104、二叉树的最大深度
文章目录
- 题目
- 递归代码
- 深度优先搜索(DFS)代码
- 深度优先搜索原理图及解释
- 广度优先搜索(BFS)代码
- 广度优先搜索原理图及解释
- 结束
题目
二叉树:二叉树的最大深度
给定一个二叉树 root ,返回其最大深度。
二叉树的 最大深度 是指从根节点到最远叶子节点的最长路径上的节点数。
示例 1:

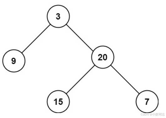
输入:root = [3,9,20,null,null,15,7]
输出:3
示例 2:
输入:root = [1,null,2]
输出:2
提示:
树中节点的数量在 [0, 104] 区间内。
-100 <= Node.val <= 100
递归代码
/**
* Definition for a binary tree node.
* struct TreeNode {
* int val;
* TreeNode *left;
* TreeNode *right;
* TreeNode() : val(0), left(nullptr), right(nullptr) {}
* TreeNode(int x) : val(x), left(nullptr), right(nullptr) {}
* TreeNode(int x, TreeNode *left, TreeNode *right) : val(x), left(left), right(right) {}
* };
*/
class Solution {
public:
int maxDepth(TreeNode* root) {
if(!root)
{
return 0;
}
return max(maxDepth(root->left),maxDepth(root->right))+1;
}
};
深度优先搜索(DFS)代码
超出内存限制
/**
* Definition for a binary tree node.
* struct TreeNode {
* int val;
* TreeNode *left;
* TreeNode *right;
* TreeNode() : val(0), left(nullptr), right(nullptr) {}
* TreeNode(int x) : val(x), left(nullptr), right(nullptr) {}
* TreeNode(int x, TreeNode *left, TreeNode *right) : val(x), left(left), right(right) {}
* };
*/
class Solution {
public:
int maxDepth(TreeNode* root) {
if(!root)
{
return 0;
}
int depth=0;
stack<pair<TreeNode*,int>> s;
s.push({root,1});
while(!s.empty())
{
auto temp=s.top();
s.pop();
depth=max(depth,temp.second);
if(temp.first->right)
{
s.push({temp.first,temp.second+1});
}
if(temp.first->left)
{
s.push({temp.first,temp.second+1});
}
}
return depth;
}
};
深度优先搜索原理图及解释

需要用到栈
①首先将结点3压栈,深度为1,与初始化的深度大小比较,然后3出栈。
②遍历结点3的右子树20入栈深度为2,左子树9入栈深度为2,栈顶元素9出栈,比较深度,找9的左右子树为空。
③栈顶元素20出栈,比较深度大小,遍历左右子树,7入栈深度为3,15入栈深度为3。
④栈顶元素15出栈,比较深度大小,遍历左右子树为空。
⑤栈顶元素7出栈,比较深度大小,最大深度为3,遍历左右子树为空。
⑥栈为空,循环结束,返回最大深度。
广度优先搜索(BFS)代码
内存超出限制
/**
* Definition for a binary tree node.
* struct TreeNode {
* int val;
* TreeNode *left;
* TreeNode *right;
* TreeNode() : val(0), left(nullptr), right(nullptr) {}
* TreeNode(int x) : val(x), left(nullptr), right(nullptr) {}
* TreeNode(int x, TreeNode *left, TreeNode *right) : val(x), left(left), right(right) {}
* };
*/
class Solution {
public:
int maxDepth(TreeNode* root) {
if(!root)
{
return 0;
}
queue<pair<TreeNode*,int>> q;
int depth=0;
q.push({root,1});
while(!q.empty())
{
auto temp=q.front();
q.pop();
depth=max(depth,temp.second);
if(temp.first->left)
{
q.push({temp.first,temp.second+1});
}
if(temp.first->right)
{
q.push({temp.first,temp.second+1});
}
}
return depth;
}
};
广度优先搜索原理图及解释
需要用到队列

初始化深度为0
①首先3入队,深度为1,保存好结点3,结点3出队,比较深度大小,将3的左右子树9、20入队,深度为2
②9出队,比较深度大小,左右子树为空。
③20出队,比较深度大小,左右子树入队15、7深度为3。
④15出队,比较深度大小,左右子树为空。
⑤7出队,比较深度大小,左右子树为空,最大深度为3。
⑥整个队列为空循环结束,返回最大深度。
结束

原理图借鉴哔站华南溜达虎,如有侵权联系删除。
