当前位置: 首页 > news >正文

2.14学习总结

线性表:n个数据元素的有限序列(数据元素是同一个类型

链表:优点:内存动态化

栈:先进后出原则(类似弹夹)

队列:先进先出

二叉树:子树:树枝  节点:树叶  节点的度:叶子数目

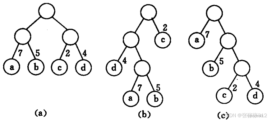
哈夫曼树带权路径长度最短(带权路径长度:树中所有的叶结点的权值乘上其到根结点的路径长度

计算路径长度

(c)WPL = 7*1+5*2+4*3+2*3 = 35

http://www.dtcms.com/a/16499.html

相关文章:

  • 【论文阅读】Revisiting the Assumption of Latent Separability for Backdoor Defenses
  • 用 Python 实现 DeepSeek R1 本地化部署
  • Prompt 工程优化方
  • 一区IEEE Trans|特征模态分解FMD,一维数据分解新方法-matlab免费代码
  • 自有证书的rancher集群使用rke部署k8s集群异常
  • C++ STL 容器
  • Visual Studio 编译 onnxruntime 1.14.1 更低版本兼容Win7
  • IOTDB安装部署
  • 【linux】文件与目录命令 - ln
  • 网络安全 | 网络攻击介绍
  • linux 安装nginx
  • python 指定目录位置,查找指定扩展名的文件是否有指定的关键字
  • # 解析Excel文件:处理Excel xlsx file not supported错误 [特殊字符]
  • 【Mastering Vim 2_03】第二章:精通 Vim 高级技巧之:编辑与浏览技巧 + 第三方增强插件的用法
  • DeepSeek从入门到精通:提示词设计的系统化指南
  • 08模拟法 + 技巧 + 数学 + 缓存(D4_缓存)
  • Postman配置环境变量(超详细的)
  • JavaScript 发起网络请求 axios、fetch、async / await
  • Rander压力测试监测,更改服务端资源node
  • 哈尔滨算力服务器托管服务
  • java.lang.NoClassDefFoundError: javax/xml/bind/ValidationException
  • 【Python爬虫①】专栏开篇:夯实Python基础
  • 【动手学强化学习】01初探强化学习
  • 张量循环运算:内存溢出原因及解决
  • 【Viper】配置格式与支持的数据源与go案例
  • C++中接口与继承的区别(自我学习用)
  • 提供可传递的易受攻击的依赖项
  • docker 运行 芋道微服务
  • Java 设计模式之桥接模式
  • Django 项目自动化部署脚本全解析