当前位置: 首页 > news >正文

高等数学-第七版-下册 选做记录 习题9-3

1.


2.

3.

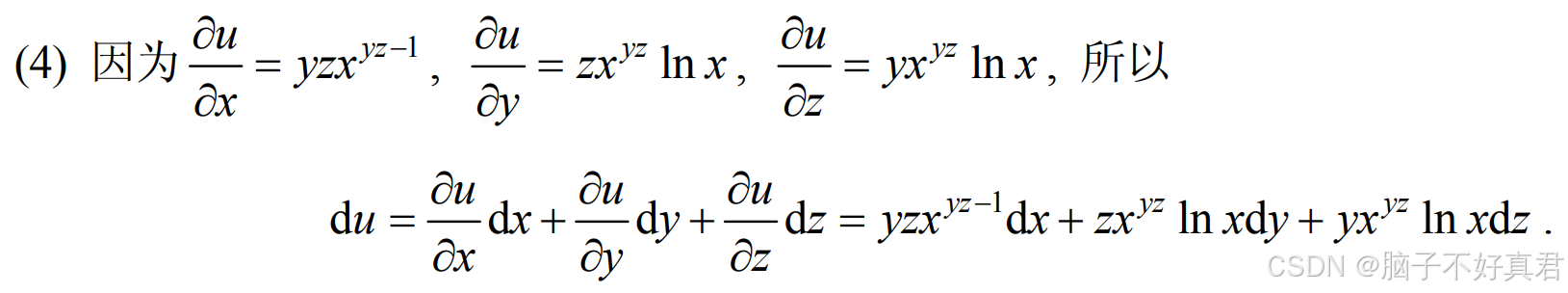
5.


http://www.dtcms.com/a/162580.html

相关文章:

  • emqx部署
  • 有源医疗器械的安规三项
  • three.js后处理原理及源码分析
  • VUE3:封装一个评论回复组件
  • Vue基础(7)_计算属性
  • 【mysql】python+agent调用
  • Adobe Lightroom Classic v14.3.0.8 一款专业的数字摄影后期处理软件
  • 【C++QT】Item Views 项目视图控件详解
  • 第二阶段:基础加强阶段总体介绍
  • 全面解析DeepSeek算法细节(2) —— 多令牌预测(Multi Token Prediction)
  • 如何在idea中编写spark程序
  • FDA会议类型总结
  • 排序算法详解笔记(一)
  • 生物化学笔记:神经生物学概论03 脑的高保真数字信号 突触可塑性
  • jquery解决谷歌浏览器自动保存加密密码是乱码
  • 每日一题(12)TSP问题的贪心法求解
  • 深度学习篇---抽样
  • 数据库- JDBC
  • LeetCode 热题 100_最小路径和(92_64_中等_C++)(多维动态规划)
  • React:封装一个评论回复组件
  • 使用JDK的数据校验和Spring的自定义注解校验前端传递参数的两种方法
  • 2025吃鸡变声器软件推荐
  • COMEM光纤温度传感器Optocon:可靠稳定的温度监测方案
  • (002)Excel 使用图表,统计
  • 阅读MySQL实战45讲第11天
  • PCL实时动态加载显示点云功能以及laslib配置
  • Python项目-支持自然语言处理
  • 湖北理元理律师事务所:债务优化的法律机制与民生实践
  • 【阿里云大模型高级工程师ACP习题集】2.6.用插件扩展答疑机器人的能力边界
  • AI与IT协同的典型案例