【Redis】 Redis中常见的数据类型(二)
文章目录
- 前言
- 一、 List 列表
- 1. List 列表简介
- 2.命令
- 3. 阻塞版本命令
- 4. 内部编码
- 5. 使用场景
- 二、Set 集合
- 1. Set简单介绍
- 2. 普通命令
- 3 . 集合间操作
- 4. 内部编码
- 5. 使用场景
- 三、Zset 有序集合
- 1.Zset 有序集合简介
- 2. 普通命令
- 3. 集合间操作
- 4. 内部编码
- 5. 使用场景
- 结语

前言
在Redis中常见的数据类型(一)中,为大家介绍了redis中的String字符串以及哈希表两种数据结构,接下来本文将延续上文,接着介绍redis中的常见数据类型
一、 List 列表
1. List 列表简介
列表类型是用来存储多个有序的字符串,如下图所示,a、b、c、d、e 五个元素从左到右组成 了一个有序的列表,列表中的每个字符串称为元素(element),⼀个列表最多可以存储个元素。在 Redis 中,可以对列表两端插入(push)和弹出(pop),还可以获取指定范围的元素列表、 获取指定索引下标的元素等(见下图)。列表是一种比较灵活的数据结构,它可以充当栈和队列的角色,在实际开发上有很多应用场景。
列表两端插入和弹出操作:

列表的获取、删除等操作

列表类型的特点:
第⼀、列表中的元素是有序的,这意味着可以通过索引下标获取某个元素或者某个范围的元素列表, 例如要获取上图的第 5 个元素,可以执行 lindex user:1:messages 4 或者倒数第 1 个元素,lindexuser:1:messages -1 就可以得到元素 e。
第二、区分获取和删除的区别,例如图 2-20 中的 lrem 1 b 是从列表中把从左数遇到的前 1 个 b 元素删除,这个操作会导致列表的长度从 5 变成 4;但是执行 lindex 4 只会获取元素,但列表长度是不会变化 的。
第三、列表中的元素是允许重复的,例如下图中的列表中是包含了两个 a 元素的。
列表中允许有重复元素

2.命令
LPUSH
将⼀个或者多个元素从左侧放入(头插)到 list 中
语法:
LPUSH key element [element ...]
时间复杂度:只插入一个元素为 O(1), 插⼊多个元素为 O(N), N 为插⼊元素个数.
返回值:插入后 list 的长度
示例:
redis> LPUSH mylist "world"
(integer) 1
redis> LPUSH mylist "hello"
(integer) 2
redis> LRANGE mylist 0 -1
1) "hello"
2) "world
LPUSHX
在 key 存在时,将⼀个或者多个元素从左侧放⼊(头插)到 list 中。不存在,直接返回
语法:
LPUSHX key element [element ...]
时间复杂度:只插入⼀个元素为 O(1), 插入多个元素为 O(N), N 为插入元素个数.
返回值:插入后 list 的长度。
示例:
redis> LPUSH mylist "World"
(integer) 1
redis> LPUSHX mylist "Hello"
(integer) 2
redis> LPUSHX myotherlist "Hello"
(integer) 0
redis> LRANGE mylist 0 -1
1) "Hello"
2) "World"
redis> LRANGE myotherlist 0 -1
(empty array)
RPUSH
将⼀个或者多个元素从右侧放入(尾插)到 list 中。
语法:
RPUSH key element [element ...
时间复杂度:只插入⼀个元素为 O(1), 插入多个元素为 O(N), N 为插入元素个数.
返回值:插入后 list 的长度。
示例:
redis> RPUSH mylist "world"
(integer) 1
redis> RPUSH mylist "hello"
(integer) 2
redis> LRANGE mylist 0 -1
1) "world"
2) "hello"
RPUSHX
在 key 存在时,将⼀个或者多个元素从右侧放⼊(尾插)到 list 中。
语法:
RPUSHX key element [element ...]
时间复杂度:只插入⼀个元素为 O(1), 插入多个元素为 O(N), N 为插入元素个数.
