【算法-链表】链表操作技巧:常见算法

| 算法 | 相关知识点 | 可以通过点击 | 以下链接进行学习 | 一起加油! |
|---|---|---|---|---|
| 双指针 | 滑动窗口 | 二分查找 | 前缀和 | 位运算 |
| 模拟 |
链表是一种灵活的数据结构,广泛用于需要频繁插入和删除的场景。掌握链表的常见操作技巧,如插入、删除、翻转和合并等,能帮助开发者更高效地解决实际问题。接下来,我们将探讨一些常见的链表算法及其应用。


🌈个人主页:是店小二呀
🌈C/C++专栏:C语言\ C++
🌈初/高阶数据结构专栏: 初阶数据结构\ 高阶数据结构
🌈Linux专栏: Linux
🌈算法专栏:算法
🌈Mysql专栏:Mysql
🌈你可知:无人扶我青云志 我自踏雪至山巅 
文章目录
- 链表常用技巧和操作总结
- a.常用技巧
- b.链表中的常用操作
- 2.两数相加
- 24.两两交换链表中的节点
- 143.重排链表
- 23.合并 K 个升序链表
- 25.K 个一组翻转链表
链表常用技巧和操作总结
a.常用技巧
1.画图(直观 + 形象),便于我们理解
2.引入虚拟"头"节点
a.便于处理边界情况
b.方便我们对于链表操作,处理方式跟后续节点方式统一
3.不要吝啬空间,大胆去定义变量,简洁节点链接表达方式

b.链表中的常用操作
创建一个新节点 new
尾插操作
头插操作(逆序链表)
2.两数相加
【题目】:2. 两数相加

【算法思路】
逆序’关键字表明链表已经完成了逆序操作。在链表相加的题目中,通常也需要先将链表逆序,因为加法操作是从最低位开始的,相当于模拟竖式加法。因此,为了正确执行加法操作,链表需要先进行逆序处理。

解法:模拟两数相加的过程

如果不创建虚拟头节点,就需要将两数相加的结果作为一个头节点,这样会导致计算顺序不够简洁,需要先计算结果,再将后续的节点相加,增加了一些额外的步骤。相比之下,先创建虚拟头节点可以直接开始加法操作,模拟加法时进位 t = 0,这样整个过程更加直观且高效。使用头插法可以简化这一过程。
【代码实现】
class Solution {
public:ListNode* addTwoNumbers(ListNode* l1, ListNode* l2){ListNode * cur1 = l1, * cur2 = l2;ListNode * newhead = new ListNode(0);ListNode * prev = newhead;int t = 0;while(cur1 || cur2 || t){if(cur1){t += cur1 -> val;cur1 = cur1->next;}if(cur2){t += cur2 -> val;cur2 = cur2 -> next;}prev -> next = new ListNode(t % 10);prev = prev -> next;t /= 10;}prev = newhead -> next;delete newhead;return prev;}
};
【细节问题】:while(cur1 || cur2 || t),出现下面这种情况,进位是需要被考虑的。

24.两两交换链表中的节点
【题目】:24. 两两交换链表中的节点

【算法思路】
解法一:递归
解法二:循环、迭代(模拟)

题目要求涉及链表间指向转化,可以使用到我们的技巧"不要吝啬空间,大胆去定义变量,简洁节点链接表达方式",这里同样需要创建虚拟"头"节点,便于我们进行运算操作,通过绘图,我们可以很直观知道模拟过程
【细节问题】

循环结束条件就是cur == nullptr && next == nullptr。
【代码实现】
class Solution {
public:ListNode* swapPairs(ListNode* head) {if(head == nullptr || head -> next == nullptr) return head;ListNode * newHead = new ListNode(0);newHead ->next = head;ListNode * prev = newHead, * cur = prev -> next, * next = cur -> next, * nnext = next -> next;while(cur && next){//交换操作prev -> next = next;next -> next = cur;cur -> next = nnext;//指针转化操作prev = cur;cur = nnext;if(cur) next = cur -> next;if(next) nnext = next -> next;}cur = newHead ->next;delete newHead;return cur;}
};
143.重排链表
【题目】:143. 重排链表

【算法思路】
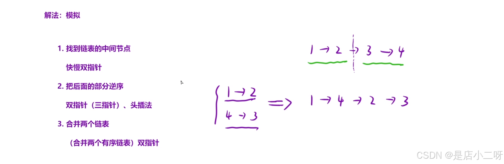
解法:模拟

通过绘图分析,我们可以将问题分为三个问题。

【1.找到链表的中间节点】

slow慢指针走一步,fast快指针走两步,判断结束条件为fast && fast->next 。
if(head == nullptr || head -> next == nullptr || head -> next -> next == nullptr) return;//1.快慢指针找到中间节点ListNode * slow = head;ListNode * fast = head;while(fast && fast ->next){slow = slow -> next;fast = fast ->next ->next;}
【2.将后续部分逆序】
这里可以使用双指针(三指针),头插法。

