LeetCode:翻转二叉树
1、题目描述
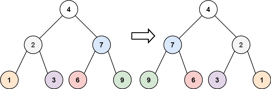
给你一棵二叉树的根节点 root ,翻转这棵二叉树,并返回其根节点。
示例 1:

输入:root = [4,2,7,1,3,6,9]
输出:[4,7,2,9,6,3,1]
示例 2:

输入:root = [2,1,3]
输出:[2,3,1]
示例 3:
输入:root = []
输出:[]
提示:
-
树中节点数目范围在
[0, 100]内 -
-100 <= Node.val <= 100
2、方法1:递归法
核心思想:采用分治思想,先处理子树再处理根节点
-
递归到最左叶子节点
-
递归到最右叶子节点
-
从底部开始逐层交换左右子树
-
最终返回完成翻转的根节点
public TreeNode invertTree(TreeNode root) {if(root == null) return null;invertTree(root.left); // 递归翻转左子树invertTree(root.right); // 递归翻转右子树swap(root); // 交换当前节点的左右子节点return root;
}
复杂度分析:
-
时间复杂度:O(n) 每个节点访问一次
-
空间复杂度:O(h) 递归栈空间(h为树高)
3、方法2:迭代法(层序遍历+队列)
核心思想:广度优先遍历,逐层交换节点
-
使用队列实现BFS(广度优先)遍历,逐层交换
-
每访问一个节点立即交换其左右子节点
-
子节点入队前已完成交换,保证后续正确处理
public TreeNode invertTree(TreeNode root) {if (root == null) return null;Queue<TreeNode> queue = new LinkedList<>();queue.offer(root);while (!queue.isEmpty()){TreeNode node = queue.poll();swap(node); // 核心交换操作if (node.left != null) queue.offer(node.left);if (node.right != null) queue.offer(node.right);}return root;
}
复杂度分析:
-
时间复杂度:O(n)
-
空间复杂度:O(w) w为树的最大宽度
4、方法3:迭代法(后序遍历+栈)
核心思想:用栈模拟递归过程,显式控制遍历顺序
-
维护
pre指针标记已访问的右子树 -
只有确保左右子树都访问后才执行交换
-
严格遵循左→右→根的处理顺序
public TreeNode invertTree(TreeNode root) {if(root == null) return null;Stack<TreeNode> stack = new Stack<>();TreeNode cur = root, pre = null;while (cur != null || !stack.isEmpty()){while (cur != null){stack.push(cur);cur = cur.left;}cur = stack.pop();if (cur.right == pre || cur.right == null){swap(cur); // 后序位置交换pre = cur;cur = null;} else {stack.push(cur);cur = cur.right;}}return root;
}
复杂度分析:
-
时间复杂度:O(n)
-
空间复杂度:O(h)