返回值:插入后 list 的长度。
示例:
redis> RPUSH mylist "World"
(integer) 1
redis> RPUSHX mylist "Hello"
(integer) 2
redis> RPUSHX myotherlist "Hello"
(integer) 0
redis> LRANGE mylist 0 -1
1) "World"
2) "Hello"
redis> LRANGE myotherlist 0 -1
(empty array)
LRANGE
获取从 start 到 end 区间的所有元素,左闭右闭。
语法:
LRANGE key start stop
时间复杂度:O(N)
返回值:指定区间的元素。
示例:
redis> RPUSH mylist "one"
(integer) 1
redis> RPUSH mylist "two"
(integer) 2
redis> RPUSH mylist "three"
(integer) 3
redis> LRANGE mylist 0 0
1) "one"
redis> LRANGE mylist -3 2
1) "one"
2) "two"
3) "three"
redis> LRANGE mylist -100 100
1) "one"
2) "two"
3) "three"
redis> LRANGE mylist 5 10
(empty array)
LPOP
从 list 左侧取出元素(即头删)。
语法:
LPOP key
时间复杂度:O(1)
返回值:取出的元素或者 nil。
示例:
redis> RPUSH mylist "one" "two" "three" "four" "five"
(integer) 5
redis> LPOP mylist
"one"
redis> LPOP mylist
"two"
redis> LPOP mylist
"three"
redis> LRANGE mylist 0 -1
1) "four"
2) "five"
RPOP
从 list 右侧取出元素(即尾删)
语法:
RPOP key
时间复杂度:O(1)
返回值:取出的元素或者 nil。
示例:
redis> RPUSH mylist "one" "two" "three" "four" "five"
(integer) 5
redis> RPOP mylist
"five"
redis> LRANGE mylist 0 -1
1) "one"
2) "two"
3) "three"
4) "four"
LINDEX
获取从左数第 index 位置的元素。
语法:
LINDEX key index
时间复杂度:O(N)
返回值:取出的元素或者 nil。
示例:
redis> LPUSH mylist "World"
(integer) 1
redis> LPUSH mylist "Hello"
(integer) 2
redis> LINDEX mylist 0
"Hello"
redis> LINDEX mylist -1
"World"
redis> LINDEX mylist 3
(nil)
LINSERT
在特定位置插入元素。
语法:
LINSERT key <BEFORE | AFTER> pivot element
时间复杂度:O(N)
返回值:插⼊后的 list 长度。
示例:
redis> RPUSH mylist "Hello"
(integer) 1
redis> RPUSH mylist "World"
(integer) 2
redis> LINSERT mylist BEFORE "World" "There"
(integer) 3
redis> LRANGE mylist 0 -1
1) "Hello"
2) "There"
3) "World
LLEN
获取 list 长度。
语法:
LLEN key
时间复杂度:O(1)
返回值:list 的长度。
示例:
redis> LPUSH mylist "World"
(integer) 1
redis> LPUSH mylist "Hello"
(integer) 2
redis> LLEN mylist
(integer) 2
3. 阻塞版本命令
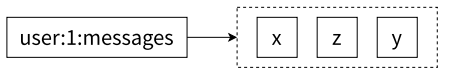
blpop 和 brpop 是 lpop 和 rpop 的阻塞版本,和对应非阻塞版本的作用基本⼀致,除了:
• 在列表中有元素的情况下,阻塞和非阻塞表现是⼀致的。但如果列表中没有元素,非阻塞版本会理解返回 nil,但阻塞版本会根据 timeout,阻塞⼀段时间,期间 Redis 可以执行其他命令,但要求执行该命令的客户端会表现为阻塞状态。(如下图所示)
• 命令中如果设置了多个键,那么会从左向右进行遍历键,一旦有⼀个键对应的列表中可以弹出元素,命令立即返回。
• 如果多个客户端同时多⼀个键执行pop,则最先执行命令的客户端会得到弹出的元素。
阻塞版本的 blpop 和非阻塞版本 lpop 的区别:
列表不为空时:
lpop user:1:messages 得到 x 元素
blpop user:1:messages 得到 x 元素
两者行为⼀致

列表不为空时,且 5 秒内没有新元素加入:
lpop user:1:messages 立即得到 nil
blpop user:1:messages 5 执行命令 5 秒后得到 nil
两者行为不一致

列表不为空时,且 5 秒内有新元素加⼊:
lpop user:1:messages 立即得到 nil
blpop user:1:messages 5 执行命令,直到新元素加入,得到新元素
两者行为不⼀致
BLPOP
LPOP 的阻塞版本。
语法:
BLPOP key [key ...] timeout
时间复杂度:O(1)
返回值:取出的元素或者 nil。
示例:
redis> EXISTS list1 list2
(integer) 0
redis> RPUSH list1 a b c
(integer) 3
redis> BLPOP list1 list2 0
1) "list1"
2) "a"
BRPOP
RPOP 的阻塞版本。
语法:
BRPOP key [key ...] timeout
时间复杂度:O(1)
返回值:取出的元素或者 nil。
示例:
redis> DEL list1 list2
(integer) 0
redis> RPUSH list1 a b c
(integer) 3
redis> BRPOP list1 list2 0
1) "list1"
2) "c"
4. 内部编码
列表类型的内部编码有两种:
• ziplist(压缩列表):当列表的元素个数小于 list-max-ziplist-entries 配置(默认 512 个),同时 列表中每个元素的长度都小于 list-max-ziplist-value 配置(默认 64 字节)时,Redis 会选用ziplist 来作为列表的内部编码实现来减少内存消耗。
• linkedlist(链表):当列表类型无法满足 ziplist 的条件时,Redis 会使用linkedlist 作为列表的内部实现。
1)当元素个数较少且没有大元素时,内部编码为 ziplist:
127.0.0.1:6379> rpush listkey e1 e2 e3
OK
127.0.0.1:6379> object encoding listkey
"ziplist"
2)当元素个数超过 512 时,内部编码为 linkedlist:
127.0.0.1:6379> rpush listkey e1 e2 e3 ... 省略 e512 e513
OK
127.0.0.1:6379> object encoding listkey
"linkedlist"
3)当某个元素的长度超过 64 字节时,内部编码为 linkedlist:
127.0.0.1:6379> rpush listkey "one string is bigger than 64 bytes ... 省略 ..."
