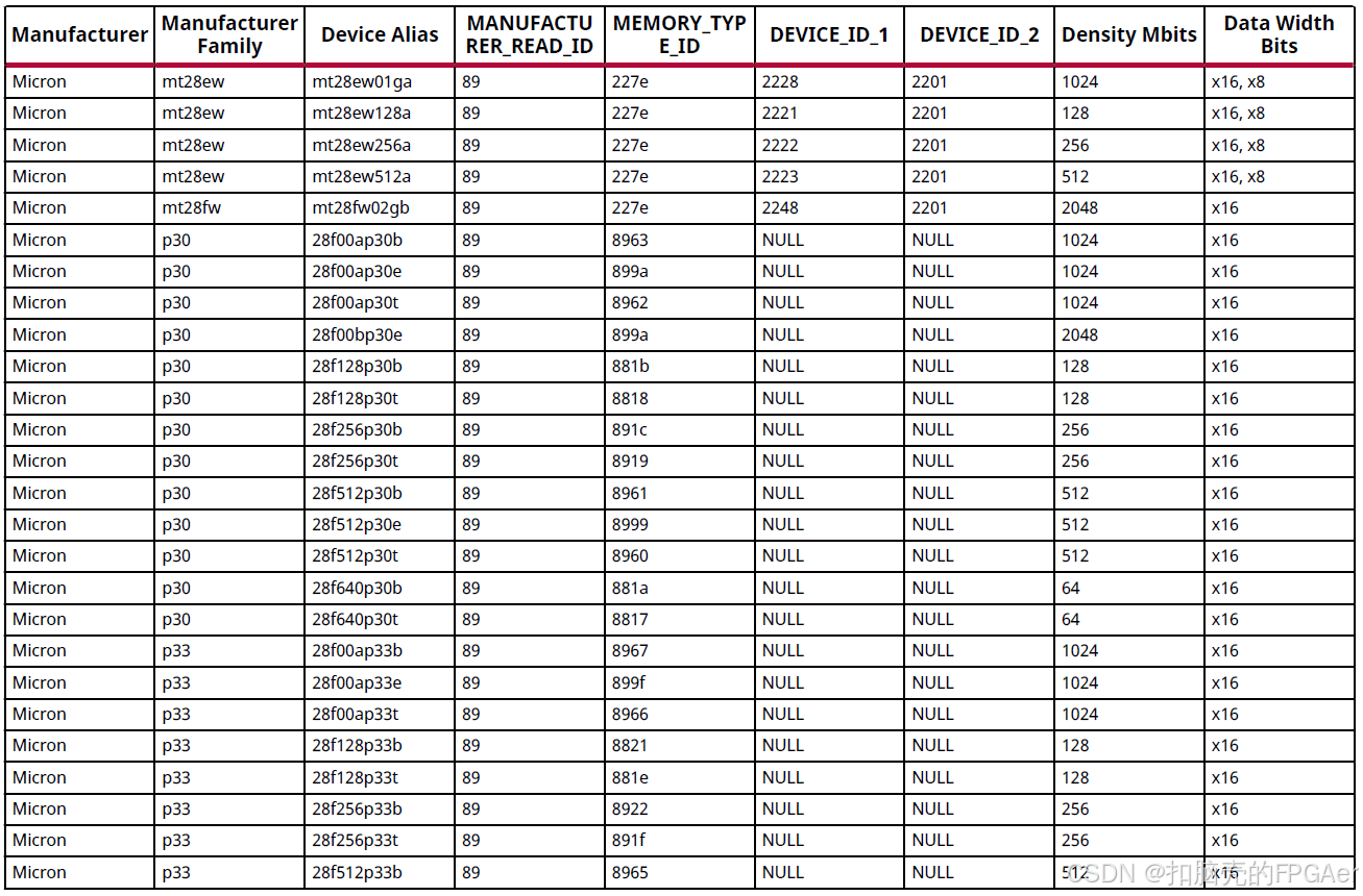
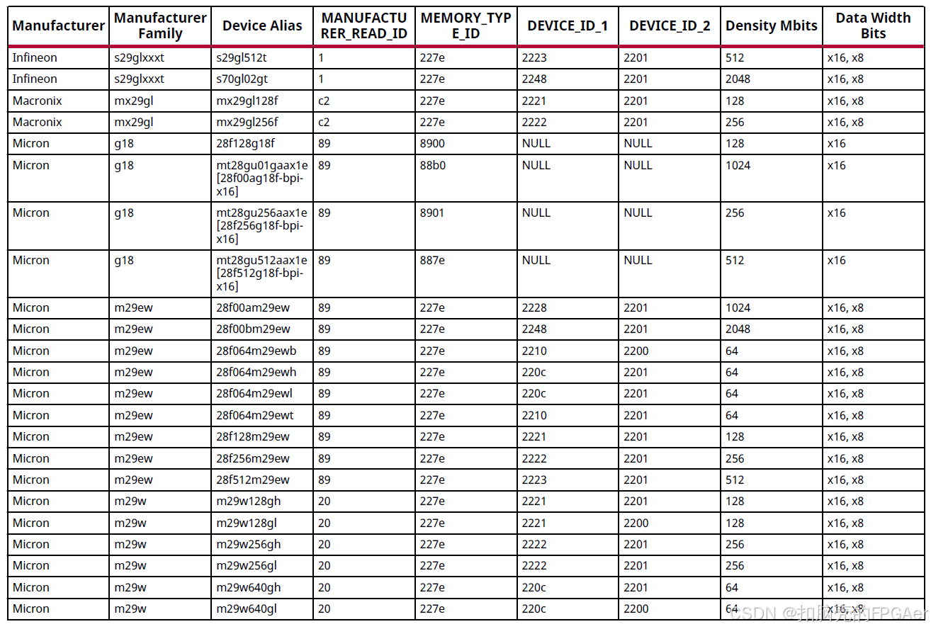
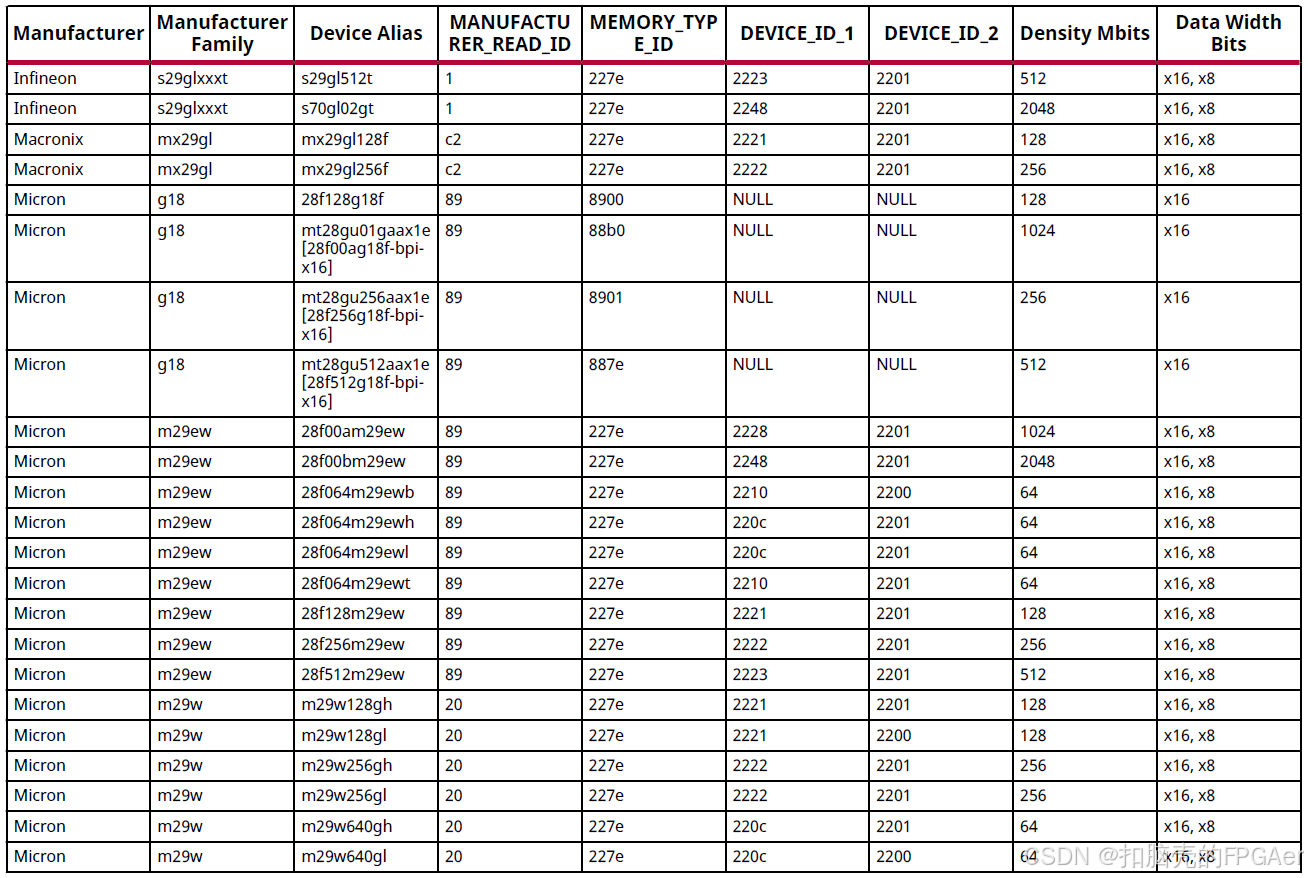
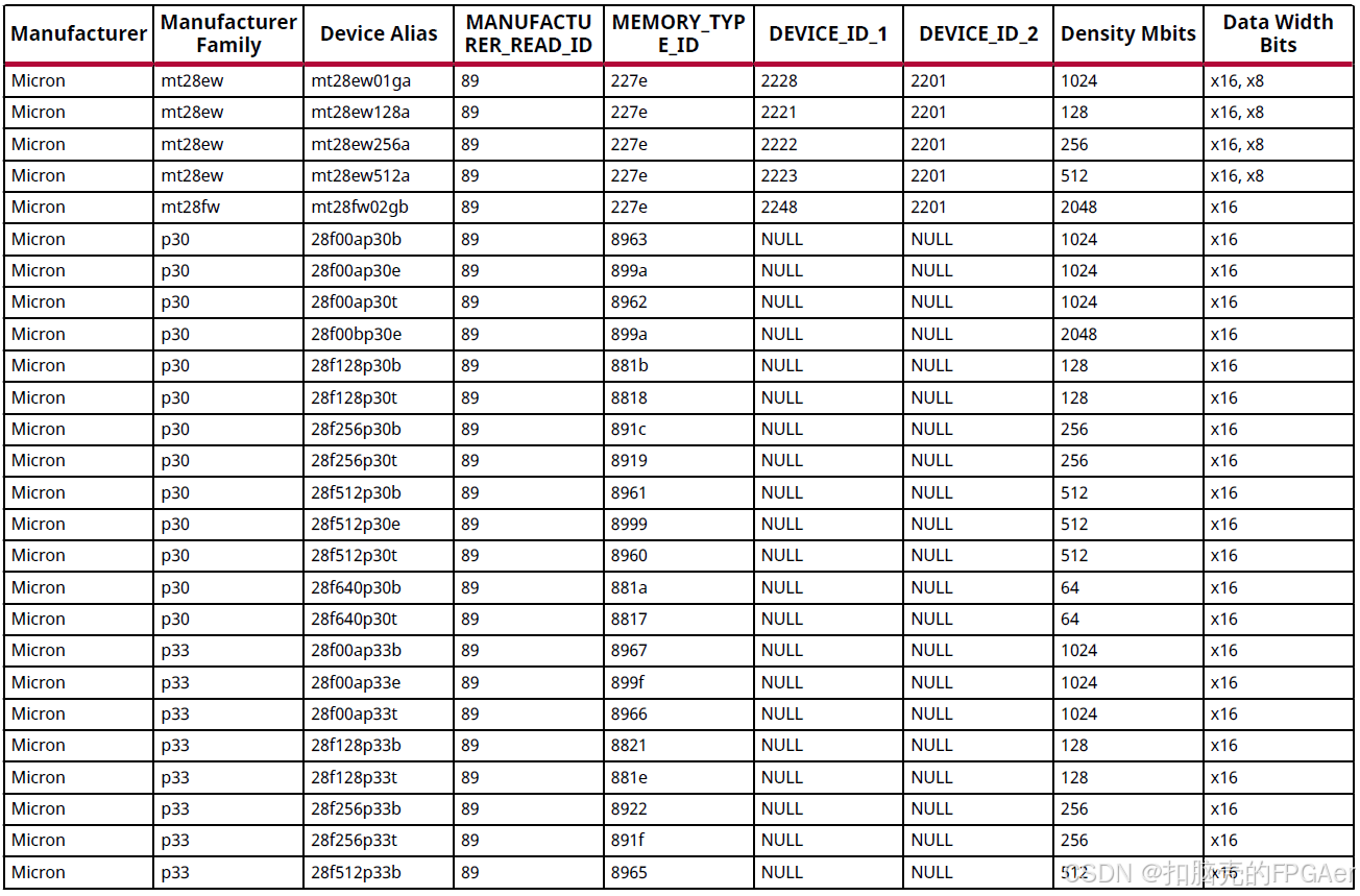
Xilinx FPGA支持的FLASH型号汇总
