神经网络与深度学习第四章-前馈神经网络
前馈神经网络
在本章中,我们主要关注采用误差反向传播来进行学习的神经网络。
4.1 神经元
神经元是构成神经网络的基本单元。主要是模拟生物神经元的结构和特性,接收一组输入信号并产生输出。
现代神经元中的激活函数通常要求是连续可导的函数。

净输入代表了输入信号对神经元的总和刺激强度,是激活函数的输入值。 净输入可以:①决定神经是否激活;②反映输入信号的整合效果。

激活函数。为了增强网络的表示能力和学习能力,激活函数需要具备以下几点性质:
(1)连续且可导(允许在少数点上不可导)的非线性函数。可导的激活函数可以直接利用数值优化的方法(比如梯度下降法)来学习网络参数。
(2)激活函数及其导函数尽可能简单,可以提高网络计算效率。
(3)激活函数的导函数的值域要在一个合适的区间内,否则会影响训练的效率和稳定性。

4.1.1 Sigmoid型函数
Sigmoid型函数是指一类S型曲线函数,是两端饱和函数。常用的该类型函数是Logistic函数和Tanh函数。
对于函数
f(x),若x -> 负无穷时,其导函数f'(x)->0,则称其为左饱和;若x -> 正无穷时,其导函数f'(x)->0,则称其为右饱和;当同时满足左右饱和时,称为两端饱和。

Logistic函数类似于一个“挤压”函数,把一个实数域的输入“挤压”导(0,1)。
当输入值在0附近时,Sigmoid型函数近似于线性函数;
当输入值靠近两端时,对输入进行抑制。输入越小,越接近于0;输入越大,越接近于1.

和感知器使用的阶跃激活函数相比,Logistic函数是连续可导的,数学性质更好。
所以装备了Logistic激活函数的神经元具有以下性质:
①其输出直接看作改良版分布,使得神经网络可以更好统计和学习模型进行结合;
②其可以看作一个软性门,用来控制其他神经网络输出信息的数量。


对比两个函数的形状,Tanh函数的输出是零中心化的,但是Logistic函数的输出恒大于0,非零中心化的输出会使得其后一层的神经元的输入发生偏置偏移,进一步使得梯度下降的收敛速度变慢。
零中心化:函数输出值的均值为0(即对称于原点)。Tanh函数的输出范围是(-1,1)。均值为0;
4.1.1.1 Hard-Logistic函数和Hard-Tanh函数
Logistic函数和Tanh函数计算开销大。因为这两个函数在0附近 近似线性,两端饱和。所以,这两个函数可以通过分段函数来近似。




4.1.2 ReLU函数
ReLU(修正线性单元),是目前神经网络中经常使用的激活函数。实际上是一个斜坡函数。
定义为:

优点:
①计算高效:采用ReLU的神经元是需要进行加、乘、比较的操作;
②该函数具有生物学合理性,有单侧抑制,宽兴奋边界。
Sigmoid型激活哈桑农户会导致一个非稀疏的神经网络,但是ReLU却具有很好的稀疏性,大约50%的神经元会处于激活状态。
③ReLu函数是左饱和函数,当x > 0 时导数为1,在一定程度上缓解了神经网络的梯度消失问题,加速下降的收敛速度。
缺点:
①ReLU函数的输出是非零中心化的,给后一层的神经网络引入偏置偏移,影响下降的效率。
②ReLU神经元在训练时容易死亡。在训练时,若参数在一次不恰当的更新后,第一个隐藏层中的某个ReLu神经元在所有的训练数据上都不能被激活,会使得该神经元自身参数的梯度永远时0,在以后的训练中也永远不能被激活。这种现象是死亡ReLU问题,也可能发生在其他隐藏层。
4.1.2.1 带泄露的ReLU
带泄露的ReLU 在输入x < 0 时,保持一个很小的梯度。这样当神经元非激活时也能有一个非零的梯度可以更新参数,避免永远不能被激活。
传统的ReLU问题:当输入为负时,梯度为0,导致神经元可能永久死亡。LeakyReLU可以解决这个问题。



