当前位置: 首页 > news >正文

leetcode刷题——判断对称二叉树(C语言版)

题目描述:

示例 1:

输入:root = [6,7,7,8,9,9,8]
输出:true
解释:从图中可看出树是轴对称的。

示例 2:

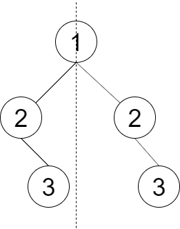
输入:root = [1,2,2,null,3,null,3]
输出:false
解释:从图中可看出最后一层的节点不对称。

提示:

0 <= 节点个数 <= 1000

首先分析一下这道题:

对于对称二叉树,既要求结构相同,也要保证每一个对称节点中的值相同,因此我们就可以将根节点的左子树与右子树比较,看看是否相等

 

 

 

代码实现: 

/*** Definition for a binary tree node.* struct TreeNode {*     int val;*     struct TreeNode *left;*     struct TreeNode *right;* };*/bool traversal(struct TreeNode*left,struct TreeNode*right){if(right==NULL&&left==NULL){return true;}if((right==NULL&&left!=NULL)||(right!=NULL&&left==NULL)){return false;}if(right->val!=left->val){return false;}return traversal(left->left,right->right)&&traversal(left->right,right->left);}
bool checkSymmetricTree(struct TreeNode* root) {if(root==NULL){return true;}return traversal(root->left,root->right);
}

 如有错误欢迎批评指正,第一次写题解,可能有很多不足之处。

http://www.dtcms.com/a/151562.html

相关文章:

  • 若依项目部署小结
  • 【KWDB 创作者计划】_上位机知识篇---MQTT协议
  • Java单例模式详解:实现线程安全的全局访问点
  • Spring Security:企业级安全架构的设计哲学与工程实践
  • 块压缩[比如etc] vs 传统图片压缩 优缺点对比
  • 【KWDB 创作者计划】_深度学习篇---向量指令集
  • 使用rclone迁移minio文件
  • Kubelet 可观测性最佳实践
  • 【C/C++】插件机制:基于工厂函数的动态插件加载
  • 2025年渗透测试面试题总结-拷打题库13(题目+回答)
  • 【redis】主从复制
  • 程序员学英文之Shipment Claim 运输和索赔
  • Node.js学习
  • Vite/Rollup 模块热更新
  • Python内置函数---bytes()
  • MySQL基础增删改
  • CDN加速http请求
  • 百万点数组下memset、memcpy与for循环效率对比及原理分析
  • 【大模型与AIGC深度解析】从核心概念到行业应用
  • Python实现孔填充与坐标转换
  • 网络编程——通信三要素
  • GitLab_密钥生成(SSH-key)
  • 第4天:Linux开发环境搭建
  • 【JavaScript】详讲运算符--算术运算符
  • 时间自动填写——电子表格公式的遗憾(DeepSeek)
  • 品融电商:领航食品类目全域代运营,打造品牌增长新引擎
  • EasySearch 服务昨天还好好的,为什么今天突然访问不了了?
  • Java面试题汇总
  • FI固定资产折旧码的功能用途及其配置介绍
  • 【CSS】层叠,优先级与继承(三):超详细继承知识点