高等数学第三章---微分中值定理与导数的应用(3.1微分中值定理3.2洛必达法则)
§3.1 微分中值定理
一、罗尔(Rolle)中值定理
1. 费马(Fermat)引理
定义:
设函数 y = f ( x ) y = f(x) y=f(x) 满足以下条件:
- 在点 x 0 x_0 x0 的某邻域 U ( x 0 ) U(x_0) U(x0) 内有定义;
- 在点 x 0 x_0 x0 处可导;
- 对任意 x ∈ U ( x 0 ) x \in U(x_0) x∈U(x0),有 f ( x ) ≤ f ( x 0 ) f(x) \leq f(x_0) f(x)≤f(x0)(或 f ( x ) ≥ f ( x 0 ) f(x) \geq f(x_0) f(x)≥f(x0))。
结论:
则 f ′ ( x 0 ) = 0 f'(x_0) = 0 f′(x0)=0。
几何意义:
可导函数在极值点处的切线平行于x轴。
证明: 由 ∀ x ∈ U ( x 0 ) \forall x\in U(x_0) ∀x∈U(x0), f ( x ) ≤ f ( x 0 ) f(x)\leq f(x_0) f(x)≤f(x0)知,当 x < x 0 x < x_0 x<x0时,有
f ( x ) − f ( x 0 ) x − x 0 ≥ 0 ⇒ lim x → x 0 − f ( x ) − f ( x 0 ) x − x 0 = f − ′ ( x 0 ) ≥ 0 , \frac{f(x)-f(x_0)}{x - x_0}\geq0\Rightarrow\lim_{x\rightarrow x_0^-}\frac{f(x)-f(x_0)}{x - x_0}=f'_-(x_0)\geq0, x−x0f(x)−f(x0)≥0⇒x→x0−limx−x0f(x)−f(x0)=f−′(x0)≥0,
当 x > x 0 x > x_0 x>x0时,有
f ( x ) − f ( x 0 ) x − x 0 ≤ 0 ⇒ lim x → x 0 + f ( x ) − f ( x 0 ) x − x 0 = f + ′ ( x 0 ) ≤ 0 , \frac{f(x)-f(x_0)}{x - x_0}\leq0\Rightarrow\lim_{x\rightarrow x_0^+}\frac{f(x)-f(x_0)}{x - x_0}=f'_+(x_0)\leq0, x−x0f(x)−f(x0)≤0⇒x→x0+limx−x0f(x)−f(x0)=f+′(x0)≤0,
又 y = f ( x ) y = f(x) y=f(x)在 x 0 x_0 x0处可导,所以, f ′ ( x 0 ) = 0 f'(x_0)=0 f′(x0)=0。
注:若 f ′ ( x 0 ) = 0 f'(x_0)=0 f′(x0)=0,则 x 0 x_0 x0称为驻点(稳定点,临界点)。
2. 罗尔(Rolle)中值定理
条件:
若函数 f ( x ) f(x) f(x) 满足:
- 在闭区间 [ a , b ] [a,b] [a,b] 上连续;
- 在开区间 ( a , b ) (a,b) (a,b) 内可导;
- f ( a ) = f ( b ) f(a) = f(b) f(a)=f(b)。
结论:
至少存在一点 ξ ∈ ( a , b ) \xi \in (a,b) ξ∈(a,b),使得 f ′ ( ξ ) = 0 f'(\xi) = 0 f′(ξ)=0。
几何意义:
连续可导且两端点函数值相等的曲线,至少存在一条水平切线。
几何分析:

由已知条件知,在 ( a , b ) (a,b) (a,b)内图像的高峰和低谷处有切线,且切线是平行于 x x x轴的,即该点处的导数一定等于 0 0 0.
证明:由于 f ( x ) f(x) f(x)在 [ a , b ] [a,b] [a,b]上连续知,函数 f ( x ) f(x) f(x)在 [ a , b ] [a,b] [a,b]存在最大值 M M M和最小值 m m m(闭区间上连续函数的性质)。
(1) 若 M = m M = m M=m,即 f ( x ) f(x) f(x)是一常量函数,因此满足 f ′ ( x ) = 0 f'(x)=0 f′(x)=0,结论成立。
若 M ≠ m M\neq m M=m,又 f ( a ) = f ( b ) f(a)=f(b) f(a)=f(b)知,最大值 M M M和最小值 m m m不能同时在端点处取得,即 M M M和 m m m中至少有一个在 ( a , b ) (a,b) (a,b)内取得,不妨设 M M M在 ( a , b ) (a,b) (a,b)内取得,即至少存在一点 ξ ∈ ( a , b ) \xi\in(a,b) ξ∈(a,b)满足 f ( ξ ) = M f(\xi)=M f(ξ)=M,由费马定理得证。
注: 1 ∘ 1^{\circ} 1∘罗尔中值定理中的3个条件缺一不可。
如:① f ( x ) = { x , 0 ⩽ x < 1 , 0 , x = 1 , f(x)=\begin{cases}x, & 0\leqslant x<1,\\0, & x = 1,\end{cases} f(x)={x,0,0⩽x<1,x=1,满足条件(2)和(3),但条件(1)不满足,结论不成立;
② f ( x ) = { − x , − 1 ⩽ x < 0 , 0 , x = 0 , x , 0 < x ⩽ 1 , f(x)=\begin{cases}-x, & -1\leqslant x<0,\\0, & x = 0,\\x, & 0<x\leqslant1,\end{cases} f(x)=⎩ ⎨ ⎧−x,0,x,−1⩽x<0,x=0,0<x⩽1,满足条件(1)和(3),但条件(2)不满足,结论不成立;
③ f ( x ) = x , x ∈ [ 0 , 1 ] f(x)=x,x\in[0,1] f(x)=x,x∈[0,1]。满足条件(1)和(2),但条件(3)不满足,结论不成立;
2 ∘ 2^{\circ} 2∘罗尔中值定理中的3个条件是充分条件,而不必要,即3个条件同时成立,结论一定成立,反过来,若结论成立,3个条件不一定成立。
如: f ( x ) = { 0 , − 2 ⩽ x ⩽ − 1 , x 2 , − 1 < x < 1 , 1 , 1 ⩽ x ⩽ 2 , f(x)=\begin{cases}0, & -2\leqslant x\leqslant -1,\\x^{2}, & -1<x<1,\\1, & 1\leqslant x\leqslant 2,\end{cases} f(x)=⎩ ⎨ ⎧0,x2,1,−2⩽x⩽−1,−1<x<1,1⩽x⩽2,在 [ − 2 , 2 ] [-2,2] [−2,2]上不连续, ( − 2 , 2 ) (-2,2) (−2,2)内不可导, f ( − 2 ) ≠ f ( 2 ) f(-2)\neq f(2) f(−2)=f(2),但有 f ′ ( 0 ) = 0 f'(0)=0 f′(0)=0.如图所示。

3 ∘ 3^{\circ} 3∘罗尔中值定理给出了导函数 f ′ ( x ) f'(x) f′(x)的零点问题( f ′ ( x ) = 0 f'(x)=0 f′(x)=0的实根问题)。
4 ∘ 4^{\circ} 4∘ f ′ ( ξ ) = 0 f'(\xi)=0 f′(ξ)=0称为含有导数的中值等式。
例1函数 f ( x ) = x 3 − x f(x)=x\sqrt{3 - x} f(x)=x3−x在 [ 0 , 3 ] [0,3] [0,3]上是否满足罗尔中值定理?若满足,出去$ \xi $.