4.1.2.2 带参数的ReLU
带参数的ReLU引入一个可学习的参数。不同神经元可有不同参数。

其中α是x <= 0 时函数的斜率。因此,PReLU时非饱和函数,若α = 0,则PReLU会退化为ReLu。若α是一个很小的常数,则PReLU可以看作是带泄露的ReLU。

4.1.2.3 ELU函数
ELU(指数线性单元),是一个近似的零中心化的非线性函数。

4.1.2.4 Softplus函数
Softplus函数可以看作是ReLU的平滑版本。

Softplus函数其导数刚好是Logistic函数。没有稀疏激活性。
下面是ReLU、Leaky ReLU、ELU、Softplus 的形状对比

下面是ReLU、Leaky ReLU、ELU、Softplus 的梯度对比

4.1.3 Swish函数
Swish函数是一种自门控激活函数。

当σ(βx)接近于1时,门处于“开”状态,激活函数的输出近似于x本身。当σ(βx)接近于0时,门的状态为“关”,激活函数的输出近似于0;

当β = 0时,Swish函数变成线性函数。当β = 1时,Swish函数在x > 0时近似线性,在x < 0 时近似饱和,同时具有一定的非单调性。当β -> 正无穷时,σ(βx) 趋向于离散的0-1函数,Swish函数近似于ReLU函数。因此,Swish函数可以看作线性函数和ReLU函数之间的非线性插值函数,其程度由参数β控制。
4.1.4 GELU函数
GELU(高斯误差线性单元)是一种通过门控机制来调整其输出值的激活函数,和Swish函数类似。
其核心思想是将输入 x 与高斯分布的累积分布函数(CDF)结合。公式为:


特点:
①通过输入值 x 在高斯分布中的概率来“门控”输出,实现非线性变换。
②高斯分布的CDF是S型函数,因此GELU具有平滑的非线性特性。
由于高斯分布的累积分布函数为S型函数,所以,GELU函数可以用Tanh函数或Logistic函数近似。

3. 与Swish函数的关系
Swish函数定义为 Swish(x)=xσ(βx),其中 β 是可学习参数。
当GELU用Sigmoid近似且系数 β=1.702 时,两者形式一致。因此,GELU是Swish的一种特殊情形。
4.与其他激活函数的对比
ReLU:GELU在负值区域非零,允许少量负值信息通过,避免“死神经元”。
Swish:GELU的理论基础更明确(基于高斯分布),而Swish更通用(参数可调)。

4.1.5 Maxout单元
Maxout 单元是一种分段线性激活函数
其核心特点是:
输入为向量:不同于传统激活函数(如 ReLU、Sigmoid)接收标量输入,Maxout 的输入是上一层神经元的全部原始输出向量
x=[x 1,x 2,…,x D]。
多组线性变换:通过 K 组独立的权重向量 w k 和偏置 b k,生成 K 个候选线性输出 z k。
取最大值输出:最终输出是这 K 个候选值中的最大值,即 maxout(x)=max(z 1 ,z 2,…,z K )。

4.2 网络结构
人工神经网络主要由大量得神经元以及它们之间得有向连接构成。因此考虑三方面:
①神经元得激活规则:
主要是指神经元输入到输出之间的映射关系,一般为非线性连接。
②网络的拓扑结构:
不同神经元之间的连接关系
③学习算法:
通过训练数据来学习神经网络的参数。
目前常用的网络结构有三种:
4.2.1 前馈网络
前馈网络中各个神经元按接受信息的先后分为不同的组。每一组都可以看成是一个神经层。每一层中的神经元接收前一层神经元的输出,并输出到下一层神经元。
整个网络中的信息是朝一个方向传播。并且前馈网络是无反馈连接:数据从输入层逐层传递到输出层,没有环路或反向传播路径(区别于循环神经网络RNN)。
2. 典型结构
①全连接前馈网络(Fully Connected Feedforward Network):
每一层的神经元与下一层的所有神经元相连。
例如:多层感知机(MLP)。
②卷积神经网络(CNN):
通过局部连接(卷积核)和权值共享减少参数,适合处理网格数据(如图像)。

