leetcode0106. 从中序与后序遍历序列构造二叉树-medium
1 题目:从中序与后序遍历序列构造二叉树
官方标定难度:中
给定两个整数数组 inorder 和 postorder ,其中 inorder 是二叉树的中序遍历, postorder 是同一棵树的后序遍历,请你构造并返回这颗 二叉树 。
示例 1:

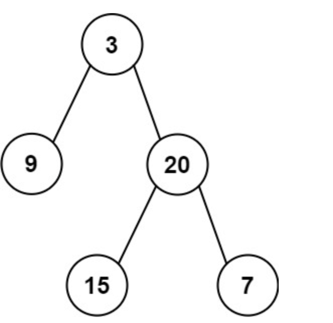
输入:inorder = [9,3,15,20,7], postorder = [9,15,7,20,3]
输出:[3,9,20,null,null,15,7]
示例 2:
输入:inorder = [-1], postorder = [-1]
输出:[-1]
提示:
1 <= inorder.length <= 3000
postorder.length == inorder.length
-3000 <= inorder[i], postorder[i] <= 3000
inorder 和 postorder 都由 不同 的值组成
postorder 中每一个值都在 inorder 中
inorder 保证是树的中序遍历
postorder 保证是树的后序遍历
2 solution
后序遍历的最后一个节点为根节点,从中序遍历中找到该根节点,根节点左右两边分别是左右子树,递归进行进去就可以重建该二叉树。
代码
/*** Definition for a binary tree node.* struct TreeNode {* int val;* TreeNode *left;* TreeNode *right;* TreeNode() : val(0), left(nullptr), right(nullptr) {}* TreeNode(int x) : val(x), left(nullptr), right(nullptr) {}* TreeNode(int x, TreeNode *left, TreeNode *right) : val(x), left(left), right(right) {}* };*/
class Solution {vector<int> in;vector<int> post;TreeNode *buildTree(int r, int rr, int n) {if(n == 0) return nullptr;auto *node = new TreeNode(post[rr]);int pos = find(in.begin(), in.end(), post[rr]) - in.begin();int rn = r - pos; node->left = buildTree(pos - 1, rr - rn - 1, n - rn - 1);node->right = buildTree(r, rr - 1, rn);return node;}public:TreeNode *buildTree(vector<int> &inorder, vector<int> &postorder) {in = inorder;post = postorder;return buildTree(inorder.size() - 1, inorder.size() - 1, inorder.size());}
};
结果