解:由于 f ( x ) = x 3 − x f(x)=x\sqrt{3 - x} f(x)=x3−x在 [ 0 , 3 ] [0,3] [0,3]上连续,且 f ( 0 ) = f ( 3 ) = 0 f(0)=f(3)=0 f(0)=f(3)=0,又
f ′ ( x ) = 3 − x − x 2 3 − x f'(x)=\sqrt{3 - x}-\frac{x}{2\sqrt{3 - x}} f′(x)=3−x−23−xx在 ( 0 , 3 ) (0,3) (0,3)内有定义,即 f ( x ) = x 3 − x f(x)=x\sqrt{3 - x} f(x)=x3−x在 ( 0 , 3 ) (0,3) (0,3)可导,即满足罗尔中值定理的3个条件。由罗尔中值定理的结论知,至少存在一点 ξ \xi ξ,有
f ′ ( ξ ) = 3 − ξ − ξ 2 3 − ξ = 0 f'(\xi)=\sqrt{3 - \xi}-\frac{\xi}{2\sqrt{3 - \xi}}=0 f′(ξ)=3−ξ−23−ξξ=0,解得 ξ = 2 ∈ ( 0 , 3 ) \xi=2\in(0,3) ξ=2∈(0,3).
例 2 设 f ( x ) = ( x − 1 ) ( x − 2 ) ( x − 3 ) f(x)=(x - 1)(x - 2)(x - 3) f(x)=(x−1)(x−2)(x−3),不求导,判别 f ′ ( x ) f'(x) f′(x) 有几个实根。
解:显然 f ( x ) = ( x − 1 ) ( x − 2 ) ( x − 3 ) f(x)=(x - 1)(x - 2)(x - 3) f(x)=(x−1)(x−2)(x−3) 在 [ 1 , 2 ] [1,2] [1,2] 和 [ 2 , 3 ] [2,3] [2,3] 上满足罗尔中值定理的条件,因此,在 ( 1 , 2 ) (1,2) (1,2) 内 f ′ ( x ) f'(x) f′(x) 至少有一个实根,在 ( 2 , 3 ) (2,3) (2,3) 内至少有一个实根,即 f ′ ( x ) f'(x) f′(x) 至少有两个实根,有 f ( x ) f(x) f(x) 是 3 次多项式函数,即 f ′ ( x ) f'(x) f′(x) 是 2 次多项式函数,即 f ′ ( x ) f'(x) f′(x) 最多有两个实根。于是,综合上述情况知, f ′ ( x ) f'(x) f′(x) 恰有两个实根。
例 3 若 f ( x ) f(x) f(x) 在 ( a , b ) (a,b) (a,b) 内具有二阶导数,且 f ( x 1 ) = f ( x 2 ) = f ( x 3 ) f(x_1)=f(x_2)=f(x_3) f(x1)=f(x2)=f(x3),其中 a < x 1 < x 2 < x 3 < b a < x_1 < x_2 < x_3 < b a<x1<x2<x3<b,证明:在 ( a , b ) (a,b) (a,b) 内至少存在一点 ξ \xi ξ,满足 f ′ ′ ( ξ ) = 0 f''(\xi)=0 f′′(ξ)=0。
二、拉格朗日(Lagrange)中值定理
罗尔中值定理要求满足3个条件,若把第(3)个条件 f ( a ) = f ( b ) f(a)=f(b) f(a)=f(b)去掉,保留(1) [ a , b ] [a,b] [a,b]上连续;(2) ( a , b ) (a,b) (a,b)内可导,会有什么结论呢?我们还是先从几何上解释一下。如图所示。

从图中发现,切线不再平行于 x x x轴了,但始终与割线 A B AB AB平行,即二者的斜率相等,即 f ′ ( ξ ) = f ( b ) − f ( a ) b − a f'(\xi)=\frac{f(b)-f(a)}{b - a} f′(ξ)=b−af(b)−f(a)。这就是拉格朗日中值定理。
1. 定理内容
条件:
若函数 f ( x ) f(x) f(x) 满足:
- 在闭区间 [ a , b ] [a,b] [a,b] 上连续;
- 在开区间 ( a , b ) (a,b) (a,b) 内可导。
结论:
至少存在一点 ξ ∈ ( a , b ) \xi \in (a,b) ξ∈(a,b),使得
f ( b ) − f ( a ) = f ′ ( ξ ) ( b − a ) f(b) - f(a) = f'(\xi)(b - a) f(b)−f(a)=f′(ξ)(b−a)
等价形式:
f ′ ( ξ ) = f ( b ) − f ( a ) b − a f'(\xi) = \frac{f(b) - f(a)}{b - a} f′(ξ)=b−af(b)−f(a)
几何意义:
曲线上至少存在一点,该点的切线平行于连接两端点的弦。
证明:
结论 f ′ ( ξ ) = f ( b ) − f ( a ) b − a f'(\xi)=\frac{f(b) - f(a)}{b - a} f′(ξ)=b−af(b)−f(a)是含有导数的中值等式,因此,考虑利用罗尔中值定理,即构造函数,使该函数满足罗尔中值定理的3个条件,然后利用罗尔中值定理的结论证明拉格朗日定理的结论。下面给出两种构造函数的方法。
**方法一:**由于曲线 A B AB AB与直线 A B AB AB交于 A , B A,B A,B两点,曲线 A B AB AB的方程为 y = f ( x ) y = f(x) y=f(x),直线 A B AB AB的方程为 y − f ( a ) = f ( b ) − f ( a ) b − a ( x − a ) y - f(a)=\frac{f(b)-f(a)}{b - a}(x - a) y−f(a)=b−af(b)−f(a)(x−a),即 y = f ( a ) + f ( b ) − f ( a ) b − a ( x − a ) y = f(a)+\frac{f(b)-f(a)}{b - a}(x - a) y=f(a)+b−af(b)−f(a)(x−a),二者相减得到一新的函数 φ ( x ) = f ( x ) − [ f ( a ) + f ( b ) − f ( a ) b − a ( x − a ) ] \varphi(x)=f(x)-[f(a)+\frac{f(b)-f(a)}{b - a}(x - a)] φ(x)=f(x)−[f(a)+b−af(b)−f(a)(x−a)],则一定有 φ ( a ) = φ ( b ) = 0 \varphi(a)=\varphi(b)=0 φ(a)=φ(b)=0,于是 φ ′ ( x ) = f ′ ( x ) − f ( b ) − f ( a ) b − a \varphi'(x)=f'(x)-\frac{f(b)-f(a)}{b - a} φ′(x)=f′(x)−b−af(b)−f(a),由于 φ ( x ) \varphi(x) φ(x)在 [ a , b ] [a,b] [a,b]上连续, ( a , b ) (a,b) (a,b)内可导,且 φ ( a ) = φ ( b ) = 0 \varphi(a)=\varphi(b)=0 φ(a)=φ(b)=0,有罗尔中值定理得 φ ′ ( ξ ) = f ′ ( ξ ) − f ( b ) − f ( a ) b − a = 0 \varphi'(\xi)=f'(\xi)-\frac{f(b)-f(a)}{b - a}=0 φ′(ξ)=f′(ξ)−b−af(b)−f(a)=0,即 f ′ ( ξ ) = f ( b ) − f ( a ) b − a f'(\xi)=\frac{f(b)-f(a)}{b - a} f′(ξ)=b−af(b)−f(a)。