4.2.2 记忆网络
1.核心定义
记忆网络(也称反馈网络)是一类具有记忆功能的神经网络,其特点是:
①动态状态:神经元可接收自身或其他神经元的历史信息,状态随时间变化。
②循环结构:信息传播可以是单向循环(如RNN)或双向交互(如玻尔兹曼机),结构上表现为有向循环图或无向图。
③外部记忆扩展:通过引入外部存储单元(如神经图灵机),显式增强网络的记忆容量。
2.典型模型
| 模型名称 | 特点 |
|---|---|
| ①循环神经网络(RNN) | 通过隐藏状态传递历史信息,适合处理时序数据(如文本、语音)。 |
| ②Hopfield网络 | 能量模型,通过无向连接实现联想记忆,用于优化和模式恢复。 |
| ③玻尔兹曼机(BM) | 概率生成模型,含隐藏层和可见层,通过随机采样学习分布。 |
| ④受限玻尔兹曼机(RBM) | 概率生成模型,含隐藏层和可见层,通过随机采样学习分布。 |
| ⑤神经图灵机(NTM) | 引入外部记忆矩阵和读写头,模拟计算机的存储机制。 |
4.2.3 图网络
1.核心定义
图网络是专门处理图结构数据的神经网络,其特点包括:
①输入形式:数据以图(Graph)形式表示,包含节点(Nodes)、边(Edges)和全局属性。
②泛化能力:是前馈网络和记忆网络的泛化,可处理非欧几里得数据(如社交网络、分子结构)。
③信息传递机制:节点通过聚合邻居信息更新自身状态(消息传递)。
2.典型模型
| 模型名称 | 核心机制 |
|---|---|
| ①图卷积网络(GCN) | 通过邻接矩阵归一化聚合邻居信息 |
| ②图注意力网络(GAT) | 引入注意力机制,动态学习邻居节点的重要性权重 |
| ③消息传递神经网络(MPNN) | 通用框架,分“消息传递”和“状态更新”两步 |

神经网络是一种连接主义模型,也就是PDP(Parallel Distributed Processing)模型(PDP(并行分布式处理)模型是连接主义道德一种实现形式)。
它具有以下关键特征:
- 信息表示的分布式特性
分布式存储:信息不是局部存储在单个单元中,而是分散在整个网络的连接权重模式中
叠加存储:同一组神经元可以同时存储多个记忆或模式
内容寻址:可以通过部分信息恢复完整模式(联想记忆)
- 并行处理机制
大规模并行性:所有处理单元同时进行计算
集体计算:结果由大量简单单元的协同活动决定
非线性交互:单元间通过非线性函数相互作用
- 连接权重的重要性
知识存储在连接中:系统的"知识"体现在单元间的连接权重上
可塑性:连接权重可通过学习调整(如Hebbian学习规则)
适应性:系统能通过调整权重适应新任务
- 处理单元的特性
简单处理单元:每个单元只执行简单计算(如加权求和+激活函数)
非符号性:单元活动不直接对应符号或概念
数值性:信息表示为连续的激活值而非离散符号
与符号主义的对比
| 特性 | PDP/连接主义模型 | 符号主义模型 |
|---|---|---|
| 信息表示 | 分布式(连接权重模式) | 局部(离散符号) |
| 处理方式 | 并行 | 串行 |
| 知识存储 | 隐式(难以解释) | 显式(可解释) |
| 学习方式 | 参数自动调整 | 规则手工编码 |
| 容错性 | 强 | 弱 |
4.3 前馈神经网络(全连接神经网络,多层感知器)
- 各神经元分别属于不同层,层内无连接
- 相邻两层间的神经元全部两两连接
- 整个网络中无反馈,信号从输入层向输出层单向传播,可用有向无环图表示。


