dl学习笔记(13):从强化学习到PPO
一、我们为什么要有强化学习
为了更好的有一个宏观感受,下图是DeepMind在2024发表的文章中对AI做出了不同层次的定义

可以看到左边分为了5个不同层次的AI,中间是对于细分的下游任务AI的能力展现,右边则是通用任务的AGI实现。我们可以看到中间的细分任务每个阶段都有AI能完成了,甚至最下面的超过人类的也已经有好几个实现了,而右边的通用还停留在第三个阶段。所以现在的主流任务是在右边往AGI的更深入的发展,而发展AGI具体需要哪些能力呢?
在2024年发表的一篇文章中写道,具体大概有哪些特点:感知,记忆,推理和意识。

从这里大家就可以大致看到为什么现在很多大厂或者研究都在往推理方向深耕,推理是实现AGI很重要的一部分。而训练推理能力常见的一种方法就是强化学习。
二、AlphaGo

从这张图片中可以看到,强化学习主要有以下几个基本概念:状态,奖励,行动和策略。
举一个有名的强化学习例子:AlphaGo下围棋。状态就是围棋的具体每一步下完之后的棋谱;奖励就是每一步下完之后会对未来有什么影响;行动就是具体下的每一步动作;策略就是具体到下到哪里的一个决策。

这张图就是AlphaGo的一个训练效果展示图,可以看到正常的监督学习如果以人类下的棋谱作为学习目标的话是永远超出不了人类的水平的,如果使用强化学习的方法,虽然前期效果不如监督学习,但是随着后期的训练积累与探索是可以超过人类的水平的。

上图就是一个简单的示例,我们把每一步棋子都理解为一个状态,在下完一步之后又有N种别的走法,如果我们把这种结构抽象成多叉树的结构的话,以此类推下棋这个游戏就变成了一种在一个很大的搜索空间中的搜索一条较优路径问题,也就是论文中说的蒙特卡洛树搜索(MCTS)。也就是说这本质上是一个搜索算法,用强化学习来减少搜索空间。
在有了上面的基础后,我们就可以把我们的策略和奖励全部都参数化,用神经网络去拟合变成两个神经网络模型,也就是Policy network和Value network。
具体的训练流程大概分为三个阶段:在第一阶段先进行预训练,用大量的人类玩家棋谱进行训练一个基础的策略网络,从而拥有一定的围棋水平。具体来说输入一个具体的状态,放到神经网络中最后输出一个动作,拟合目标就是人类玩家的先验知识。
第二阶段是强化学习阶段:训练两个策略模型对着下,由于围棋是很容易判断输赢的,所以通过两个策略网络对下收集大量训练样本,已经达到一个很高的水平。
第三个阶段是训练一个价值模型:通过第二阶段得到的大量训练样本,模型可以学习到大量的走法,并且也知道哪些走法赢了哪些走法输了,我们就可以以此来训练一个价值模型用来判断:给定一个状态输出一个最终的可能胜率,然后我们每次都按照胜率最高的走法就形成了循环。
然后DeepMind又推出zero版本,拿掉了第一阶段的预训练的先验知识,通过纯强化学习训练的一个版本,发现让模型从一开始就自己探索也一样获得了很好的效果,插句题外话deepseekR1zero应该就是这么来的。
三、强化学习基础
由于本文的重点不是AlphaGo,所以也不会花费太多篇幅来讲解中间的具体细节,但是我们可以通过上面大致内容可以看到强化学习的一个大概流程以及出现的问题。首先我们可以看到强化学习的核心思想就是选择一个策略能够将未来的期望奖励最大化。其次我们可以发现我们在训练的时候这个奖励在大多数任务下都是是很稀疏的,例如这里下一整盘棋只有最后一个奖励信号也就是输赢。那我们如何知道哪些动作导致了输赢,具体给每个动作分配奖励多少呢?所以很多工作都是关于如何更好的分配奖励。
为了更方便理解,接下来会引用一些来自CS234强化学习课程的部分PPT图片,以及GPT对相关内容的讲解图片。马上发车,坐稳扶好,下面会从强化学习基础概念直通PPO的数学公式。

强化学习整个系统大概就分为这几个步骤,我们已经拥有了状态和动作的定义,下一步是建立一个动态模型来描述世界。所以为了更好的描述整个环境,我们需要先对环境进行一个初始建模。
1.MRP