方法二:(1)要证中值等式 f ′ ( ξ ) = f ( b ) − f ( a ) b − a f'(\xi)=\frac{f(b)-f(a)}{b - a} f′(ξ)=b−af(b)−f(a),即证 f ′ ( ξ ) − f ( b ) − f ( a ) b − a = 0 f'(\xi)-\frac{f(b)-f(a)}{b - a}=0 f′(ξ)−b−af(b)−f(a)=0,(将所有项移至等式左边,使等式右边为0);
(2)将含有 ξ \xi ξ的地方换成 x x x,即 f ′ ( x ) − f ( b ) − f ( a ) b − a = 0 f'(x)-\frac{f(b)-f(a)}{b - a}=0 f′(x)−b−af(b)−f(a)=0;
(3)构造函数 F ( x ) = f ( x ) − f ( b ) − f ( a ) b − a x F(x)=f(x)-\frac{f(b)-f(a)}{b - a}x F(x)=f(x)−b−af(b)−f(a)x,即谁求导等于等式左边,谁就是 F ( x ) F(x) F(x);
(4)验证 F ( x ) F(x) F(x)满足罗尔中值定理的3个条件:显然 F ( x ) F(x) F(x)在 [ a , b ] [a,b] [a,b]上连续,在 ( a , b ) (a,b) (a,b)内可导,下面验证 F ( a ) = F ( b ) F(a)=F(b) F(a)=F(b)。
F ( a ) = f ( a ) − f ( b ) − f ( a ) b − a × a = b f ( a ) − a f ( b ) b − a F ( b ) = f ( b ) − f ( b ) − f ( a ) b − a × b = b f ( a ) − a f ( b ) b − a \begin{align*} F(a)&=f(a)-\frac{f(b)-f(a)}{b - a}\times a=\frac{bf(a)-af(b)}{b - a}\\ F(b)&=f(b)-\frac{f(b)-f(a)}{b - a}\times b=\frac{bf(a)-af(b)}{b - a} \end{align*} F(a)F(b)=f(a)−b−af(b)−f(a)×a=b−abf(a)−af(b)=f(b)−b−af(b)−f(a)×b=b−abf(a)−af(b)
即 F ( a ) = F ( b ) F(a)=F(b) F(a)=F(b),于是由罗尔中值定理得 F ′ ( ξ ) = 0 F'(\xi)=0 F′(ξ)=0,即 f ′ ( ξ ) − f ( b ) − f ( a ) b − a = 0 f'(\xi)-\frac{f(b)-f(a)}{b - a}=0 f′(ξ)−b−af(b)−f(a)=0,即 f ′ ( ξ ) = f ( b ) − f ( a ) b − a f'(\xi)=\frac{f(b)-f(a)}{b - a} f′(ξ)=b−af(b)−f(a)。
注: 方法二是证明含有导数的中值等式的常用方法。
注: 1 ∘ 1^{\circ} 1∘罗尔中值定理是拉格朗日中值定理的特殊情况(添加条件 f ( a ) = f ( b ) f(a)=f(b) f(a)=f(b)即为罗尔定理);
2 ∘ 2^{\circ} 2∘无论 a < b a < b a<b或 a > b a > b a>b,拉格朗日中值公式 f ′ ( ξ ) = f ( b ) − f ( a ) b − a f'(\xi)=\frac{f(b)-f(a)}{b - a} f′(ξ)=b−af(b)−f(a)都成立,此时 ξ \xi ξ位于 a a a和 b b b之间。
3 ∘ 3^{\circ} 3∘拉格朗日中值公式的几种改写形式:
① f ( b ) − f ( a ) = f ′ ( ξ ) ( b − a ) f(b)-f(a)=f'(\xi)(b - a) f(b)−f(a)=f′(ξ)(b−a)( ξ \xi ξ位于 a a a和 b b b之间)
② f ( x + Δ x ) − f ( x ) = f ′ ( ξ ) Δ x = f ′ ( x + θ Δ x ) Δ x ( 0 < θ < 1 ) f(x+\Delta x)-f(x)=f'(\xi)\Delta x=f'(x+\theta\Delta x)\Delta x(0 < \theta < 1) f(x+Δx)−f(x)=f′(ξ)Δx=f′(x+θΔx)Δx(0<θ<1)
4 ∘ 4^{\circ} 4∘两个推论
推论1: 若 f ( x ) f(x) f(x)在 ( a , b ) (a,b) (a,b)内任一点的导数 f ′ ( x ) = 0 f'(x)=0 f′(x)=0,则 f ( x ) = C f(x)=C f(x)=C.
证明: ∀ x 1 , x 2 ∈ ( a , b ) , x 1 < x 2 \forall x_1,x_2\in(a,b),x_1 < x_2 ∀x1,x2∈(a,b),x1<x2,由于 f ( x ) f(x) f(x)在 ( a , b ) (a,b) (a,b)内可导,因此, f ( x ) f(x) f(x)在 [ x 1 , x 2 ] [x_1,x_2] [x1,x2]上满足拉格朗日中值定理,即 f ( x 2 ) − f ( x 1 ) = f ′ ( ξ ) ( x 2 − x 1 ) = 0 f(x_2)-f(x_1)=f'(\xi)(x_2 - x_1)=0 f(x2)−f(x1)=f′(ξ)(x2−x1)=0(因为 f ′ ( ξ ) = 0 f'(\xi)=0 f′(ξ)=0),所以 f ( x 2 ) = f ( x 1 ) f(x_2)=f(x_1) f(x2)=f(x1),根据 x 1 , x 2 x_1,x_2 x1,x2的任意性知, f ( x ) = C f(x)=C f(x)=C.