这里咱们需要解决是,从slow->next位置逆序,还是从slow位置逆序,链表长度奇偶数,是否对位置选取有影响。
这道题目比较特殊,如果是偶数,我们会发现中间部分和最后部分顺序发现没有改变,
【3.合并两个链表】
这里选择slow -> next位置逆序,链表1长度比链表2长度要长,所以外面判断条件为while(cur1)就行。
//合并两个链表ListNode * ret = new ListNode(0);ListNode * prev = ret;ListNode * cur1 = head, * cur2 = head2 ->next;while(cur1){prev -> next = cur1;cur1 = cur1 -> next;prev = prev -> next;if(cur2){prev ->next = cur2;cur2 = cur2 ->next;prev = prev -> next;}}
【代码实现】
class Solution {
public:void reorderList(ListNode* head) {if(head == nullptr || head -> next == nullptr || head -> next -> next == nullptr) return;//1.快慢指针找到中间节点ListNode * slow = head;ListNode * fast = head;while(fast && fast ->next){slow = slow -> next;fast = fast ->next ->next;}//2.获得两个链表ListNode * head2 = new ListNode(0);ListNode * cur = slow -> next;slow->next = nullptr;//3.链表逆序while(cur){ListNode * next = cur ->next;cur -> next = head2 ->next;head2 -> next = cur;cur = next;}//合并两个链表ListNode * ret = new ListNode(0);ListNode * prev = ret;ListNode * cur1 = head, * cur2 = head2 ->next;while(cur1){prev -> next = cur1;cur1 = cur1 -> next;prev = prev -> next;if(cur2){prev ->next = cur2;cur2 = cur2 ->next;prev = prev -> next;}}delete head2;delete ret; }
};
23.合并 K 个升序链表
【题目】:23. 合并 K 个升序链表

【算法思路】
解法一:优先级队列

面对 K 个升序链表,每次需要找到最小节点进行插入,如果使用循环遍历,时间复杂度会变得很高。为了快速找到最小节点或最小的 K 个节点,可以借鉴 topK 问题的思路,利用优先级队列(小堆)来高效地找出最小节点,从而降低时间复杂度。
【代码实现】
class Solution {
public:struct cmp{bool operator()(const ListNode* l1, const ListNode* l2){return l1->val > l2->val;}};ListNode* mergeKLists(vector<ListNode*>& lists) {//创建小堆priority_queue<ListNode*, vector<ListNode*>,cmp> heap;//将每个链表头节点传入for(auto l : lists)if(l) heap.push(l);ListNode * ret = new ListNode(0);ListNode * prev = ret;while(!heap.empty()){ListNode * t = heap.top();heap.pop();prev ->next = t;prev = t;if(t ->next) heap.push(t->next);}prev = ret ->next;delete ret;return prev;}
};
【细节问题】:if(l) heap.push(l);如果是空节点,没有必要插入堆里面进行排序,会大幅度提高空间复杂度。

解法二:递归回溯(留到后面来写)
25.K 个一组翻转链表
【题目】:25. K 个一组翻转链表

【算法思路】
解法:模拟
面对K个什么题目,应该考虑规律性解法。这里根据题目要求,每 k 个节点一组进行翻转即可。
- 【第一步】:先求出需要逆序多少组:n
- 【第二步】:重复n次,长度为k的链表的逆序即可

使用头插法解决此问题时,考虑到需要将尾节点作为新的头节点重新插入,可以通过使用 tmp = prev 来标记。对于 k 个节点,将首节点头插后,它将成为链表的最后一个节点。为了清晰理解,可以通过绘图展示链表的变化过程。
【代码实现】
class Solution {
public:ListNode* reverseKGroup(ListNode* head, int k) {if(head == nullptr && head->next == nullptr) return head;//1.需要逆序多少组ListNode * cur = head;int n = 0;while(cur){cur = cur-> next;n++;}n /= k;ListNode * newHead = new ListNode(0);ListNode * prev = newHead;ListNode * tmp = cur;cur = head;for(int i = 0; i < n; i++){ListNode * tmp = cur;for(int j = 0; j < k; j++){ListNode * next = cur->next;cur->next = prev ->next;prev->next = cur;cur = next;}prev = tmp; }prev->next = cur;cur = newHead->next;delete newHead;return cur;}
};

快和小二一起踏上精彩的算法之旅!关注我,我们将一起破解算法奥秘,探索更多实用且有趣的知识,开启属于你的编程冒险!