这张PPT把世界建模成一个马尔可夫过程(Markov chain)作为刻画环境的动态模型,也就是假设“下一时刻状态只和当前状态有关,与过去历史无关”,并用转移概率矩阵P来描述从任一状态到下一个状态的概率分布。这就是环境中“状态→状态”转移的动态模型。
而我们之所以假设未来的状态仅依赖于当前状态,而不是整个历史动作。一方面如果不做马尔可夫假设,理论上每一个时刻的决策都要依赖整个历史,那么状态空间和计算成本就会无限膨胀,不利于算法设计与收敛分析;另一方面这也确实符合一些事实的直觉。

进一步的,我们可以继续定义马尔可夫奖励过程(Markov reward process, MRP),它是在前面“马尔可夫链”基础上加上奖励信号和折扣因子的扩展。我们在前者之上为每个状态赋予了一个“价值”信号(奖励),并引入折扣,从而能定义回报 Gt 和状态值函数 V(s),为后续的策略评估与优化奠定数学基础。

这里首先定义了在马尔可夫奖励过程中的奖励是什么,而下面的价值函数就是一个在当前状态下的奖励期望。为了更好的理解这个基本式子,我们还需要理解为什么要这样做。具体来说当我们做出一个行动后,奖励就分为两个部分:即时奖励和未来奖励。所以为了平衡即时奖励和未来的奖励,这里以指数衰减的形式通过折扣因子进行了平衡,形成了一个几何级数。这样做的主要原因有几个:首先当 γ<1时必然收敛,从而使得价值函数可被良好定义和计算;其次在真实环境里,越往后得到的奖励往往越不确定,比如模型可能失配、环境发生变化,通过对越远的回报打越低的折扣可以自然地“更看重”近期奖励,弱化远期噪声对策略评估的影响。

所以当等于0的时候就退化成只考虑当前的即时奖励,当等于1时为每个动作分配一样的权重。

进一步的我们可以计算MRP的价值函数,这里S'表示下一个动作,为了更好的理解,下面放一张GPT对此做出的解释:

最后我们也可以同样的定义策略:

策略就是代理人在每个状态下“做什么动作”的规则,它可以有两种形式:
-
确定性策略:对每个状态s都固定地选一个动作 a=π(s);
-
随机策略:对每个状态s给出一个动作分布,代理人按照这个分布采样动作。
为了在数学上既能覆盖两种情况,又方便后续用期望和概率的语言来统一推导,通常把策略写成条件概率。
最后就引出了我们最后的优化目标:

即找到能使价值函数最大化的策略。
2.MDP
在对环境进行建模之后,MRP并没有将动作和策略纳入进来,所以MDP和MRP最主要的区别就在此。总的来说,MRP是不含动作的“被动”随机过程模型,侧重值函数评估;而MDP则是含动作的“主动”决策过程模型,既要评估也要控制,是强化学习算法设计的核心。

这张“Markov Decision Process (MDP)”的PPT把之前的马尔可夫奖励过程再加上动作这一维度,正式定义了强化学习的核心模型。它由五个部分组成:
-
状态集 S:系统可能处于的所有离散状态的集合;
-
动作集 A:代理人在每个状态下可选择的所有动作;
-
转移模型 P:给定当前状态s和选定动作a,下一时刻变到状态s′的概率分布;
-
奖励函数 R(s,a):在状态s执行动作a后,获得即时回报的期望值;
-
折扣因子 γ∈[0,1]:对未来奖励进行指数衰减,以保证无穷期望回报的收敛并表达对即时回报的偏好。
综合起来,MDP 被表示为一个五元组 (S,A,P,R,γ),它既能描述环境的随机动态,也给出了代理人通过选择动作来影响状态演化和累积回报的数学框架。基于这个模型,我们既可以进行策略评估(在固定策略下归约为 MRP 计算值函数),也可以进行最优控制(通过策略迭代或价值迭代寻找最大化长期回报的最优策略)。

在求解一个给定 MDP 的最优策略时,最直观的做法是 枚举所有可能的确定性策略,计算它们各自的值函数,再挑出回报最高的那个。这种穷举方法虽然思路简单,但面临两个致命问题:
-
策略空间指数级增长
如果状态数为∣S∣,每个状态下可选动作数为∣A∣,那么所有可能的确定性映射数量就是。只要∣S∣或∣A∣略微增大,策略总数就会以天文数字暴涨,根本没法在有限时间或内存中逐一评估。
-
计算与存储开销巨大
即便硬件足够强大,单纯评估每个策略对应的长期折扣回报 Vπ也要花费大量时间。把它乘以指数级的策略数,就完全不现实。
相比之下,策略迭代(Policy Iteration) 则用到了动态规划的“评价–改进”循环,通常只需多次迭代,并且每一轮都能严格或不变地提升策略质量,并且在有限状态空间内保证最终收敛到最优策略。整体复杂度通常在多项式范围内,远比枚举所有策略高效得多。