推论2: 若 f ( x ) , g ( x ) f(x),g(x) f(x),g(x)在 ( a , b ) (a,b) (a,b)内满足 f ′ ( x ) = g ′ ( x ) f^{\prime}(x)=g^{\prime}(x) f′(x)=g′(x),则 f ( x ) = g ( x ) + C f(x)=g(x)+C f(x)=g(x)+C.
证明: 由条件 f ′ ( x ) = g ′ ( x ) f^{\prime}(x)=g^{\prime}(x) f′(x)=g′(x)知, f ′ ( x ) − g ′ ( x ) = 0 f^{\prime}(x)-g^{\prime}(x)=0 f′(x)−g′(x)=0,即 ( f ( x ) − g ( x ) ) ′ = 0 (f(x)-g(x))^{\prime}=0 (f(x)−g(x))′=0,由推论1知, f ( x ) − g ( x ) = C f(x)-g(x)=C f(x)−g(x)=C,即 f ( x ) = g ( x ) + C f(x)=g(x)+C f(x)=g(x)+C.
例1 设 f ( x ) = p x 2 + q x + r f(x)=px^{2}+qx + r f(x)=px2+qx+r, x ∈ [ a , b ] x\in[a,b] x∈[a,b],求满足拉格朗日定理的 ξ \xi ξ.
解: f ′ ( x ) = 2 p x + q f^{\prime}(x)=2px + q f′(x)=2px+q,所以 f ( x ) f(x) f(x)满足 [ a , b ] [a,b] [a,b]上连续, ( a , b ) (a,b) (a,b)内可导,由拉格朗日中值定理知,存在 ξ ∈ ( a , b ) \xi\in(a,b) ξ∈(a,b),有 f ′ ( ξ ) = f ( b ) − f ( a ) b − a f^{\prime}(\xi)=\frac{f(b)-f(a)}{b - a} f′(ξ)=b−af(b)−f(a),即
2 p ξ + q = ( p b 2 + q b + r ) − ( p a 2 + q a + r ) b − a = p ( b + a ) + q 2p\xi+q=\frac{(pb^{2}+qb + r)-(pa^{2}+qa + r)}{b - a}=p(b + a)+q 2pξ+q=b−a(pb2+qb+r)−(pa2+qa+r)=p(b+a)+q,即 ξ = b + a 2 \xi=\frac{b + a}{2} ξ=2b+a.
例2 证明不等式 arctan x 2 − arctan x 1 ≤ x 2 − x 1 ( x 1 < x 2 ) \arctan x_{2}-\arctan x_{1}\leq x_{2}-x_{1}(x_{1}<x_{2}) arctanx2−arctanx1≤x2−x1(x1<x2).
证明:设 f ( x ) = arctan x f(x)=\arctan x f(x)=arctanx,则 f ′ ( x ) = 1 1 + x 2 f^{\prime}(x)=\frac{1}{1 + x^{2}} f′(x)=1+x21,因此, f ( x ) f(x) f(x)在 [ x 1 , x 2 ] [x_{1},x_{2}] [x1,x2]上连续,在 ( x 1 , x 2 ) (x_{1},x_{2}) (x1,x2)内可导,由拉格朗日中值定理知, f ( x 2 ) − f ( x 1 ) = f ′ ( ξ ) ( x 2 − x 1 ) , ξ ∈ ( x 1 , x 2 ) f(x_{2})-f(x_{1})=f^{\prime}(\xi)(x_{2}-x_{1}),\xi\in(x_{1},x_{2}) f(x2)−f(x1)=f′(ξ)(x2−x1),ξ∈(x1,x2),即
arctan x 2 − arctan x 1 = 1 1 + ξ 2 ( x 2 − x 1 ) ≤ x 2 − x 1 ( 1 1 + ξ 2 ≤ 1 ) \arctan x_{2}-\arctan x_{1}=\frac{1}{1+\xi^{2}}(x_{2}-x_{1})\leq x_{2}-x_{1}(\frac{1}{1+\xi^{2}}\leq1) arctanx2−arctanx1=1+ξ21(x2−x1)≤x2−x1(1+ξ21≤1).
例3 证明不等式 ln ( 1 + x ) − ln x > 1 1 + x ( x > 0 ) \ln(1 + x)-\ln x>\frac{1}{1 + x}(x>0) ln(1+x)−lnx>1+x1(x>0).
证明:设 f ( t ) = ln t , t ∈ [ x , 1 + x ] f(t)=\ln t,t\in[x,1 + x] f(t)=lnt,t∈[x,1+x],则 f ′ ( t ) = 1 t f^{\prime}(t)=\frac{1}{t} f′(t)=t1,因此, f ( t ) f(t) f(t)在 [ x , 1 + x ] [x,1 + x] [x,1+x]上连续,在 ( x , 1 + x ) (x,1 + x) (x,1+x)内可导,由拉格朗日中值定理知, f ( 1 + x ) − f ( x ) = f ′ ( ξ ) × 1 = 1 ξ , ξ ∈ ( x , 1 + x ) f(1 + x)-f(x)=f^{\prime}(\xi)\times1=\frac{1}{\xi},\xi\in(x,1 + x) f(1+x)−f(x)=f′(ξ)×1=ξ1,ξ∈(x,1+x),即
ln ( 1 + x ) − ln x = 1 ξ > 1 1 + x ( ξ < 1 + x ) \ln(1 + x)-\ln x=\frac{1}{\xi}>\frac{1}{1 + x}(\xi<1 + x) ln(1+x)−lnx=ξ1>1+x1(ξ<1+x).
例4 证明: arcsin x + arccos x = π 2 ( − 1 ≤ x ≤ 1 ) \arcsin x+\arccos x=\frac{\pi}{2}(-1\leq x\leq1) arcsinx+arccosx=2π(−1≤x≤1).
证明:设 f ( x ) = arcsin x + arccos x f(x)=\arcsin x+\arccos x f(x)=arcsinx+arccosx,则 f ′ ( x ) = 1 1 − x 2 + ( − 1 1 − x 2 ) = 0 f'(x)=\frac{1}{\sqrt{1 - x^{2}}}+(-\frac{1}{\sqrt{1 - x^{2}}}) = 0 f′(x)=1−x21+(−1−x21)=0,由拉格朗日中值定理的推论知, f ( x ) = arcsin x + arccos x = C f(x)=\arcsin x+\arccos x = C f(x)=arcsinx+arccosx=C,取 x = 0 x = 0 x=0得 C = π 2 C=\frac{\pi}{2} C=2π,即 arcsin x + arccos x = π 2 \arcsin x+\arccos x=\frac{\pi}{2} arcsinx+arccosx=2π.