以博主这些年的FPGA开发使用经验来看,FPGA开发的主流还是以Xilinx FPGA为主,贸易战关税战打了这么多年,我们做研发的也不可避免的要涉及一些国产替代的工作;这里把Xilinx FPGA官方支持的各类(国产和非国产)FLASH做一下汇总,方便查询使用,内容均来源于Xilinx官方手册。
1 Artix 7
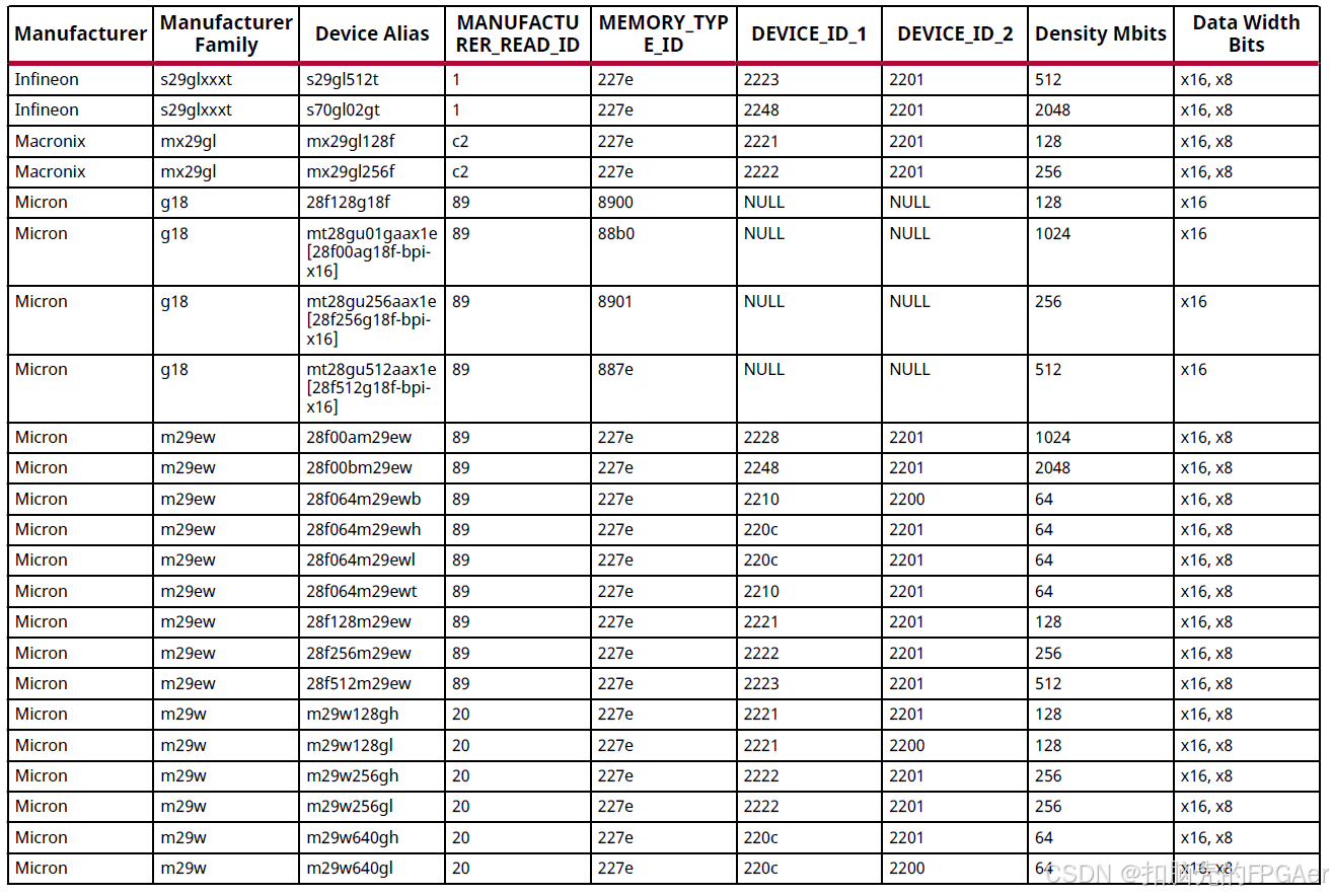
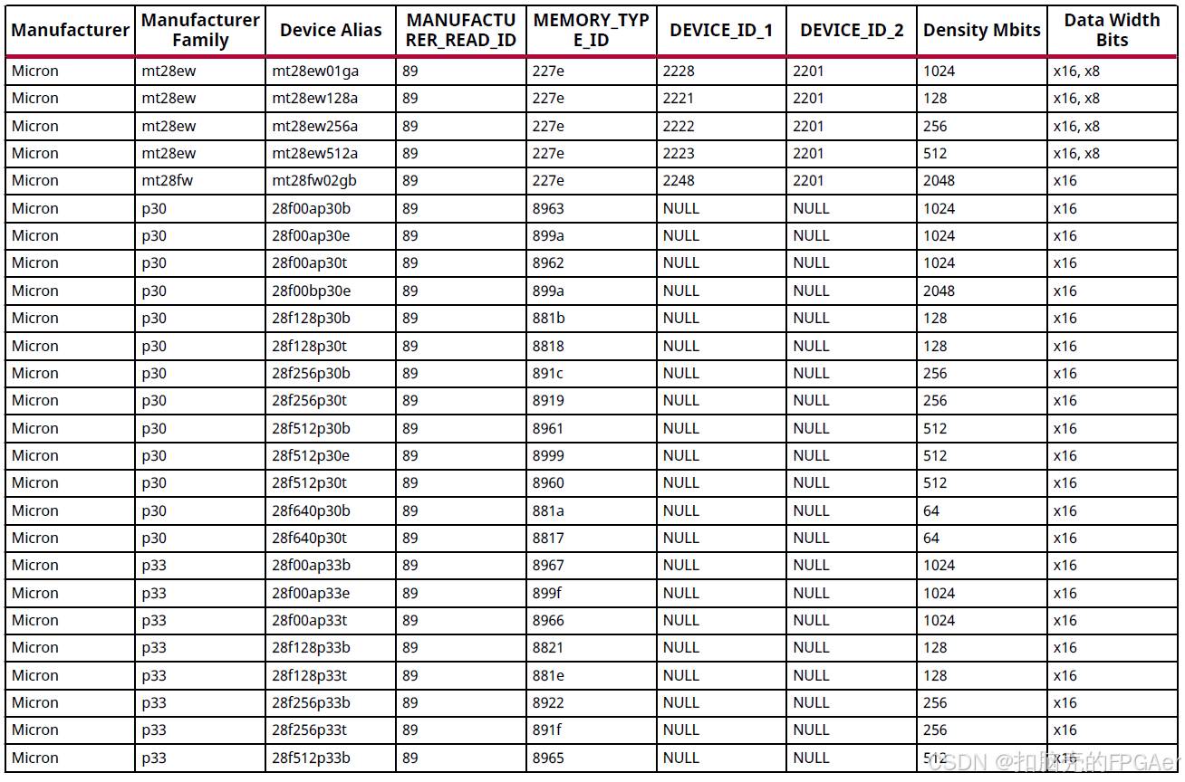
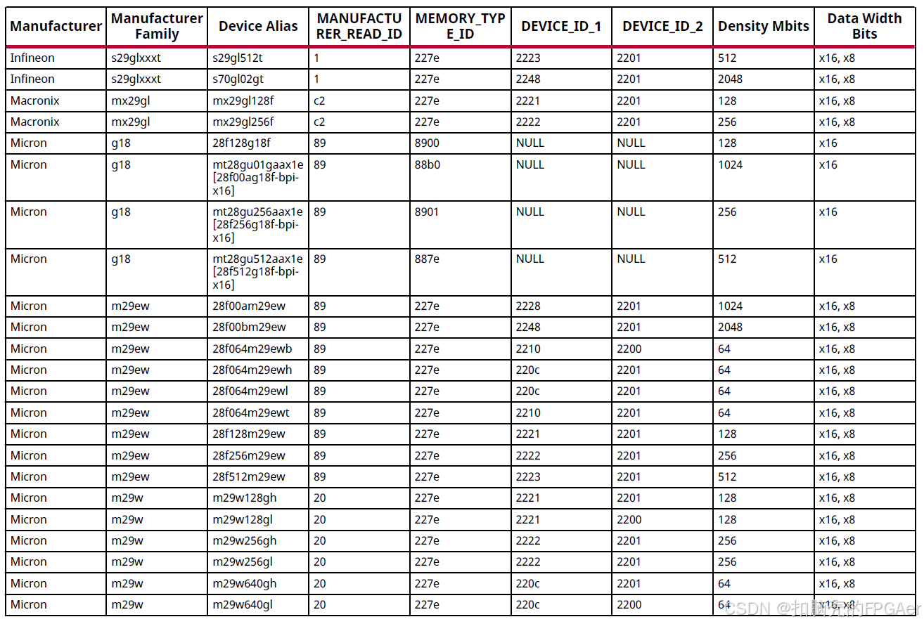
1.1 BPI接口FLASH




1.2 SPI接口FLASH





2 Kintex 7
2.1 BPI接口FLASH




2.2 SPI接口FLASH





3 Spartan 7
3.1 SPI接口FLASH





4 Virtex 7
4.1 BPI接口FLASH




4.2 SPI接口FLASH




5 Artix UltraScale+
5.1 BPI接口FLASH



5.2 SPI接口FLASH





6 Kintex UltraScale
6.1 BPI接口FLASH




6.2 SPI接口FLASH






7 Kintex UltraScale+
7.1 BPI接口FLASH



7.2 SPI接口FLASH





8 Virtex UltraScale
8.1 BPI接口FLASH




8.2 SPI接口FLASH






9 Virtex UltraScale+
9.1 BPI接口FLASH



9.2 SPI接口FLASH





10 Zynq 7000









11 Zynq UltraScale+ MPSoC










12 Zynq UltraScale+ RFSoC










13 Versal













GD FLASH





