硬件须知的基本问题1
目录
1. 电路表示中的电压源表示符号有哪些?
2.查找电路表示中的电流源表示符号有哪些?
3.上拉电阻和下拉电阻的作用是什么?
4.0 欧姆电阻在电路中有什么作用?
5.电容的耦合和谐振是什么意思?
6.阐述 AC220V 转 DC5V 过程,并且给出相应的典型电路。
7.求 R1 阻值?
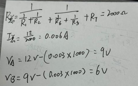
8.根据下面提供的图,计算图中标识的 A 、B 点的电压
9.查找电阻和电容的知名品牌有哪些?
10.请说明以下字母所代表的电容的精度: J 、 K 、 M 、 Z 。
11.如果某 CPU 有很多 IO 端口需要接上下拉电阻,电阻范围 1~10K 欧姆均可。以下规格的电阻,您会选择哪一种: 1K/1%、 4.99K/1% 、10K/1% 、 1K/5% 、 2.2K/5% 、4.7K/5% 、 8.2K/5% 、 10K/5% 、3.9K/10% 、 5.6K/10% 、 4.7K/20%?说明你选择该 电阻的理由。
12.请简述压敏电阻工作原理。
13.简述盘料上面的参数含义
1. 电路表示中的电压源表示符号有哪些?
(1)直流电压源符号(DC)
(2)交流电压源符号(AC)
2.查找电路表示中的电流源表示符号有哪些?

3.上拉电阻和下拉电阻的作用是什么?
上拉电阻通过电阻将不确定的信号连接到VCC电源,并将其固定在高电平。功能:向上拉动将电流注入器件;灌电流;当带有上拉电阻器的IO端口设置为输入状态时,其正常状态为高电平。IIC 时序起始必须是高电平
下拉电阻通过电阻将某个信号线连接到固定的低电平GND,以将其空闲状态保持在低电平。功能:下拉是从器件输出电源;拉电流。当带有下拉电阻的IO端口设置为输入状态时,其正常状态为低。 32启动低电平后续在拉高

4.0 欧姆电阻在电路中有什么作用?
0欧姆电阻在电路中主要用于作为连接跳线,便于电路设计和调整布局。它几乎不对电流产生阻碍,常用于在电路调试和测试时灵活改变信号路径,或者作为方便的“占位”元件。0欧姆电阻也能简化生产工艺,降低成本,使得设计更具灵活性。
5.电容的耦合和谐振是什么意思?
耦合 :电容器用于将交流信号从一个电路传递到另一个电路,同时隔离直流分量。它可以防止直流偏置的影响,且常用于信号传输和滤波。
谐振 :电容与电感的组合可以在特定频率下产生共振现象,使得电路的响应在该频率下最大。常用于LC电路、无线电和滤波器等领域。
6.阐述 AC220V 转 DC5V 过程,并且给出相应的典型电路。
降压:变压器(线圈比)
整流:半波整流、全波整流、桥式整流
滤波:滤波器
稳压:稳压二极管
滤波
典型电路概述:
变压器:将AC220V电压降至12V交流。
桥式整流:使用四个二极管将12V交流电转换为脉动直流电。
滤波器:使用电容(如1000μF)滤波平滑脉动直流电。
稳压二极管:使用一个5V稳压二极管将输出电压稳定至5V。
7.求 R1 阻值?

设 VCC_IN=5V,LED1 为红色发光二极管,额定电流为 20mA,压降为 2V,求 R1 的电阻阻值最少设计为多少?