三、柯西(Cauchy)中值定理
1. 定理内容
条件:
若函数 f ( x ) f(x) f(x) 和 g ( x ) g(x) g(x) 满足:
- 在闭区间 [ a , b ] [a,b] [a,b] 上连续;
- 在开区间 ( a , b ) (a,b) (a,b) 内可导;
- 对任意 x ∈ ( a , b ) x \in (a,b) x∈(a,b), g ′ ( x ) ≠ 0 g'(x) \neq 0 g′(x)=0。
结论:
至少存在一点 ξ ∈ ( a , b ) \xi \in (a,b) ξ∈(a,b),使得
f ( b ) − f ( a ) g ( b ) − g ( a ) = f ′ ( ξ ) g ′ ( ξ ) \frac{f(b) - f(a)}{g(b) - g(a)} = \frac{f'(\xi)}{g'(\xi)} g(b)−g(a)f(b)−f(a)=g′(ξ)f′(ξ)
特殊情况:
当 g ( x ) = x g(x) = x g(x)=x 时,退化为拉格朗日中值定理。
证明:
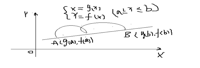
方法一: 等式右端是两个函数导数的商 f ′ ( ξ ) g ′ ( ξ ) \frac{f'(\xi)}{g'(\xi)} g′(ξ)f′(ξ),我们知道:参数方程确定的函数的导数是两个函数导数的商,因此可令曲线的方程为 { X = g ( x ) Y = f ( x ) \begin{cases}X = g(x)\\Y = f(x)\end{cases} {X=g(x)Y=f(x),如图。

{ x = g ( x ) y = f ( x ) { a ≤ x ≤ b } \begin{cases}x = g(x)\\y = f(x)\end{cases}\quad\{a\leq x\leq b\} {x=g(x)y=f(x){a≤x≤b}
A ( g ( a ) , f ( a ) ) A(g(a),f(a)) A(g(a),f(a)) B ( g ( b ) , f ( b ) ) B(g(b),f(b)) B(g(b),f(b))
直线 A B AB AB的方程为 Y − f ( a ) = f ( b ) − f ( a ) g ( b ) − g ( a ) ( X − g ( a ) ) Y - f(a)=\frac{f(b)-f(a)}{g(b)-g(a)}(X - g(a)) Y−f(a)=g(b)−g(a)f(b)−f(a)(X−g(a)),构造函数
φ ( x ) = f ( x ) − [ f ( a ) + f ( b ) − f ( a ) g ( b ) − g ( a ) ( g ( x ) − g ( a ) ) ] \varphi(x)=f(x)-[f(a)+\frac{f(b)-f(a)}{g(b)-g(a)}(g(x)-g(a))] φ(x)=f(x)−[f(a)+g(b)−g(a)f(b)−f(a)(g(x)−g(a))],满足 φ ( a ) = φ ( b ) = 0 \varphi(a)=\varphi(b)=0 φ(a)=φ(b)=0,在 [ a , b ] [a,b] [a,b]上利用Rolle中值定理即证。
方法二:
证明中值等式 f ( b ) − f ( a ) g ( b ) − g ( a ) = f ′ ( ξ ) g ′ ( ξ ) \frac{f(b) - f(a)}{g(b) - g(a)}=\frac{f'(\xi)}{g'(\xi)} g(b)−g(a)f(b)−f(a)=g′(ξ)f′(ξ)成立,即证明
f ′ ( ξ ) ( g ( b ) − g ( a ) ) − g ′ ( ξ ) ( f ( b ) − f ( a ) ) = 0 f'(\xi)(g(b)-g(a))-g'(\xi)(f(b)-f(a)) = 0 f′(ξ)(g(b)−g(a))−g′(ξ)(f(b)−f(a))=0
成立,即证明方程 f ′ ( x ) ( g ( b ) − g ( a ) ) − g ′ ( x ) ( f ( b ) − f ( a ) ) = 0 f'(x)(g(b)-g(a))-g'(x)(f(b)-f(a)) = 0 f′(x)(g(b)−g(a))−g′(x)(f(b)−f(a))=0至少有一个实根 ξ \xi ξ,因此,令 F ( x ) = f ( x ) ( g ( b ) − g ( a ) ) − g ( x ) ( f ( b ) − f ( a ) ) F(x)=f(x)(g(b)-g(a))-g(x)(f(b)-f(a)) F(x)=f(x)(g(b)−g(a))−g(x)(f(b)−f(a)),即 F ( x ) F(x) F(x)在 [ a , b ] [a,b] [a,b]上连续, ( a , b ) (a,b) (a,b)内可导,且 F ( a ) = f ( a ) ( g ( b ) − g ( a ) ) − g ( a ) ( f ( b ) − f ( a ) ) = f ( a ) g ( b ) − g ( a ) f ( b ) F(a)=f(a)(g(b)-g(a))-g(a)(f(b)-f(a))=f(a)g(b)-g(a)f(b) F(a)=f(a)(g(b)−g(a))−g(a)(f(b)−f(a))=f(a)g(b)−g(a)f(b) , F ( b ) = f ( b ) ( g ( b ) − g ( a ) ) − g ( b ) ( f ( b ) − f ( a ) ) = f ( a ) g ( b ) − g ( a ) f ( b ) F(b)=f(b)(g(b)-g(a))-g(b)(f(b)-f(a))=f(a)g(b)-g(a)f(b) F(b)=f(b)(g(b)−g(a))−g(b)(f(b)−f(a))=f(a)g(b)−g(a)f(b) , 即 F ( a ) = F ( b ) F(a)=F(b) F(a)=F(b),有罗尔中值定理知,在 ( a , b ) (a,b) (a,b)内至少存在一点 ξ ( a < ξ < b ) \xi(a < \xi < b) ξ(a<ξ<b),有 F ′ ( ξ ) = 0 F'(\xi)=0 F′(ξ)=0,即 f ′ ( ξ ) ( g ( b ) − g ( a ) ) − g ′ ( ξ ) ( f ( b ) − f ( a ) ) = 0 f'(\xi)(g(b)-g(a))-g'(\xi)(f(b)-f(a)) = 0 f′(ξ)(g(b)−g(a))−g′(ξ)(f(b)−f(a))=0,因此有 f ( b ) − f ( a ) g ( b ) − g ( a ) = f ′ ( ξ ) g ′ ( ξ ) \frac{f(b)-f(a)}{g(b)-g(a)}=\frac{f'(\xi)}{g'(\xi)} g(b)−g(a)f(b)−f(a)=g′(ξ)f′(ξ).
注:若取 g ( x ) = x g(x)=x g(x)=x,此时的柯西中值定理即为拉格朗日中值定理。
例1
设 f ( x ) f(x) f(x)在 [ a , b ] [a,b] [a,b]上连续,在 ( a , b ) (a,b) (a,b)内可导,证明:存在 ξ ∈ ( a , b ) \xi\in(a,b) ξ∈(a,b),使得
[f(b)-f(a)=\xi f’(\xi)\ln\frac{b}{a}(0 < a < b).]
