数据结构【二叉搜索树(BST)】
二叉搜索树
- 1. 二叉搜索树的概念
- 2. 二叉搜索树的性能分析
- 3.二叉搜索树的插入
- 4. 二叉搜索树的查找
- 5. 二叉搜索树的删除
- 6.二叉搜索树的实现代码
- 7. 二叉搜索树key和key/value使用场景
- 7.1 key搜索场景:
- 7.2 key/value搜索场景:
1. 二叉搜索树的概念
二叉搜索树又称二叉排序树,它或者是一棵空树,或者是具有以下性质的二叉树:
- 若它的左子树不为空,则左子树上所有结点的值都小于等于根结点的值。
- 若它的右子树不为空,则右子树上所有结点的值都大于等于根结点的值。
- 它的左右子树也分别为二叉搜索树。
- ⼆叉搜索树中可以支持插入相等的值,也可以不支持插入相等的值,具体看使用场景定义,map/set/multimap/multiset系列容器底层就是二叉搜索树,其中map/set不支持插入相等值,multimap/multiset支持插入相等值。

2. 二叉搜索树的性能分析
最优情况下,二叉搜索树为完全二叉树(或者接近完全二叉树),其高度为: log2 N
最差情况下,二叉搜索树退化为单支树(或者类似单支),其高度为: N
所以综合而二叉搜索树增删查改时间复杂度为: O(N)

二分查找也可以实现 O(log2 N) 级别的查找效率,但是二分查找有两大缺陷:
-
需要存储在支持下标随机访问的结构中,并且有序。
-
插入和删除数据效率很低,因为存储在下标随机访问的结构中,插入和删除数据⼀般需要挪动数据。
这里也就体现出了平衡二叉搜索树的价值。
3.二叉搜索树的插入
- 树为空,则直接新增结点,赋值给root指针
- 树不空,按二叉搜索树性质,插入值比当前结点大往右走,插入值比当前结点小往左走找到空位置,插入新结点。
- 如果支持插入相等的值,插入值跟当前结点相等的值可以往右走,也可以往左走,找到空位置,插入新结点。(要注意的是要保持逻辑一致性,插入相等的值不要一会往右走,一会往左走)
4. 二叉搜索树的查找
- 从根开始比较,查找x,x比根的值大则往右边走查找,x比根值小则往左边走查找。
- 最多查找高度次,走到到空,还没找到,这个值不存在。
- 如果不支持插入相等的值,找到x即可返回
- 如果支持插入相等的值,意味着有多个x存在,一般要求查找中序的第一个x。
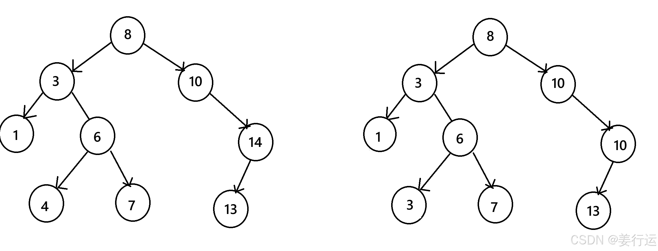
5. 二叉搜索树的删除
首先查找元素是否在二叉搜索树中,如果不存在,则返回false。
如果查找元素存在则分以下四种情况分别处理:(假设要删除的结点为N)
- 要删除结点N左右孩子均为空
- 要删除的结点N左孩子位空,右孩子结点不为空
- 要删除的结点N右孩子位空,左孩子结点不为空
- 要删除的结点N左右孩子结点均不为空
对应以上四种情况的解决方案:
- 把N结点的父亲对应孩子指针指向空,直接删除N结点(情况1可以当成2或者3处理,效果是一样的)
- 把N结点的父亲对应孩子指针指向N的右孩子,直接删除N结点
- 把N结点的父亲对应孩子指针指向N的左孩子,直接删除N结点
- 无法直接删除N结点,因为N的两个孩子无处安放,只能用替换法
删除。找N左子树的值最大结点R(最右结点)或者N右子树的值最小结点R(最左结点)替代N,因为这两个结点中任意一个,放到N的位置,都满足二叉搜索树的规则。替代N的意思就是N和R的两个结点的值交换,转二变成删除R结点,R结点符合情况2或情况3,可以直接删除。



