【物理学】电磁学——电动势
【物理学】电磁学——电动势
文章目录
- @[TOC](文章目录)
- 前言
- 一、欧姆定律
- 1.电流密度
- 2.电势差
- 3.功率——焦耳热定律
- 二、电动势
- 1.受力分析
- 2.电动势
- 三、动生电动势
- 1.动生电动势
- 2.磁通量定则
- 四、参考资料
- 总结
文章目录
- @[TOC](文章目录)
- 前言
- 一、欧姆定律
- 1.电流密度
- 2.电势差
- 3.功率——焦耳热定律
- 二、电动势
- 1.受力分析
- 2.电动势
- 三、动生电动势
- 1.动生电动势
- 2.磁通量定则
- 四、参考资料
- 总结
前言
提示:以下是本篇文章正文内容,下面案例可供参考
一、欧姆定律
1.电流密度
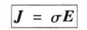
单位密度与每单位电荷受到的力f成正比

J是电流密度
比例因子是电导率的倒数
f可以展开,可以是任何力,化学、重力,不过一般是电磁力

一般来说,电荷速度很小,因此V=0

2.电势差
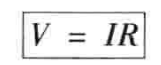
从一个电极流向另一个电极的总电流是与两者间的电势差成正比的,比例常数R是电阻,是电极之间介质的分布形状和电导率的函数

3.功率——焦耳热定律
焦耳热定律,每单位电荷做功为V,单位时间流过的电荷为I,传送的功率为

二、电动势
1.受力分析
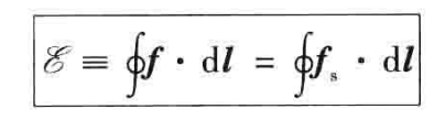
驱动电流在电路遍及电路的过程有两个力,电源fs和静电力E

2.电动势
电动势恒等对f线积分,每单位电荷受到力的积分,即电动势emf

三、动生电动势
在磁场中移动导体
1.动生电动势


2.磁通量定则
回路中产生的电动势是通过回路磁通量变化率的负值

四、参考资料
总结
本文仅仅简单介绍了【物理学】电磁学——电动势,评论区欢迎讨论。
