多物理场耦合低温等离子体装置求解器PASSKEy2
文章目录
- PASSKEy2简介
 - PASSKEY2计算流程
 - PASSKEy2 中求解的物理方程
 - 电路模型
 - 等离子体模型
 - 燃烧模型
 
- PASSKEy2的使用
 
PASSKEy2简介
PASSKEy2 是在 PASSKEy1 的基础上重新编写的等离子体数值模拟程序。 相较于 PASSKEy1, PASSKEy2 在具备解决低温等离子体模拟问题的能力基础上,进行了重大升级, 新增了几个重要功能:(1)从固定的笛卡尔网格改成了动态自适应网格,进一步优化减少总网格数量;(2)从显示积分改成了隐式积分,进一步优化减小单步计算时间步长,显著加快计算速度;(3)耦合了流体、燃烧和外部电路,进一步扩大适用范围;(4)几何文件可以通过载入CAD文件生成。
PASSKEY2计算流程

PASSKEy2 中求解的物理方程
电路模型
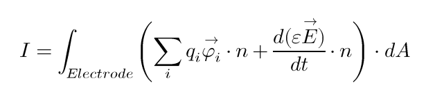
对于等离子体的外部耦合电路,等离子体相当于一个非线性黑盒,只能进行时域暂态分析,因此电路模块通过求解 ODE 方程在时域中实时求解电路电压电流值,并通过端口电压电流与等离子体模块进行耦合。模型将等离子体视作电流源,解得电路 ODE 方程后,得到该电流源的端口电压,作为计算域内松方方程的边界条件。其中,电极电流的计算包含两部分,即位移与传导电流。传导电流通过介电极表面的各成分通量积分求和得到,位移电流则是电位移矢量介时间的导数在电极表面的积分。
 
 电路回路及可调参数如下图所示,共设置了四条 RLC 支路及一电压源,通过参数设置可满足大多数简单电路需求。在使用过程中,注意电流/电压初始值的配置尽量符合空实物理情况,否则电路初始时刻可能会出现震荡。四条支路的 RLC 编号顺序及电压、电流默认正方向如下图所示,配置时注意正负。
 
 注意:出于 ODE 参数决定的计算稳定性,若想删去某条支路,建议通过为此电容/电感做开路赋值来实现。
等离子体模型
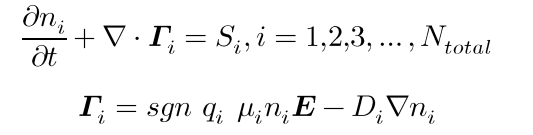
PASSKEy2 所解决的非平衡等离子体数值模拟问题通常在大气压范围内,故采用流体模型进行描述。等离子体流体模型将等离子体区域视为存在大量高频碰撞反应的、并满足连续介质假设的流体。等离子体流体模型已广泛应用于研究在电场影响下、包含反应动力学过程非平衡等离子体的时空演化和物理特性,虽然不同数值模型的计算测量和实现算法有所区别,但都基于求解连续性方程。
 
 从上述方程可以看出,组分密度 的求解需要已知电场 , 反应源项 ,以及输运参数。电场求解基于耦合空间电荷的松方方程,要要时还需要虑表面电荷累积效应,反应源项 等离子体中发生的反应产生。它由产生组分的反应和消耗此类组分的反应组成。
 
输运参数和反应速率系数取决于粒子的能量分布,能量分布依赖于近似的方式,如果将电子碰撞反应速率系数和电子输运系数存储为电场的函数,那么该模型即遵循局域场近似 Local field approximation, LFA)。局域场近似假设局部吸收的电功率与电离耗散的功率完全平衡,只需要计算密度连续方程和电势方程,通过电势方程得到电场,从能确定电子群参数,再求解连续性方程;如果将电子碰撞反应速率系数和电子输运系数存储为电子能量的函数,那么该模型即遵循局域能量近似 Local mean energy approximation, LMEA)。在局域能量近似下,不仅需要计算密度连续性方程和电,方程,还要额外计算电子能量守恒方程得到电子能量分布,以电子能量为索引确定电子群参数。一般能言,LMEA 相较于 LFA 能言具有更高的精度, 已有相关工作讨论了其优缺点和适用范围。 在 PASSKEy2 程序中,同时支持了 LFA 和 LMEA 近似,但更为推荐使用
 LMEA 进行计算。
 
燃烧模型
流动-燃烧的计算基于计算流体力学 CFD)和燃烧反应动力学,即求解 Navier-Stokes 方程、组分输运方程与燃烧反应源项 包括组分源项和热源项)。当引入非平衡等离子体时,组分输运方程与等离子体连续性方程实质上是等价的,故不再重复虑。
PASSKEy2的使用

 
具体操作过程可以查看哔哩哔哩视频:DeePlaskin
大家有问题欢迎到网页上留言,我们共同探讨:等离子体计算工坊论坛