在MDP中由于多了动作维度,所以相应的添加多了动作维度的Q函数定义:
其中第一项是立刻因为执行动作a而得到的即时奖励,第二项是“折扣后的、从下一个状态s′开始再按照策略π行动所能获得的未来回报”(也就是下一个状态的值函数)。由于后面是又回到了固定策略π,所以后面的部分又退化成前面MRP中的V函数定义。
所以我们的策略更新就分成了两步走:

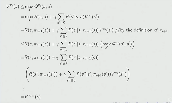
先计算每个动作的Q函数,然后在找到里面最大的作为下一个动作。需要注意这里与V函数之间的区别:当我们手上已经有了当前策略 πi对应的状态值函数Vπ(s)时,可以对“如果此刻在状态s强制执行一个不同的动作a,然后再回归到原策略 πi”这一情形做精确评估,这个Q值告诉我们“先选动作a再按πi”能拿到多少期望回报,从而可以直接在各动作之间比较,选出最优者。
我们可以首先证明这个迭代方法至少不比原来的差:

下一步证明每一步都有一个单调的改进:

同样的为了方便理解插一段GPT对此的解释:

3.Model-Free Policy Evaluation
由于前面的MRP和MDP都是对环境世界进行建模状态转移矩阵,如果我们并不知道环境从一个状态转移到另一个状态的概率是多少(大多数情况都不知道),那就需要通过采样来模拟环境世界的运行。
3.1Monte Carlo policy evaluation

蒙特卡洛估计的核心思想
-
“Value = mean return”:既然Vπ(s)就是回报的期望,那么最简单的做法是采样多条由π生成的、并且都能终止的完整轨迹,把它们从第一次出现s起的回报Gt全部算出来,然后求平均,就得到对Vπ(s)的蒙特卡洛估计
首次访问的版本具体实现如下:

同样的插入GPT的一段

同样的我们可以实现增量版的蒙特卡洛估计:

增量MC的精髓在于:把批量求平均转成在线、累积式的“旧值+步长×误差”更新。

缺点:
-
方差通常很高
-
因为一次更新要等到整个情节结束才计算回报,单条轨迹的Gt本身会累积很多随机误差;
-
要把均值的方差降下来,往往需要采集大量完整的情节样本——如果环境交互代价高、数据难以获取或出错成本大,MC 可能不切实际。
-
-
只能用在情节型(episodic)任务
-
MC 必须等到“情节结束”才能算出那条轨迹的Gt,才能进行更新;
-
对于没有明确终止条件的无限时域任务,就无法得到有限长度的回报样本,MC就无法应用。
-
3.2Temporal Difference
为了解决无法及时更新必须等到采样完毕的问题,于是TD他来了,我们开始逐渐变成PPO的模样。

我们看到在增量式蒙特卡洛中,之所以不能及时更新就是因为Gt的存在,我们需要一直采样到结尾才能给出完整的折扣奖励求和。而V函数本身就是对折扣奖励的期望,所以很自然的就会想到用下一时刻的V函数对Gt做进一步的近似,这样就能实现像动态规划那样迭代更新。


4.Policy Gradient
在我们对价值函数有了MC和TD两种方法估计之后,下一步我们就能更新我们的策略了。在做具体的更新之前,我们可以先对策略进行参数化,使用一个神经网络来拟合这个策略,所以根据价值函数更新策略的目标就转变为找到最佳参数去拟合最佳策略,也是后面PPO用到的的基础思想。
-
策略参数化
我们把原本“黑箱”的策略π(a∣s)用可微的参数向量θ映射成一个类函数πθ(s,a),从而把“找最优策略”变成“找最优参数”——也就是在参数空间里做更新优化。 -
需要一个性能度量
既然要“找最优”,就必须给每组参数θ定义一个分数,告诉我们这套策略“好不好”。这个分数通常就是在环境中执行策略πθ后所能获得的期望总回报,也就是前面说的价值函数,这就和前面的连在一起了。

由于要找的策略式最大化价值函数,所以这里使用梯度上升去寻找最大值,这就是完整的数学框架

下面是两种表示方法的对比:

由于我们这里主要讨论的是无环境模型的情况,所以只会讲解第二种。
下面就可以使用第二种表示方法来带入到前面的数学框架中:

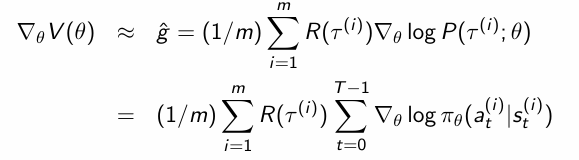
下一步就是通过求解梯度来更新参数,通过一些恒等变形得到初始梯度表达式:

进一步的我们先通过采样来得到前面部分的近似,然后展开做恒等变形:

插入一段GPT对于这段推导的解释:

而最后这里动作选择的方法又主要分为3种:Softmax,Gaussian,Neural networks。它描述的是“在状态s下以怎样的概率选择某个动作”,下面只放softmax这一种常用的,高斯分布在课程课件中也有提到,而神经网络是自动求导。

至此我们完成了梯度数学表达式的所有推导,下面是完整的梯度表示:

最后我们再在这个基础上加上时间和基线两步来减少方差:

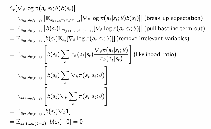
为了更近一步减少方差,我们可以引进一个基线:

这里的b函数只要满足不和参数θ相关即可,这里假设只和状态相关的一个函数。当然也可以不仅仅是和状态相关,并且保证估计依然是无偏的,在平均角度并没有改变梯度估计。
下面我们可以证明并不改变无偏性:
既然都不改变偏差,那我们选择什么作为基线呢,这里选择Q函数作为基线正好符合要求是奖励求和的期望,回顾一下Q函数的定义:

其实我们可以推导得出这里令为价值函数也是为了方差最小化的一个近似,会发现Q函数确实是一个很好的基线,值得注意的是GRPO中的主要改动就是改变了这里的基线:

终于我们得到了优势函数以及完整表达式:

最后我们可以引入TD的思路:由于Q函数是最纯粹的蒙特卡洛回报,理论上无偏但方差极大。
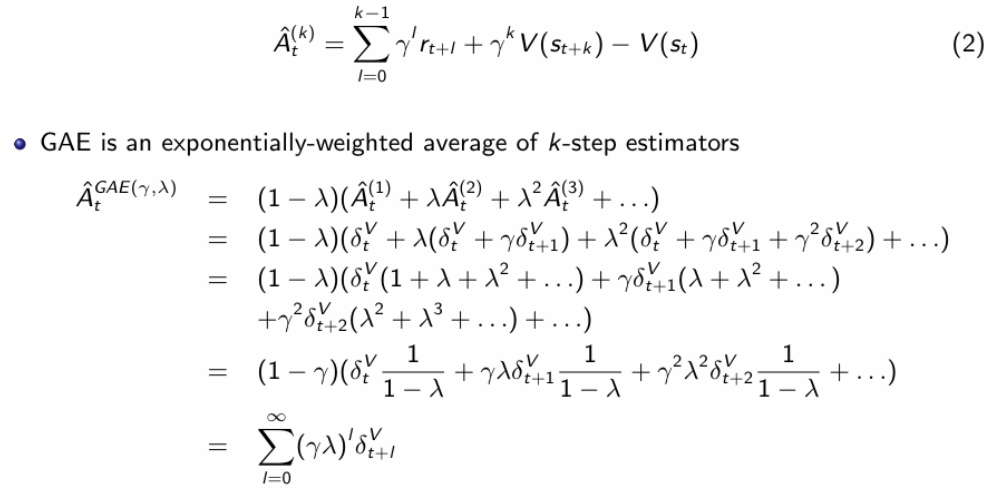
所以我们可以通过引入价值函数的迭代来降低方差,但是会带来一点偏差

四、PPO
我们可以注意到:当k越大时,估计偏差越小(更接近完整回报),但是方差越大;反之k越小就方差低而偏差高。PPO中的GAE 通过引入一个额外的 参数 λ∈[0,1],把所有k-步优势估计按指数衰减地混合起来:


PPO为了防止参数过度更新,还进行了CLIP和KL惩罚的两层保护,这里的CLIP就是限制在这个区间内的操作:

下面PPO在损失函数中进一步引入KL散度惩罚,KL散度就是衡量两个分布之间的差距:

终于我们得到了PPO的损失函数,在这篇文章中只是刚刚讲到PPO的数学公式,具体的RLHF实现流程以及DPO和GRPO等则会在下篇文章中具体讲解。