注意: ①神经网络的层数一般不包括输入层,只计算隐藏层和输出层。
②神经网络的层数、第l层神经元的个数、第l层神经元的激活函数这些都是超参数。

注意: ①第一个公式地本质是仿射变换。
对于向量空间中的点 x ∈ ℝⁿ,仿射变换可表示为:T(x) = Wx + b
仿射变换 是线性变换的扩展,由线性变换和平移变换组合而成
前馈计算:

4.3.1 通用近似定理
(理论不做过多解释)
结论:
**通用近似定理说明了:**神经网络的计算能力可以去近似一个给定的连续函数
4.3.2 应用到机器学习

4.3.4 参数学习
1.交叉熵损失函数:ℒ(y, ŷ) = -yᵀlog(ŷ)
- y:one-hot编码的真实标签(如[0,1,0]表示第二类)
- ŷ:模型预测的概率分布(如[0.1,0.7,0.2])
- 物理意义:当预测概率ŷ与真实标签y差距越大,损失值越高
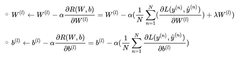
2.结构化风险函数:ℛ(W,b) = (1/N)∑ℒ(y⁽ⁿ⁾,ŷ⁽ⁿ⁾) + (1/2)λ‖W‖²_F(学习准则)
- 第一项:所有样本的平均交叉熵损失
- 第二项:L2正则化(权重衰减),控制模型复杂度
- λ:调节正则化强度的超参数(λ越大惩罚越重)

3.网络参数通过梯度下降法进行学习,每次迭代中,第 l 层 的参数更新方式:

α是学习率。使用反向传播算法来高效地计算梯度。
一种更通用的计算梯度算法是:自动微分
4.4 反向传播算法

分母布局是列向量,分子布局是行向量。
用随机梯度下降法进行参数学习,需要计算损失函数关于每个参数的梯度

上面的公式将利用链式法则进行展开。
链式法则:

- 情况1:向量对标量的链式求导
- 情况2:向量对向量的链式求导
- 情况3:标量对矩阵的求导
根据上面偏导数的公式,得到求3个偏导数式子即可。

在这个式子中,z是列向量,w(ij)是标量,所以求导结果是一个行向量。只有z(i)对w(ij)的求导不为0,是因为
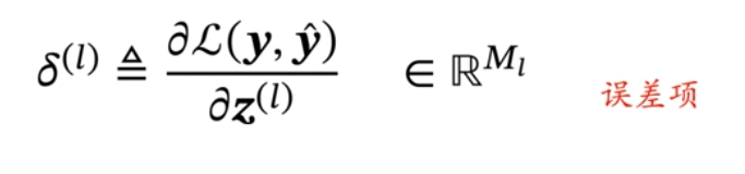
第二个偏导数:(反向传播)




**fl(.)**是按位函数

第三个偏导数:

使用误差反向传播算法的前馈神经网络训练过程有以下步骤:
①前馈计算每一层的净输入和激活值,直到最后一层;
②反向传播计算每一层的误差项。(就是求第2个偏导数);
③最后计算每一层参数的偏导数,并更新参数(就是求第1个和第3个偏导数,之后再按照4.3.3 参数学习里面的第3部分进行参数更新)。
按照上面的式子,代入到损失函数关于每个参数的梯度的式子中,得到:


4.5 计算图和自动微分
(其实还有数值微分和符号微分,这里不再写,大家可以自行了解)
1.自动微分是一种可以对一个(程序)函数进行计算导数的方法
- 处理的对象是一个函数或一段程序
- 是目前大多数深度学习框架的首选
- 基本原理:所有的数值计算可以分解为一些基本操作,包括 + 、-、*、/ 和一些初等函数 exp、log、sin、cos等,并构成一个计算图,然后用链式法则来自动计算一个复合函数的梯度
- 无需事先编译,在程序运行阶段边计算边记录计算图,计算图上的局部梯度都直接代入数值进行计算,然后用前向模式或反向模式计算最终的梯度。