证明:
对中值等式 f ( b ) − f ( a ) = ξ f ′ ( ξ ) ln b a f(b)-f(a)=\xi f'(\xi)\ln\frac{b}{a} f(b)−f(a)=ξf′(ξ)lnab进行变形,可得 f ( b ) − f ( a ) ln b − ln a = ξ f ′ ( ξ ) \frac{f(b)-f(a)}{\ln b-\ln a}=\xi f'(\xi) lnb−lnaf(b)−f(a)=ξf′(ξ)。
令 g ( x ) = ln x g(x)=\ln x g(x)=lnx,由于 f ( x ) f(x) f(x)在 [ a , b ] [a,b] [a,b]上连续,在 ( a , b ) (a,b) (a,b)内可导, g ( x ) = ln x g(x)=\ln x g(x)=lnx在 [ a , b ] [a,b] [a,b]上也连续,在 ( a , b ) (a,b) (a,b)内可导,所以 f ( x ) f(x) f(x)与 g ( x ) g(x) g(x)满足柯西中值定理的条件。
根据柯西中值定理, f ( b ) − f ( a ) g ( b ) − g ( a ) = f ′ ( ξ ) g ′ ( ξ ) \frac{f(b)-f(a)}{g(b)-g(a)}=\frac{f'(\xi)}{g'(\xi)} g(b)−g(a)f(b)−f(a)=g′(ξ)f′(ξ),其中 a < ξ < b a < \xi < b a<ξ<b。
因为 g ′ ( x ) = 1 x g'(x)=\frac{1}{x} g′(x)=x1,所以 f ( b ) − f ( a ) ln b − ln a = f ′ ( ξ ) 1 ξ = ξ f ′ ( ξ ) \frac{f(b)-f(a)}{\ln b - \ln a}=\frac{f'(\xi)}{\frac{1}{\xi}}=\xi f'(\xi) lnb−lnaf(b)−f(a)=ξ1f′(ξ)=ξf′(ξ),即 f ( b ) − f ( a ) = ξ f ′ ( ξ ) ln b a f(b)-f(a)=\xi f'(\xi)\ln\frac{b}{a} f(b)−f(a)=ξf′(ξ)lnab。
例2
设 0 < a < b 0 < a < b 0<a<b,证明:存在 ξ ∈ ( a , b ) \xi\in(a,b) ξ∈(a,b),使得 a e b − b e a = ( 1 − ξ ) e ξ ( a − b ) ae^{b}-be^{a}=(1 - \xi)e^{\xi}(a - b) aeb−bea=(1−ξ)eξ(a−b)。
证明:
首先对 a e b − b e a ( a − b ) = ( 1 − ξ ) e ξ \frac{ae^{b}-be^{a}}{(a - b)}=(1 - \xi)e^{\xi} (a−b)aeb−bea=(1−ξ)eξ进行变形,得到 e b b − e a a 1 b − 1 a = ( 1 − ξ ) e ξ \frac{\frac{e^{b}}{b}-\frac{e^{a}}{a}}{\frac{1}{b}-\frac{1}{a}}=(1 - \xi)e^{\xi} b1−a1beb−aea=(1−ξ)eξ。
令 f ( x ) = e x x f(x)=\frac{e^{x}}{x} f(x)=xex, g ( x ) = 1 x g(x)=\frac{1}{x} g(x)=x1。
函数 f ( x ) = e x x f(x)=\frac{e^{x}}{x} f(x)=xex的导数 f ′ ( x ) = e x ⋅ x − e x x 2 = e x ( x − 1 ) x 2 f'(x)=\frac{e^{x}\cdot x - e^{x}}{x^{2}}=\frac{e^{x}(x - 1)}{x^{2}} f′(x)=x2ex⋅x−ex=x2ex(x−1), g ( x ) = 1 x g(x)=\frac{1}{x} g(x)=x1的导数 g ′ ( x ) = − 1 x 2 g'(x)=-\frac{1}{x^{2}} g′(x)=−x21。
因为 f ( x ) f(x) f(x)和 g ( x ) g(x) g(x)在 [ a , b ] [a,b] [a,b]上连续( a > 0 , b > 0 a>0,b>0 a>0,b>0),在 ( a , b ) (a,b) (a,b)内可导,所以 f ( x ) f(x) f(x)与 g ( x ) g(x) g(x)满足柯西中值定理的条件。
由柯西中值定理可知,在 ( a , b ) (a,b) (a,b)内至少存在一点 ξ \xi ξ,使得 f ( b ) − f ( a ) g ( b ) − g ( a ) = f ′ ( ξ ) g ′ ( ξ ) \frac{f(b)-f(a)}{g(b)-g(a)}=\frac{f'(\xi)}{g'(\xi)} g(b)−g(a)f(b)−f(a)=g′(ξ)f′(ξ),即 e b b − e a a 1 b − 1 a = e ξ ξ + e ξ ξ 2 − 1 ξ 2 = ( 1 − ξ ) e ξ \frac{\frac{e^{b}}{b}-\frac{e^{a}}{a}}{\frac{1}{b}-\frac{1}{a}}=\frac{\frac{e^{\xi}}{ \xi}+\frac{e^{\xi}}{\xi^{2}}}{-\frac{1}{\xi^{2}}}=(1 - \xi)e^{\xi} b1−a1beb−aea=−ξ21ξeξ+ξ2eξ=(1−ξ)eξ,从而证明了存在 ξ ∈ ( a , b ) \xi\in(a,b) ξ∈(a,b),使得 a e b − b e a = ( 1 − ξ ) e ξ ( a − b ) ae^{b}-be^{a}=(1 - \xi)e^{\xi}(a - b) aeb−bea=(1−ξ)eξ(a−b)。
注意事项
- 使用定理前需验证条件是否满足
- 注意区分开闭区间
- 柯西定理中 g ′ ( x ) ≠ 0 g'(x) \neq 0 g′(x)=0 的条件不可忽略
§3.2 洛必达法则
在无穷小量的比较一节中,我们提到两个无穷小量的商是个未定式,记作“ 0 0 \frac{0}{0} 00”型。即若 lim x → a f ( x ) = 0 \lim\limits_{x \to a} f(x) = 0 x→alimf(x)=0且 lim x → a g ( x ) = 0 \lim\limits_{x \to a} g(x) = 0 x→alimg(x)=0,则极限 lim x → a f ( x ) g ( x ) \lim\limits_{x \to a} \frac{f(x)}{g(x)} x→alimg(x)f(x)有可能存在,也可能不存在。类似的,若 lim x → a f ( x ) = ∞ \lim\limits_{x \to a} f(x) = \infty x→alimf(x)=∞且 lim x → a g ( x ) = ∞ \lim\limits_{x \to a} g(x) = \infty x→alimg(x)=∞,则极限 lim x → a f ( x ) g ( x ) \lim\limits_{x \to a} \frac{f(x)}{g(x)} x→alimg(x)f(x)也有可能存在,也可能不存在,这种情况也是个未定式,称为“ ∞ ∞ \frac{\infty}{\infty} ∞∞”型。对于“ 0 0 \frac{0}{0} 00”型和“ ∞ ∞ \frac{\infty}{\infty} ∞∞”型的极限,前面已有计算方法,这一节将建立一种更有效的计算方法——洛必达法则(L’Hospital)。