OK
127.0.0.1:6379> object encoding listkey
"linkedlist"
5. 使用场景
消息队列
如下图所示,Redis 可以使用 lpush + brpop 命令组合实现经典的阻塞式生产者-消费者模型队列, 生产者客户端使用 lpush 从列表左侧插入元素,多个消费者客户端使用 brpop 命令阻塞式地从队列中 “争抢” 队首元素。通过多个客户端来保证消费的负载均衡和高可用性。

分频道的消息队列
如下图 所示,Redis 同样使用 lpush + brpop 命令,但通过不同的键模拟频道的概念,不同的消费者可以通过 brpop 不同的键值,实现订阅不同频道的理念。

微博 Timeline
每个用户都有属于自己的 Timeline(微博列表),现需要分页展示文章列表。此时可以考虑使用列表,因为列表不但是有序的,同时支持按照索引范围获取元素。
1)每篇微博使用哈希结构存储,例如微博中 3 个属性:title、timestamp、content:
hmset mblog:1 title xx timestamp 1476536196 content xxxxx
...
hmset mblog:n title xx timestamp 1476536196 content xxxxx
2)向用户 Timeline 添加微博,user::mblogs 作为微博的键:
lpush user:1:mblogs mblog:1 mblog:3
...
lpush user:k:mblogs mblog:9
3)分页获取用户的 Timeline,例如获取用户 1 的前 10 篇微博:
keylist = lrange user:1:mblogs 0 9
for key in keylist {hgetall key
}
此方案在实际中可能存在两个问题:
1 . 1 + n 问题。即如果每次分页获取的微博个数较多,需要执行多次 hgetall 操作,此时可以考虑使用pipeline(流⽔线)模式批量提交命令,或者微博不采用哈希类型,而是使用序列化的字符串类 型,使用 mget 获取。
2 . 分裂获取文章时,lrange 在列表两端表现较好,获取列表中间的元素表现较差,此时可以考虑将列表做拆分。
注意:
选择列表类型时,请参考:
同侧存取(lpush + lpop 或者 rpush + rpop)为栈
异侧存取(lpush + rpop 或者 rpush + lpop)为队列
二、Set 集合
1. Set简单介绍
集合类型也是保存多个字符串类型的元素的,但和列表类型不同的是,集合中 1)元素之间是无序 的 2)元素不允许重复,如下图所示。一个集合中最多可以存储个元素。Redis 除了支持集合内的增删查改操作,同时还支持多个集合取交集、并集、差集,合理地使用好集合类型,能在实际开发中解决很多问题。
集合类型

2. 普通命令
SADD
将一个或者多个元素添加到 set 中。注意,重复的元素无法添加到 set 中。
语法:
SADD key member [member ...]
时间复杂度:O(1)
返回值:本次添加成功的元素个数。
示例:
redis> SADD myset "Hello"
(integer) 1
redis> SADD myset "World"
(integer) 1
redis> SADD myset "World"
(integer) 0
redis> SMEMBERS myset
1) "Hello"
2) "World"
SMEMBERS
获取⼀个 set 中的所有元素,注意,元素间的顺序是无序的。
语法:
SMEMBERS key
时间复杂度:O(N)
返回值:所有元素的列表。
示例:
redis> SADD myset "Hello"
(integer) 1
redis> SADD myset "World"
(integer) 1
redis> SMEMBERS myset
1) "Hello"
2) "World"
SISMEMBER
判断⼀个元素在不在 set 中。
语法:
SISMEMBER key member
时间复杂度:O(1)
返回值:1 表⽰元素在 set 中。0 表⽰元素不在 set 中或者 key 不存在。
示例:
redis> SADD myset "one"
(integer) 1
redis> SISMEMBER myset "one"
(integer) 1
redis> SISMEMBER myset "two"
(integer) 0
SCARD
获取⼀个 set 的基数(cardinality),即 set 中的元素个数。
语法:
SCARD key
时间复杂度:O(1)
返回值:set 内的元素个数。
示例:
redis> SADD myset "Hello"
(integer) 1
redis> SADD myset "World"
(integer) 1
redis> SCARD myset
(integer) 2
SPOP
从 set 中删除并返回⼀个或者多个元素。注意,由于 set 内的元素是⽆序的,所以取出哪个元素实际是 未定义行为,即可以看作随机的。
语法:
SPOP key [count]
时间复杂度:O(N), n 是 count
返回值:取出的元素。
示例:
redis> SADD myset "one"
(integer) 1
redis> SADD myset "two"
(integer) 1
redis> SADD myset "three"
(integer) 1
redis> SPOP myset
"one"
redis> SMEMBERS myset
1) "three"
2) "two"
redis> SADD myset "four"
(integer) 1
redis> SADD myset "five"
(integer) 1
redis> SPOP myset 3
1) "three"
2) "four"
3) "two"
redis> SMEMBERS myset
1) "five"
SMOVE
将⼀个元素从源 set 取出并放入目标 set 中。
语法:
SMOVE source destination member
时间复杂度:O(1)
返回值:1 表示移动成功,0 表示失败。
redis> SADD myset "one"
(integer) 1
redis> SADD myset "two"
(integer) 1
redis> SADD myotherset "three"
(integer) 1
redis> SMOVE myset myotherset "two"
(integer) 1
redis> SMEMBERS myset
1) "one"
redis> SMEMBERS myotherset
1) "three"
2) "two"
SREM
将指定的元素从 set 中删除。
语法:
SREM key member [member ...]