2.自动微分分为:
- 前向模式:按计算图中计算方向的相同方向来递归地计算梯度
- 反向模式:按计算图中计算方向的相反方向来递归地计算梯度
- 反向模式和反向传播的计算梯度的方式相同。


3.为什么神经网络选择反向模式?
- 输出为标量:损失函数 R 的输出维度 M = 1,反向模式仅需 1次计算。
- 参数规模大:输入维度 N(参数量)极大,前向模式需要 N 次计算,效率极低。
- 链式法则优化:反向传播利用动态规划思想,避免重复计算中间变量的梯度。
(上面的两张图就是解释这个问题的)
如果函数和参数之间有多条路径,可以将这多条路径上的导数再进行相加,得到最终的梯度。
4.反向传播算法(自动微分的反向模式)
前馈神经网络的训练过程可以分为以下3步:
①前向计算每一层的状态和激活值,直到最后一层;
②反向计算每一层的参数和偏导数;
③更新参数。(其实跟4.4 反向传播算法里面介绍的是一样的,只不过是用这里提到的前向计算和反向计算再表述一遍)
5.计算图按构建方式可分为:
①静态计算图:在编译时构建计算图,构建好后在程序运行时不能改变
特性:构建时可以进行优化,并行能力强,但灵活性比较差
实例:Tensorflow
②动态计算图:在程序运行时动态构建
特性:不容易优化,难以并行计算,但灵活性比较高
实例:Pytorch、Tensorflow 2.0
6.Keras使用展示
展示如何使用Keras(一个高级神经网络API)在30秒内快速构建并训练一个简单的全连接神经网络。
from keras.models import Sequential
from keras.layers import Dense, Activation
from keras.optimizers import SGD
#1.导入必要的模块.Sequential: 线性堆叠模型,用于构建层与层之间简单连接的神经网络;Dense: 全连接层;Activation: 激活函数层;SGD: 随机梯度下降优化器
model = Sequential()
#2.创建一个空的顺序模型,后续可以逐层添加网络结构
model.add(Dense(output_dim=64, input_dim=100))
model.add(Activation("relu"))
model.add(Dense(output_dim=40))
model.add(Activation("softmax"))
#3.构建了一个两层的全连接神经网络:
#第一层:输入维度: 100 (input_dim=100);输出维度: 64 (output_dim=64);使用ReLU激活函数
#第二层:输出维度: 40 (自动继承上一层的64作为输入);使用Softmax激活函数(适用于多分类问题)
model.compile(loss='categorical_crossentropy', optimizer='sgd', metrics=['accuracy'])
#4.编译模型
#配置模型的学习过程:loss: 使用分类交叉熵损失函数(适用于多分类问题);optimizer: 使用随机梯度下降(SGD)优化器 ;metrics: 在训练过程中监控准确率(accuracy)
model.fit(X_train, Y_train, nb_epoch=5, batch_size=32)
#5.训练模型
#X_train: 训练数据特征 ;Y_train: 训练数据标签 ;nb_epoch=5: 训练5个完整周期(整个数据集迭代5次);batch_size=32: 每次梯度更新使用32个样本
loss = model.evaluate(X_test, Y_test, batch_size=32)
#6.评估模型
4.6 优化问题
神经网络的参数学习比线性模型要更加困难,主要原因有两点:
①非凸优化问题
②梯度消失问题
4.6.1 非凸优化问题
神经网络的优化问题是一个非凸优化问题
以下面最简单的两层

(可视化这里的代码优点问题,跑出来的图不太对…)

上述可视化结果分析
-
平方误差损失曲面特征:
①存在多个局部极小点
②损失曲面较为"平缓"
③梯度变化相对均匀 -
交叉熵损失曲面特征:
①同样存在多个局部极小点
②在y接近0的区域梯度变化剧烈
③整体形状更为"陡峭"
4.6.2 梯度消失问题/梯度弥散问题

**减轻梯度消失问题的方法:**使用导数比较大的激活函数,eg. ReLU
4.7 总结