6.二叉搜索树的实现代码
template<class K>
struct BSTNode
{K _key;BSTNode<K>* _left;BSTNode<K>* _right;BSTNode(const K& key):_key(key), _left(nullptr), _right(nullptr){}
};
// Binary Search Tree
template<class K>
class BSTree
{typedef BSTNode<K> Node;
public:bool Insert(const K& key){if (_root == nullptr){_root = new Node(key);return true;}Node* parent = nullptr;Node* cur = _root;while (cur){if (cur->_key < key){parent = cur;cur = cur->_right;}else if (cur->_key > key){parent = cur;cur = cur->_left;}else{ return false;}}cur = new Node(key);if (parent->_key < key){parent->_right = cur;}else{parent->_left = cur;}return true;}bool Find(const K& key){Node* cur = _root;while (cur){if (cur->_key < key){cur = cur->_right;}else if (cur->_key > key){cur = cur->_left;}else{return true;}}return false;}bool Erase(const K& key){Node* parent = nullptr;Node* cur = _root;while (cur){if (cur->_key < key){parent = cur;cur = cur->_right;}else if (cur->_key > key){parent = cur;cur = cur->_left;}else{// 0-1个孩⼦的情况// 删除情况1 2 3均可以直接删除,改变⽗亲对应孩⼦指针指向即可if (cur->_left == nullptr){if (parent == nullptr){_root = cur->_right;}else{if (parent->_left == cur)parent->_left = cur->_right;elseparent->_right = cur->_right;}delete cur;return true;}else if (cur->_right == nullptr){if (parent == nullptr){_root = cur->_left;}else{if (parent->_left == cur)parent->_left = cur->_left;elseparent->_right = cur->_left;}delete cur;return true;}else {// 2个孩⼦的情况// 删除情况4,替换法删除// 假设这⾥我们取右⼦树的最⼩结点作为替代结点去删除// 这⾥尤其要注意右⼦树的根就是最⼩情况的情况的处理,对应课件图中删除8的情况// ⼀定要把cur给rightMinP,否会报错。Node * rightMinP = cur;Node* rightMin = cur->_right;while (rightMin->_left){rightMinP = rightMin;rightMin = rightMin->_left;}cur->_key = rightMin->_key;if (rightMinP->_left == rightMin)rightMinP->_left = rightMin->_right;elserightMinP->_right = rightMin->_right;delete rightMin;return true;}}}return false;}void InOrder(){_InOrder(_root);cout << endl;}
private:void _InOrder(Node* root){if (root == nullptr){return;}_InOrder(root->_left);cout << root->_key << " ";_InOrder(root->_right);}private:Node * _root = nullptr;};
7. 二叉搜索树key和key/value使用场景
7.1 key搜索场景:
场景1:小区无人值守车库,那么物业会把买了车位的业主的
车牌号录入后台系统,车辆进入时扫描车牌在不在系统中,在则抬杆,不在则提示非本小区车辆,无法进入。
场景2:检查⼀篇英文章单词拼写是否正确,将词库中所有单词放⼊二叉搜索树,读取文章中的单词,查找是否在二叉搜索树中,不在则波浪线标红提示。
7.2 key/value搜索场景:
每一个关键码key,都有与之对应的值value,value可以任意类型对象。树的结构中(结点)除了需要存储key还要存储对应的value,增/删/查还是以key为关键字走二叉搜索树的规则进行比较,可以快速查
找到key对应的value。key/value的搜索场景实现的二叉树搜索树支持修改,但是不支持修改key,修改key破坏搜索树性质了,可以修改value。
场景1:简单中英互译字典,树的结构中(结点)存储key(英⽂)和vlaue(中文),搜索时输入英文,则同时查找到了英文对应的中文。
场景2:商场无人值守车库,入口进场时扫描车牌,记录车牌和入场时间,出口离场时,扫描车牌,查找入场时间,用当前时间-入场时间计算出停车时长,计算出停车费用,缴费后抬杆,车辆离场。
场景3:统计⼀篇⽂章中单词出现的次数,读取⼀个单词,查找单词是否存在,不存在这个说明第一次出现,(单词,1),单词存在,则++单词对应的次数。