时间复杂度:O(N), N 是要删除的元素个数.
返回值:本次操作删除的元素个数。
示例:
redis> SADD myset "one"
(integer) 1
redis> SADD myset "two"
(integer) 1
redis> SADD myset "three"
(integer) 1
redis> SREM myset "one"
(integer) 1
redis> SREM myset "four"
(integer) 0
redis> SMEMBERS myset
1) "three"
2) "two"
3 . 集合间操作
交集(inter)、并集(union)、差集(diff)的概念如下图所示。

SINTER
获取给定 set 的交集中的元素。
语法:
SINTER key [key ...]
时间复杂度:O(N * M), N 是最⼩的集合元素个数. M 是最大的集合元素个数.
返回值:交集的元素
示例:
redis> SADD key1 "a"
(integer) 1
redis> SADD key1 "b"
(integer) 1
redis> SADD key1 "c"
(integer) 1
redis> SADD key2 "c"
(integer) 1
redis> SADD key2 "d"
(integer) 1
redis> SADD key2 "e"
(integer) 1
redis> SINTER key1 key2
1) ”c“
SINTERSTORE
获取给定 set 的交集中的元素并保存到目标 set 中。
语法:
SINTERSTORE destination key [key ...]
时间复杂度:O(N * M), N 是最小的集合元素个数. M 是最大的集合元素个数.
返回值:交集的元素个数。
示例:
redis> SADD key1 "a"
(integer) 1
redis> SADD key1 "b"
(integer) 1
redis> SADD key1 "c"
(integer) 1
redis> SADD key2 "c"
(integer) 1
redis> SADD key2 "d"
(integer) 1
redis> SADD key2 "e"
(integer) 1
redis> SINTERSTORE key key1 key2
(integer) 1
redis> SMEMBERS key
1) "c"
SUNION
获取给定 set 的并集中的元素。
语法:
SUNION key [key ...]
时间复杂度:O(N), N 给定的所有集合的总的元素个数.
返回值:并集的元素。
示例:
redis> SADD key1 "a"
(integer) 1
redis> SADD key1 "b"
(integer) 1
redis> SADD key1 "c"
(integer) 1
redis> SADD key2 "c"
(integer) 1
redis> SADD key2 "d"
(integer) 1
redis> SADD key2 "e"
(integer) 1
redis> SUNION key1 key2
1) "a"
2) "c"
3) "e"
4) "b"
5) "d"
SUNIONSTORE
获取给定 set 的并集中的元素并保存到目标 set 中。
语法:
SUNIONSTORE destination key [key ...]
时间复杂度:O(N), N 给定的所有集合的总的元素个数.
返回值:并集的元素个数。
示例:
redis> SADD key1 "a"
(integer) 1
redis> SADD key1 "b"
(integer) 1
redis> SADD key1 "c"
(integer) 1
redis> SADD key2 "c"
(integer) 1
redis> SADD key2 "d"
(integer) 1
redis> SADD key2 "e"
(integer) 1
redis> SDIFF key1 key2
1) "a"
2) "b"
SDIFFSTORE
获取给定 set 的差集中的元素并保存到目标 set 中
语法:
SDIFFSTORE destination key [key ...]
时间复杂度:O(N), N 给定的所有集合的总的元素个数.
