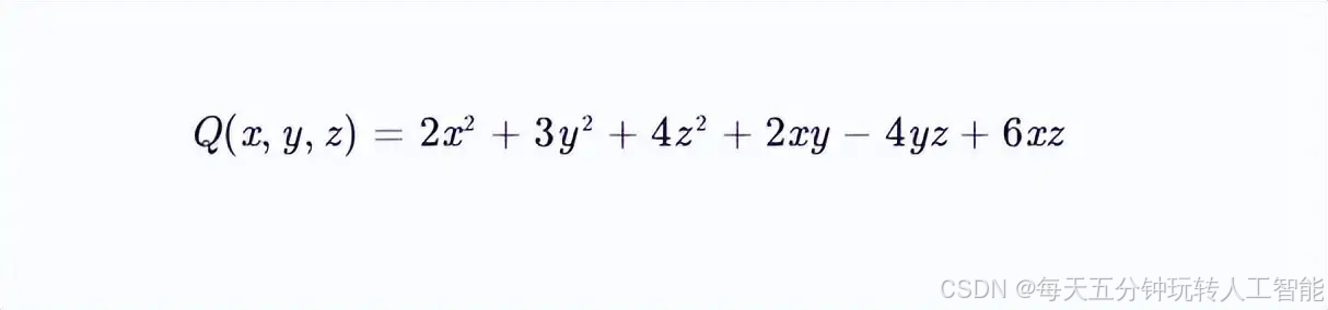
例如,三维空间中的二次型:

对应的系数矩阵A为:

由二次型的系数构成的