8.根据下面提供的图,计算图中标识的 A 、B 点的电压




9.查找电阻和电容的知名品牌有哪些?
电阻品牌:Vishay(威世)Yageo(国巨)Panasonic(松下)Rohm(罗姆)TT Electronics(泰泰电子)
电容品牌:Murata(村田制作所)Panasonic(松下)KEMET(凯美特)Rubycon(鲁比康)Nichicon(尼吉康)Vishay(威世)
10.请说明以下字母所代表的电容的精度: J 、 K 、 M 、 Z 。
J:±5%
K:±10%
M:±20%
Z:+80% / -20%
11.如果某 CPU 有很多 IO 端口需要接上下拉电阻,电阻范围 1~10K 欧姆均可。以下规格的电阻,您会选择哪一种: 1K/1%、 4.99K/1% 、10K/1% 、 1K/5% 、 2.2K/5% 、4.7K/5% 、 8.2K/5% 、 10K/5% 、3.9K/10% 、 5.6K/10% 、 4.7K/20%?说明你选择该 电阻的理由。
4.7KΩ/5% 电阻
电阻范围要求在 1K~10KΩ之间,4.7KΩ 处于该范围的中间值,适合大多数 I/O 端口的上下拉电阻需求。通常来说,4.7KΩ 是一种比较常见的标准值,既能保证信号稳定,也能确保功耗合适。
5%的容差相比其他较大的容差(如 10% 或 20%)具有更好的精度。尽管 5% 容差在电阻的选择中不是非常精细,但已经能提供较为稳定的上下拉电阻性能,且成本较为适中。例如,若选择 3.9KΩ/10% 电阻,虽然其值靠近 4.7KΩ,但容差较大,可能会导致电阻的实际值与预期有所偏差,从而影响到电路的性能。
选择过高的电阻(如 10KΩ/1% 或 8.2KΩ/5%)可能导致电路的上拉或下拉效果不理想,信号响应过慢或者易受噪声干扰。
选择过低的电阻(如 1KΩ/1%)虽然可以提供更强的上下拉效果,但功耗相对较大,也会对信号产生过强的干扰,尤其是在低电压环境下可能对系统带来不必要的负载。
12.请简述压敏电阻工作原理。
压敏电阻(Varistor,或称压敏电阻器)的工作原理是基于其电阻值随外加电压变化的特性。具体来说,压敏电阻的电阻值与施加在其上的电压成反比,电压越高,电阻值越低;当电压低时,电阻值较高。
13.简述盘料上面的参数含义

1.**T000603X7R104K500CT**:
- **T000603**:内部型号或批次编码,用于标识产品型号。
- **X7R**:电容器介质材料,温度特性为 ±15%(-55℃至+125℃范围内电容值变化不超过±15%)。
- **104**:电容值为10*10^4pf = 100nf。
- **K**:容差为 ±10%。
- **500**:额定电压为 500V。
- **CT**:包装或端子类型标识(如卷带封装)。
2. **Lot. No. 71F460048A**:生产批号,用于追溯产品生产信息。
3. **OTY. 4000 pcs**:订单数量为 4000 件(pcs 为 pieces 缩写)。
4. **CCTC**:可能是制造商代码或认证标识(如中国检验认证集团缩写)。
5. **RoHS**:符合欧盟《有害物质限制指令》,产品不含铅、汞等有害物质。
6. **0046**:可能为生产日期代码(如 2020 年第 46 周)或内部序列号。

**参数解释如下**:
1. **CHIP RESISTOR**:
表示该元件为 **贴片电阻**。
2. **RESISTANCE: 10KΩ ±1%**:
- **10KΩ**:标称电阻值为 **10千欧姆**。
- **±1%**:电阻容差为 **±1%**(实际阻值与标称值偏差不超过1%)。
3. **SIZE: 0805**:
- 贴片电阻的封装尺寸代码,对应 **公制尺寸 2.0mm × 1.25mm**(英制尺寸为 0.08英寸 × 0.05英寸)。
4. **WATTAGE: 1/8W**(原文“WATAGE”应为拼写错误):
- 额定功率为 **1/8瓦特(0.125W)**,表示电阻可安全承受的最大功率。
5. **QUANTITY: 5000 PCS**:
- 订单数量为 **5000件**(PCS为“pieces”缩写)。
6. **LOT NO: 2403800314**:
- 生产批号,用于追踪生产批次和质量信息。