返回值:差集的元素个数。
示例:
redis> SADD key1 "a"
(integer) 1
redis> SADD key1 "b"
(integer) 1
redis> SADD key1 "c"
(integer) 1
redis> SADD key2 "c"
(integer) 1
redis> SADD key2 "d"
(integer) 1
redis> SADD key2 "e"
(integer) 1
redis> SDIFFSTORE key key1 key2
(integer) 2
redis> SMEMBERS key
1) "a"
2) "b"
4. 内部编码
集合类型的内部编码有两种:
• intset(整数集合):当集合中的元素都是整数并且元素的个数小于 set-max-intset-entries 配置 (默认 512 个)时,Redis 会选用intset 来作为集合的内部实现,从而减少内存的使用。
• hashtable(哈希表):当集合类型无法满足 intset 的条件时,Redis 会使用 hashtable 作为集合的内部实现
1)当元素个数较少并且都为整数时,内部编码为 intset:
127.0.0.1:6379> sadd setkey 1 2 3 4
(integer) 4
127.0.0.1:6379> object encoding setkey
"intset”
2)当元素个数超过 512 个,内部编码为 hashtable:
127.0.0.1:6379> sadd setkey 1 2 3 4
(integer) 513
127.0.0.1:6379> object encoding setkey
"hashtable“
3)当存在元素不是整数时,内部编码为 hashtable:
127.0.0.1:6379> sadd setkey a
(integer) 1
127.0.0.1:6379> object encoding setkey
"hashtable”
5. 使用场景
集合类型比较典型的使⽤场景是标签(tag)。例如 A 用户对娱乐、体育板块比较感兴趣,B 用户对历史、新闻比较感兴趣,这些兴趣点可以被抽象为标签。有了这些数据就可以得到喜欢同⼀个标签 的⼈,以及用户的共同喜好的标签,这些数据对于增强用户体验和用户黏度都非常有帮助。 例如⼀个 电子商务网站会对不同标签的用户做不同的产品推荐。
下面的演示通过集合类型来实现标签的若干功能。
1)给用户添加标签
sadd user:1:tags tag1 tag2 tag5
sadd user:2:tags tag2 tag3 tag5
...
sadd user:k:tags tag1 tag2 tag4
2)给标签添加用户
sadd tag1:users user:1 user:3
sadd tag2:users user:1 user:2 user:3
...
sadd tagk:users user:1 user:4 user:9 user:28
3)删除用户下的标签
srem user:1:tags tag1 tag5
...
4)删除标签下的用户
srem tag1:users user:1
srem tag5:users user:1
...
5)计算用户的共同兴趣标签
sinter user:1:tags user:2:tags
三、Zset 有序集合
1.Zset 有序集合简介
有序集合相对于字符串、列表、哈希、集合来说会有⼀些陌生。它保留了集合不能有重复成员的特点,但与集合不同的是,有序集合中的每个元素都有⼀个唯⼀的浮点类型的分数(score)与之关 联,着使得有序集合中的元素是可以维护有序性的,但这个有序不是用下标作为排序依据⽽是⽤这个 分数。如下图所示,该有序集合显示了三国中的武将的武力。
有序集合:

有序集合提供了获取指定分数和元素范围查找、计算成员排名等功能,合理地利用有序集合,可 以帮助我们在实际开发中解决很多问题。
注意:
有序集合中的元素是不能重复的,但分数允许重复。类⽐于⼀次考试之后,每个人⼀定有一个唯一的分数,但分数允许相同
下表描述列表、集合、有序集合三者的异同点

2. 普通命令
ZADD
添加或者更新指定的元素以及关联的分数到 zset 中,分数应该符合 double 类型,+inf/-inf 作为正负 极限也是合法的。
ZADD 的相关选项:
• XX:仅仅用于更新已经存在的元素,不会添加新元素。
• NX:仅用于添加新元素,不会更新已经存在的元素。
• CH:默认情况下,ZADD 返回的是本次添加的元素个数,但指定这个选项之后,就会还包含本次更 新的元素的个数。
• INCR:此时命令类似 ZINCRBY 的效果,将元素的分数加上指定的分数。此时只能指定⼀个元素和分数。
语法:
ZADD key [NX | XX] [GT | LT] [CH] [INCR] score member [score member...]
时间复杂度:O(log(N))
返回值:本次添加成功的元素个数。
示例:
redis> ZADD myzset 1 "one"
(integer) 1
redis> ZADD myzset 1 "uno"
(integer) 1
redis> ZADD myzset 2 "two" 3 "three"
(integer) 2
redis> ZRANGE myzset 0 -1 WITHSCORES
1) "one"
2) "1"
3) "uno"
4) "1"
5) "two"
6) "2"
7) "three"
8) "3"
redis> ZADD myzset 10 one 20 two 30 three
(integer) 0
redis> ZRANGE myzset 0 -1 WITHSCORES
1) "uno"
2) "1"
3) "one"
4) "10"
5) "two"
6) "20"
7) "three"
8) "30"
redis> ZADD myzset CH 100 one 200 two 300 three
(integer) 3
redis> ZRANGE myzset 0 -1 WITHSCORES
1) "uno"
2) "1"
3) "one"
4) "100"
5) "two"
6) "200"
7) "three"
8) "300"
redis> ZADD myzset XX 1 one 2 two 3 three 4 four 5 five
(integer) 0
redis> ZRANGE myzset 0 -1 WITHSCORES
1) "one"
2) "1"
3) "uno"
4) "1"
5) "two"
6) "2"
7) "three"
8) "3"
redis> ZADD myzset NX 100 one 200 two 300 three 400 four 500 five