法则1
设:
- lim x → a f ( x ) = 0 \lim\limits_{x \to a} f(x) = 0 x→alimf(x)=0, lim x → a g ( x ) = 0 \lim\limits_{x \to a} g(x) = 0 x→alimg(x)=0;
- f ( x ) f(x) f(x), g ( x ) g(x) g(x)在 a a a的某去心邻域内都可导,且 g ′ ( x ) ≠ 0 g'(x) \neq 0 g′(x)=0;
- lim x → a f ′ ( x ) g ′ ( x ) = A \lim\limits_{x \to a} \frac{f'(x)}{g'(x)} = A x→alimg′(x)f′(x)=A( A A A为有限数或 ∞ \infty ∞),
则必有 lim x → a f ( x ) g ( x ) = lim x → a f ′ ( x ) g ′ ( x ) = A \lim\limits_{x \to a} \frac{f(x)}{g(x)} = \lim\limits_{x \to a} \frac{f'(x)}{g'(x)} = A x→alimg(x)f(x)=x→alimg′(x)f′(x)=A。
证明:由条件,可补充定义 f ( a ) = 0 f(a)=0 f(a)=0, g ( a ) = 0 g(a)=0 g(a)=0,使 f ( x ) f(x) f(x), g ( x ) g(x) g(x)在 x = a x = a x=a处连续,于是 f ( x ) f(x) f(x), g ( x ) g(x) g(x)在 a a a的邻域内连续。对 x ≠ a x \neq a x=a,在 [ x , a ] [x, a] [x,a]或 [ a , x ] [a, x] [a,x]内 f ( x ) f(x) f(x), g ( x ) g(x) g(x)满足柯西中值定理,即有 f ( x ) − f ( a ) g ( x ) − g ( a ) = f ′ ( ξ ) g ′ ( ξ ) \frac{f(x) - f(a)}{g(x) - g(a)} = \frac{f'(\xi)}{g'(\xi)} g(x)−g(a)f(x)−f(a)=g′(ξ)f′(ξ)( ξ \xi ξ位于 x x x与 a a a之间)。因为 f ( a ) = 0 f(a)=0 f(a)=0, g ( a ) = 0 g(a)=0 g(a)=0,所以 f ( x ) g ( x ) = f ′ ( ξ ) g ′ ( ξ ) \frac{f(x)}{g(x)} = \frac{f'(\xi)}{g'(\xi)} g(x)f(x)=g′(ξ)f′(ξ)。因此,当 x → a x \to a x→a时一定有 ξ → a \xi \to a ξ→a,即 lim x → a f ( x ) g ( x ) = lim ξ → a f ′ ( ξ ) g ′ ( ξ ) = lim x → a f ′ ( x ) g ′ ( x ) = A \lim\limits_{x \to a} \frac{f(x)}{g(x)} = \lim\limits_{\xi \to a} \frac{f'(\xi)}{g'(\xi)} = \lim\limits_{x \to a} \frac{f'(x)}{g'(x)} = A x→alimg(x)f(x)=ξ→alimg′(ξ)f′(ξ)=x→alimg′(x)f′(x)=A 。
注:
- 法则1给出的自变量变化趋势为 x → a x \to a x→a,法则1对自变量的其他变化趋势(如 x → a + x \to a^+ x→a+, x → a − x \to a^- x→a−, x → ∞ x \to \infty x→∞, x → + ∞ x \to +\infty x→+∞, x → − ∞ x \to -\infty x→−∞),均适用;
- 法则1中必须是“ 0 0 \frac{0}{0} 00”型,不是“ 0 0 \frac{0}{0} 00”型不能用法则1;
- 若 lim x → a f ′ ( x ) g ′ ( x ) \lim\limits_{x \to a} \frac{f'(x)}{g'(x)} x→alimg′(x)f′(x)仍是“ 0 0 \frac{0}{0} 00”型,可再次适用法则1,即 lim x → a f ( x ) g ( x ) = lim x → a f ′ ( x ) g ′ ( x ) = lim x → a f ′ ′ ( x ) g ′ ′ ( x ) \lim\limits_{x \to a} \frac{f(x)}{g(x)} = \lim\limits_{x \to a} \frac{f'(x)}{g'(x)} = \lim\limits_{x \to a} \frac{f''(x)}{g''(x)} x→alimg(x)f(x)=x→alimg′(x)f′(x)=x→alimg′′(x)f′′(x),这说明法则1可以多次使用,但要求一次比一次简单,否则,不要利用法则1;
- 若 lim x → a f ′ ( x ) g ′ ( x ) \lim\limits_{x \to a} \frac{f'(x)}{g'(x)} x→alimg′(x)f′(x)不存在,但极限 lim x → a f ( x ) g ( x ) \lim\limits_{x \to a} \frac{f(x)}{g(x)} x→alimg(x)f(x)仍可能存在,此时说明法则1失效了,可换用其他方法计算。
例如:计算 lim x → 0 x 2 sin 1 x sin x \lim\limits_{x \to 0} \frac{x^2 \sin \frac{1}{x}}{\sin x} x→0limsinxx2sinx1,若使用洛必达法则,求导后式子变得更复杂,洛必达法则失效,此时只能利用等价无穷小替换法,即当 x → 0 x \to 0 x→0时, sin x ∼ x \sin x \sim x sinx∼x,则 lim x → 0 x 2 sin 1 x sin x = lim x → 0 x 2 sin 1 x x = lim x → 0 x sin 1 x = 0 \lim\limits_{x \to 0} \frac{x^2 \sin \frac{1}{x}}{\sin x} = \lim\limits_{x \to 0} \frac{x^2 \sin \frac{1}{x}}{x} = \lim\limits_{x \to 0} x\sin \frac{1}{x} = 0 x→0limsinxx2sinx1=x→0limxx2sinx1=x→0limxsinx1=0(因为 ∣ sin 1 x ∣ ≤ 1 \vert \sin \frac{1}{x} \vert \leq 1 ∣sinx1∣≤1, x → 0 x \to 0 x→0时, x sin 1 x x\sin \frac{1}{x} xsinx1是无穷小乘以有界量,结果为无穷小)。
例1 求下列极限:
- lim x → 0 sin x x \lim\limits_{x \to 0} \frac{\sin x}{x} x→0limxsinx
- lim x → 0 e x − 1 x \lim\limits_{x \to 0} \frac{e^x - 1}{x} x→0limxex−1
- lim x → 1 x 2 − 1 x − 1 \lim\limits_{x \to 1} \frac{x^2 - 1}{x - 1} x→1limx−1x2−1
