【编译原理】第三章 习题
目录
构造下列正规式相应的DFA 1(0|1)*101
给下面正规表达式
以01结尾的二进制数串
能被5整除的十进制整数
包含奇数个1或奇数个0的二进制数串
9. 对下面情况给出DFA及正规表达式:
(1) {0,1}上的含有子串010的所有串;
(2) {0,1}上不含子串010的所有串。
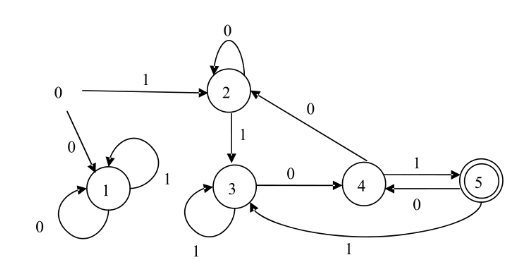
将图3.18的(a)、(b)和(c)分别确定化和最小化
构造一个DFA,它接受上所有满足如下条件的字符串:每个1都有0直接跟在右边
15. 给定右线性文法G:
编译原理:词法分析器与有限自动机,-CSDN博客
【编译原理】第三章 词法分析-CSDN博客
编译原理第三章 - 知乎
编译原理(陈火旺第三版)练习答案 - 道客巴巴
编译原理陈火旺版第三章课后题答案_编译原理陈火旺第三版课后答案-CSDN博客
构造下列正规式相应的DFA 1(0|1)*101





1是无关状态,删去

给下面正规表达式
以01结尾的二进制数串
能被5整除的十进制整数
包含奇数个1或奇数个0的二进制数串

正整数、负整数

9. 对下面情况给出DFA及正规表达式:
(1) {0,1}上的含有子串010的所有串;
(2) {0,1}上不含子串010的所有串。
编译原理陈火旺版第三章课后题答案_编译原理陈火旺第三版课后答案-CSDN博客
将图3.18的(a)、(b)和(c)分别确定化和最小化




构造一个DFA,它接受
上所有满足如下条件的字符串:每个1都有0直接跟在右边



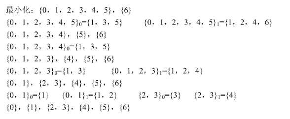
最小化:
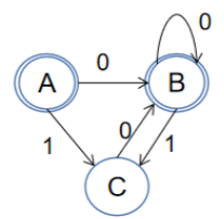
{A,B},{C}
{A,B}0={B} {A,B}1={C}
{A,B} {C}

15. 给定右线性文法G:
S→0S | 1S | 1A | 0B
A→1C | 1
B→0C | 0
C→0C | 1C | 0 | 1
求出一个与G等价的左线性文法。

1(简答题) 请画出与以下线性文法G对应的状态转换图。
S →aS|aB
B →bB|bC
C →cC|c

请画出此状态转换矩阵相应的状态转换图
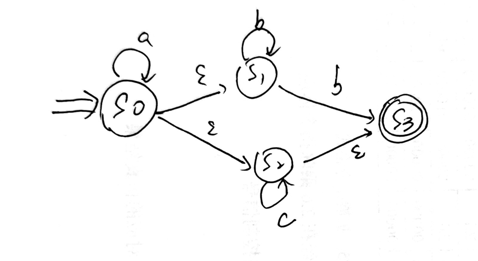
1(简答题) 请画出此状态转换矩阵相应的状态转换图
· a b c ε
S0 {S0} Φ Φ {S1,S2}
S1 Φ {S1,S3} Φ Φ
S2 Φ Φ {S2} {S3}
S3 Φ Φ Φ Φ

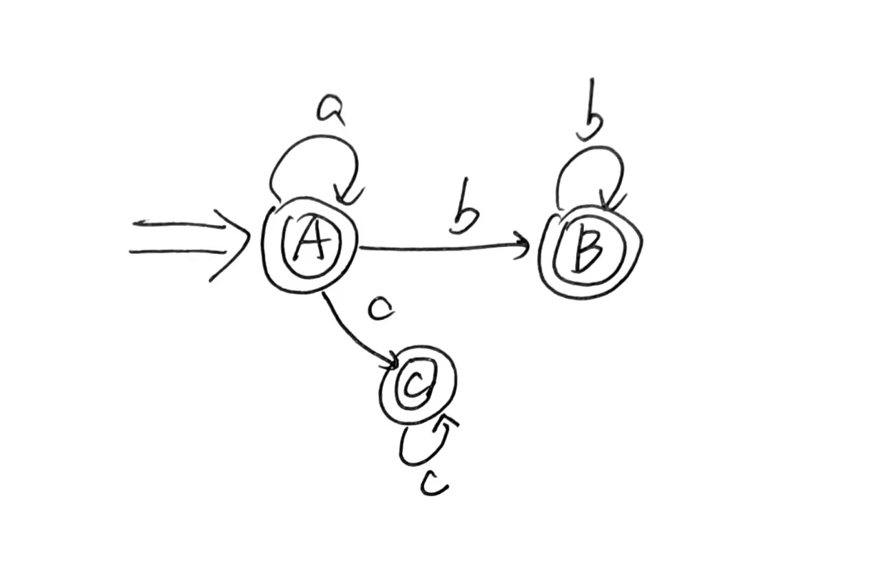
请将下图NFA确定化,画出状态矩阵和状态图。
1(简答题) 请将下图NFA确定化,画出状态矩阵和状态图。

| I | Ia | Ib | Ic |
|---|---|---|---|
| {S0,S1,S2,S3} | {S0,S1,S2,S3} | {S1,S3} | {S2,S3} |
| {S1,S3} | ∅ | {S1,S3} | ∅ |
| {S2,S3} | ∅ | ∅ | {S2,S3} |
{S0,S1,S2,S3}----A
{S1,S3}-----B
{S2,S3}-----C

给定正规式1(110*|00*1)0,请画出该正规式对应的NFA
1(简答题) 给定正规式1(110*|00*1)0,请画出该正规式对应的NFA

请将其最小化
1(简答题) 请将其最小化