(integer) 2
redis> ZRANGE myzset 0 -1 WITHSCORES1) "one"2) "1"3) "uno"4) "1"5) "two"6) "2"7) "three"8) "3"9) "four"
10) "400"
11) "five"
12) "500"
redis> ZADD myzset INCR 10 one
"11"
redis> ZRANGE myzset 0 -1 WITHSCORES1) "uno"2) "1"3) "two"4) "2"5) "three"6) "3"7) "one"8) "11"9) "four"
10) "400"
11) "five"
12) "500"
redis> ZADD myzset -inf "negative infinity" +inf "positive infinity"
(integer) 2
redis> ZRANGE myzset 0 -1 WITHSCORES1) "negative infinity"2) "-inf"3) "uno"4) "1"5) "two"6) "2"7) "three"8) "3"9) "one"
10) "11"
11) "four"
12) "400"
13) "five"
14) "500"
15) "positive infinity"
16) "inf"
ZCARD
获取⼀个 zset 的基数(cardinality),即 zset 中的元素个数。
语法:
ZCARD key
时间复杂度:O(1)
返回值:zset 内的元素个数。
示例:
redis> ZADD myzset 1 "one"
(integer) 1
redis> ZADD myzset 2 "two"
(integer) 1
redis> ZCARD myzset
(integer) 2
ZCOUNT
返回分数在 min 和 max 之间的元素个数,默认情况下,min 和 max 都是包含的,可以通过 ( 排除。
语法:
ZCOUNT key min max
时间复杂度:O(log(N))
返回值:满⾜条件的元素列表个数。
示例:
redis> ZADD myzset 1 "one"
(integer) 1
redis> ZADD myzset 2 "two"
(integer) 1
redis> ZADD myzset 3 "three"
(integer) 1
redis> ZCOUNT myzset -inf +inf
(integer) 3
redis> ZCOUNT myzset 1 3
(integer) 3
redis> ZCOUNT myzset (1 3
(integer) 2
redis> ZCOUNT myzset (1 (3
(integer) 1
ZRANGE
返回指定区间里的元素,分数按照升序。带上 WITHSCORES 可以把分数也返回。
语法:
ZRANGE key start stop [WITHSCORES]
此处的 [start, stop] 为下标构成的区间. 从 0 开始, 支持负数.
时间复杂度:O(log(N)+M)
返回值:区间内的元素列表。
示例:
redis> ZADD myzset 1 "one"
(integer) 1
redis> ZADD myzset 2 "two"
(integer) 1
redis> ZADD myzset 3 "three"
(integer) 1
redis> ZRANGE myzset 0 -1 WITHSCORES
1) "one"
2) "1"
3) "two"
4) "2"
5) "three"
6) "3"
redis> ZRANGE myzset 0 -1
1) "one"
2) "two"
3) "three"
redis> ZRANGE myzset 2 3
1) "three"
redis> ZRANGE myzset -2 -1
1) "two"
2) "three"
ZREVRANGE
返回指定区间里的元素,分数按照降序。带上 WITHSCORES 可以把分数也返回。
语法:
ZREVRANGE key start stop [WITHSCORES]
时间复杂度:O(log(N)+M)
返回值:区间内的元素列表。
示例:
redis> ZADD myzset 1 "one"
(integer) 1
redis> ZADD myzset 2 "two"
(integer) 1
redis> ZADD myzset 3 "three"
(integer) 1
redis> ZREVRANGE myzset 0 -1 WITHSCORES
1) "three"
2) "3"
3) "two"
4) "2"
5) "one"
6) "1"
redis> ZREVRANGE myzset 0 -1
1) "three"
2) "two"
3) "one"
redis> ZREVRANGE myzset 2 3
1) "one"
redis> ZREVRANGE myzset -2 -1
1) "two"
2) "one"
ZRANGEBYSCORE
返回分数在 min 和 max 之间的元素,默认情况下,min 和 max 都是包含的,可以通过 ( 排除。
语法:
ZRANGEBYSCORE key min max [WITHSCORES]
时间复杂度:O(log(N)+M)
返回值:区间内的元素列表。
示例:
redis> ZADD myzset 1 "one"
(integer) 1
redis> ZADD myzset 2 "two"
(integer) 1
redis> ZADD myzset 3 "three"
(integer) 1
redis> ZRANGEBYSCORE myzset -inf +inf
1) "one"
2) "two"
3) "three"
redis> ZRANGEBYSCORE myzset 1 2
1) "one"
2) "two"
redis> ZRANGEBYSCORE myzset (1 2
1) "two"
redis> ZRANGEBYSCORE myzset (1 (2
(empty array)
ZPOPMAX
删除并返回分数最⾼的 count 个元素。
语法:
ZPOPMAX key [count]
时间复杂度:O(log(N) * M)
返回值:分数和元素列表。
示例:
redis> ZADD myzset 1 "one"
(integer) 1
redis> ZADD myzset 2 "two"
(integer) 1
redis> ZADD myzset 3 "three"
(integer) 1
redis> ZPOPMAX myzset