- lim x → 0 ln ( 1 + x ) x \lim\limits_{x \to 0} \frac{\ln(1 + x)}{x} x→0limxln(1+x)
- lim x → 0 1 − cos x x 2 \lim\limits_{x \to 0} \frac{1 - \cos x}{x^2} x→0limx21−cosx
- lim x → 0 tan x − x x 3 \lim\limits_{x \to 0} \frac{\tan x - x}{x^3} x→0limx3tanx−x
- lim x → 0 e x − e − x sin x \lim\limits_{x \to 0} \frac{e^x - e^{-x}}{\sin x} x→0limsinxex−e−x
- lim x → 0 arcsin x x \lim\limits_{x \to 0} \frac{\arcsin x}{x} x→0limxarcsinx
例2 当 x → 0 x \to 0 x→0时, f ( x ) = sin x x − 1 f(x) = \frac{\sin x}{x} - 1 f(x)=xsinx−1与 g ( x ) = a x n g(x) = ax^n g(x)=axn是等价无穷小量,求 a a a, n n n的值。
法则2
设 f ( x ) f(x) f(x), g ( x ) g(x) g(x)满足:
- lim x → a f ( x ) = ∞ \lim\limits_{x \to a} f(x) = \infty x→alimf(x)=∞, lim x → a g ( x ) = ∞ \lim\limits_{x \to a} g(x) = \infty x→alimg(x)=∞;
- f ( x ) f(x) f(x), g ( x ) g(x) g(x)在 a a a的某去心邻域内都可导,且 g ′ ( x ) ≠ 0 g'(x) \neq 0 g′(x)=0;
- lim x → a f ′ ( x ) g ′ ( x ) = A \lim\limits_{x \to a} \frac{f'(x)}{g'(x)} = A x→alimg′(x)f′(x)=A( A A A为有限数或 ∞ \infty ∞),
则必有 lim x → a f ( x ) g ( x ) = lim x → a f ′ ( x ) g ′ ( x ) = A \lim\limits_{x \to a} \frac{f(x)}{g(x)} = \lim\limits_{x \to a} \frac{f'(x)}{g'(x)} = A x→alimg(x)f(x)=x→alimg′(x)f′(x)=A。
注:本法则对 x → a + x \to a^+ x→a+, x → a − x \to a^- x→a−, x → ∞ x \to \infty x→∞, x → + ∞ x \to +\infty x→+∞, x → − ∞ x \to -\infty x→−∞均适用。
例3 求下列极限:
- lim x → + ∞ ln x x \lim\limits_{x \to +\infty} \frac{\ln x}{x} x→+∞limxlnx
- lim x → + ∞ x n e x \lim\limits_{x \to +\infty} \frac{x^n}{e^x} x→+∞limexxn( n n n为正整数)
- lim x → π 2 + tan x x \lim\limits_{x \to \frac{\pi}{2}^+} \frac{\tan x}{x} x→2π+limxtanx
- lim x → + ∞ e x x 2 \lim\limits_{x \to +\infty} \frac{e^x}{x^2} x→+∞limx2ex
法则1是计算“ 0 0 \frac{0}{0} 00”型的计算方法,法则2是计算“ ∞ ∞ \frac{\infty}{\infty} ∞∞”型的极限方法。“ 0 0 \frac{0}{0} 00”型和“ ∞ ∞ \frac{\infty}{\infty} ∞∞”型的极限都是未定式,除了这两种未定式,还有下面5种未定式的极限,这5种未定式的极限是先化为“ 0 0 \frac{0}{0} 00”型或“ ∞ ∞ \frac{\infty}{\infty} ∞∞”型,然后利用洛必达法则计算极限。
(1) “ 0 ⋅ ∞ 0 \cdot \infty 0⋅∞”型
对“ 0 ⋅ ∞ 0 \cdot \infty 0⋅∞”型未定式是把其中一个变量放在分子,另一个变量放在分母,这样就化成了“ 0 0 \frac{0}{0} 00”型或“ ∞ ∞ \frac{\infty}{\infty} ∞∞”型,然后利用洛必达法则计算极限。究竟哪个变量放在分子,哪个变量放在分母呢?我们采用复杂变量放分子,简单变量放分母的原则。
例4 计算 lim x → 0 + x ln x \lim\limits_{x \to 0^+} x\ln x x→0+limxlnx
(2) “ ∞ − ∞ \infty - \infty ∞−∞”型
对“ ∞ − ∞ \infty - \infty ∞−∞”型未定式我们采用先通分化为一个分式,要么是“ 0 0 \frac{0}{0} 00”型,要么是“ ∞ ∞ \frac{\infty}{\infty} ∞∞”型,然后利用洛必达法则计算极限。
例5 计算:
- lim x → 1 ( 1 x − 1 − 1 ln x ) \lim\limits_{x \to 1} (\frac{1}{x - 1} - \frac{1}{\ln x}) x→1lim(x−11−lnx1)
- lim x → π 2 ( tan x − 1 cos x ) \lim\limits_{x \to \frac{\pi}{2}} (\tan x - \frac{1}{\cos x}) x→2πlim(tanx−cosx1)
(3) “ 1 ∞ 1^{\infty} 1∞”型
对于“ 1 ∞ 1^{\infty} 1∞”型,采用对数恒等式 a = e ln a a = e^{\ln a} a=elna,将其化为乘积形式,即“ 0 ⋅ ∞ 0 \cdot \infty 0⋅∞”型,再化为“ 0 0 \frac{0}{0} 00”型或“ ∞ ∞ \frac{\infty}{\infty} ∞∞”型,最后利用洛必达法则计算极限。
(4) “ 0 0 0^0 00”型
同样利用对数恒等式,先化为“ 0 ⋅ ∞ 0 \cdot \infty 0⋅∞”型,再进一步转化为“ 0 0 \frac{0}{0} 00”型或“ ∞ ∞ \frac{\infty}{\infty} ∞∞”型,通过洛必达法则求解。
(5) “ ∞ 0 \infty^0 ∞0”型
利用对数恒等式转化为“ 0 ⋅ ∞ 0 \cdot \infty 0⋅∞”型,后续步骤同上述两种类型,转化为“ 0 0 \frac{0}{0} 00”型或“ ∞ ∞ \frac{\infty}{\infty} ∞∞”型后用洛必达法则计算极限。
例6 计算:
- lim x → 0 ( 1 + x ) 1 x \lim\limits_{x \to 0} (1 + x)^{\frac{1}{x}} x→0lim(1+x)x1
- lim x → 0 + x x \lim\limits_{x \to 0^+} x^x x→0+limxx
- lim x → + ∞ x 1 x \lim\limits_{x \to +\infty} x^{\frac{1}{x}} x→+∞limxx1