1) "three"
2) "3"
BZPOPMAX
ZPOPMAX 的阻塞版本。
语法:
BZPOPMAX key [key ...] timeout
时间复杂度:O(log(N))
返回值:元素列表。
示例:
redis> DEL zset1 zset2
(integer) 0
redis> ZADD zset1 0 a 1 b 2 c
(integer) 3
redis> BZPOPMAX zset1 zset2 0
1) "zset1"
2) "c"
3) "2"
ZPOPMIN
删除并返回分数最低的 count 个元素。
语法:
ZPOPMIN key [count]
时间复杂度:O(log(N) * M)
返回值:分数和元素列表。
示例:
redis> ZADD myzset 1 "one"
(integer) 1
redis> ZADD myzset 2 "two"
(integer) 1
redis> ZADD myzset 3 "three"
(integer) 1
redis> ZPOPMIN myzset
1) "one"
2) "1"
BZPOPMIN
ZPOPMIN 的阻塞版本。
语法:
BZPOPMIN key [key ...] timeout
时间复杂度:O(log(N))
返回值:元素列表
示例:
redis> DEL zset1 zset2
(integer) 0
redis> ZADD zset1 0 a 1 b 2 c
(integer) 3
redis> BZPOPMIN zset1 zset2 0
1) "zset1"
2) "a"
3) "0"
ZRANK
返回指定元素的排名,升序。
语法:
ZRANK key member
时间复杂度:O(log(N))
返回值:排名。
示例:
redis> ZADD myzset 1 "one"
(integer) 1
redis> ZADD myzset 2 "two"
(integer) 1
redis> ZADD myzset 3 "three"
(integer) 1
redis> ZRANK myzset "three"
(integer) 2
redis> ZRANK myzset "four"
(nil)
ZREVRANK
返回指定元素的排名,降序。
语法:
ZREVRANK key member
时间复杂度:O(log(N))
返回值:排名。
示例:
redis> ZADD myzset 1 "one"
(integer) 1
redis> ZADD myzset 2 "two"
(integer) 1
redis> ZADD myzset 3 "three"
(integer) 1
redis> ZREVRANK myzset "one"
(integer) 2
redis> ZREVRANK myzset "four"
(nil)
ZSCORE
返回指定元素的分数。
语法:
`ZSCORE key member`
时间复杂度:O(1)
返回值:分数。
示例:
redis> ZADD myzset 1 "one"
(integer) 1
redis> ZSCORE myzset "one"
"1"
ZREM
删除指定的元素。
语法:
ZREM key member [member ...]
时间复杂度:O(M*log(N))
返回值:本次操作删除的元素个数。
示例:
redis> ZADD myzset 1 "one"
(integer) 1
redis> ZADD myzset 2 "two"
(integer) 1
redis> ZADD myzset 3 "three"
(integer) 1
redis> ZREM myzset "two"
(integer) 1
redis> ZRANGE myzset 0 -1 WITHSCORES
1) "one"
2) "1"
3) "three"
4) "3“
ZREMRANGEBYRANK
按照排序,升序删除指定范围的元素,左闭右闭。
语法:
ZREMRANGEBYRANK key start stop
时间复杂度:O(log(N)+M)
返回值:本次操作删除的元素个数。
示例:
redis> ZADD myzset 1 "one"
(integer) 1
redis> ZADD myzset 2 "two"
(integer) 1
redis> ZADD myzset 3 "three"
(integer) 1
redis> ZREMRANGEBYRANK myzset 0 1
(integer) 2
redis> ZRANGE myzset 0 -1 WITHSCORES
1) "three"
2) "3”
ZREMRANGEBYSCORE
按照分数删除指定范围的元素,左闭右闭。
语法:
ZREMRANGEBYSCORE key min max
时间复杂度:O(log(N)+M)
返回值:本次操作删除的元素个数。
示例:
redis> ZADD myzset 1 "one"
(integer) 1
redis> ZADD myzset 2 "two"
(integer) 1
redis> ZADD myzset 3 "three"
(integer) 1
redis> ZREMRANGEBYSCORE myzset -inf (2
(integer) 1
redis> ZRANGE myzset 0 -1 WITHSCORES
1) "two"
2) "2"
3) "three"
4) "3"
ZINCRBY
为指定的元素的关联分数添加指定的分数值。
语法:
ZINCRBY key increment member
时间复杂度:O(log(N))
返回值:增加后元素的分数。
示例:
redis> ZADD myzset 1 "one"
(integer) 1
redis> ZADD myzset 2 "two"
(integer) 1
redis> ZINCRBY myzset 2 "one"
"3"
redis> ZRANGE myzset 0 -1 WITHSCORES
1) "two"
2) "2"
3) "one"
4) "3"
3. 集合间操作
有序集合的交集操作

ZINTERSTORE
求出给定有序集合中元素的交集并保存进目标有序集合中,在合并过程中以元素为单位进行合并,元 素对应的分数按照不同的聚合方式和权重得到新的分数。
语法:
ZINTERSTORE destination numkeys key [key ...] [WEIGHTS weight[weight ...]] [AGGREGATE <SUM | MIN | MAX>]
时间复杂度:O(NK)+O(Mlog(M)) N 是输⼊的有序集合中, 最⼩的有序集合的元素个数; K 是输⼊了 ⼏个有序集合; M 是最终结果的有序集合的元素个数.
返回值:目标集合中的元素个数
示例:
redis> ZADD zset1 1 "one"
(integer) 1
redis> ZADD zset1 2 "two"
(integer) 1
redis> ZADD zset2 1 "one"
(integer) 1
redis> ZADD zset2 2 "two"
(integer) 1
redis> ZADD zset2 3 "three"
(integer) 1
redis> ZINTERSTORE out 2 zset1 zset2 WEIGHTS 2 3
(integer) 2
redis> ZRANGE out 0 -1 WITHSCORES
1) "one"
2) "5"
3) "two"
4) "10"
有序集合的并集操作

ZUNIONSTORE
求出给定有序集合中元素的并集并保存进目标有序集合中,在合并过程中以元素为单位进行合并,元素对应的分数按照不同的聚合方式和权重得到新的分数。
语法:
ZUNIONSTORE destination numkeys key [key ...] [WEIGHTS weight[weight ...]] [AGGREGATE <SUM | MIN | MAX>]
时间复杂度:O(N)+O(M*log(M)) N 是输⼊的有序集合总的元素个数; M 是最终结果的有序集合的元素 个数. 返回值:⽬标集合中的元素个数
示例:
redis> ZADD zset1 1 "one"
(integer) 1
redis> ZADD zset1 2 "two"
(integer) 1
redis> ZADD zset2 1 "one"
(integer) 1
redis> ZADD zset2 2 "two"
(integer) 1
redis> ZADD zset2 3 "three"
(integer) 1
redis> ZUNIONSTORE out 2 zset1 zset2 WEIGHTS 2 3
(integer) 3
redis> ZRANGE out 0 -1 WITHSCORES
1) "one"
2) "5"
3) "three"
4) "9"
5) "two"
6) "10"
4. 内部编码
有序集合类型的内部编码有两种:
• ziplist(压缩列表):当有序集合的元素个数小于 zset-max-ziplist-entries 配置(默认 128 个),
同时每个元素的值都小于 zset-max-ziplist-value 配置(默认 64 字节)时,Redis 会用ziplist 来作 为有序集合的内部实现,ziplist 可以有效减少内存的使用。
• skiplist(跳表):当 ziplist 条件不满足时,有序集合会使⽤ skiplist 作为内部实现,因为此时ziplist 的操作效率会下降
1)当元素个数较少且每个元素较小时,内部编码为 ziplist:
127.0.0.1:6379> zadd zsetkey 50 e1 60 e2 30 e3
(integer) 3
127.0.0.1:6379> object encoding zsetkey
"ziplist“
2)当元素个数超过 128 个,内部编码 skiplist:
127.0.0.1:6379> zadd zsetkey 50 e1 60 e2 30 e3 ... 省略 ... 82 e129
(integer) 129
127.0.0.1:6379> object encoding zsetkey
"skiplist"
3)当某个元素⼤于 64 字节时,内部编码 skiplist:
127.0.0.1:6379> zadd zsetkey 50 "one string bigger than 64 bytes ... 省略 ..."
(integer) 1
127.0.0.1:6379> object encoding zsetkey
"skiplist"
5. 使用场景
有序集合比较典型的使用场景就是排行榜系统。例如常见的网站上的热榜信息,榜单的维度可能 是方面的:按照时间、按照阅读量、按照点赞量。本例中我们使用点赞数这个维度,维护每天的热榜:
1)添加用户赞数
例如用户 james 发布了⼀篇文章,并获得 3 个赞,可以使用有序集合的 zadd 和 zincrby 功能:
zadd user:ranking:2022-03-15 3 james
之后如果再获得赞,可以使用 zincrby:
zincrby user:ranking:2022-03-15 1 james
2)取消用户赞数
由于各种原因(例如用户注销、用户作弊等)需要将⽤⼾删除,此时需要将用户从榜单中删除掉,可以使用 zrem。例如删除成员 tom:
zrem user:ranking: tom
3)展示获取赞数最多的 10 个用户
此功能使用 zrevrange 命令实现:
zrevrangebyrank user:ranking 0 9
4)展示用户信息以及用户分数次功能将用户名作为键后缀,将⽤⼾信息保存在哈希类型中,至于用户的分数和排名可以使用zscore和 zrank 来实现
hgetall user:info:tom
zscore user:ranking: mike
zrank user:ranking: mike
结语
本文主要介绍了Redis中剩下的常见数据类型:List列表、set无序集合、Zset有序集合。分别介绍了他们的命令以及相关操作与内部编码和相关应用场景。
以上就是本文全部内容,感谢各位能够看到最后,如有问题,欢迎各位大佬在评论区指正,希望大家可以有所收获!创作不易,希望大家多多支持!
最后,大家再见!祝好!我们下期见!
