高等数学第一章---函数与极限(1.3 函数的极限)
高等数学第一章—函数与极限(1.2 数列的极限2)
§1.3 函数的极限
数列是一类特殊的函数,自变量 n n n的变化趋势只有 n → ∞ n \to \infty n→∞这一种情况。而函数 y = f ( x ) y = f(x) y=f(x)的自变量 x x x的变化趋势更为多样,常见的有 x → ∞ x \to \infty x→∞、 x → x 0 x \to x_0 x→x0等。下面将分别探讨在这些情况下函数的变化趋势,也就是函数的极限。
一、 x → ∞ x \to \infty x→∞时 f ( x ) f(x) f(x)的极限
1. x → + ∞ x \to +\infty x→+∞时 f ( x ) f(x) f(x)的极限
观察函数 y = 1 + 1 x y = 1 + \frac{1}{x} y=1+x1,当 x → + ∞ x \to +\infty x→+∞时,从其函数图像(此处可插入 y = 1 + 1 x y = 1 + \frac{1}{x} y=1+x1在 x x x趋向正无穷部分的大致图像)可以直观地看到,函数值 y y y会无限接近常数“ 1 1 1”。这意味着当 x → + ∞ x \to +\infty x→+∞时, ∣ y − 1 ∣ \vert y - 1\vert ∣y−1∣的值会无限变小。此时,我们就把常数“ 1 1 1”称为当 x → + ∞ x \to +\infty x→+∞时 y = 1 + 1 x y = 1 + \frac{1}{x} y=1+x1的极限。

定义1:设 y = f ( x ) y = f(x) y=f(x)在区间 ( a , + ∞ ) (a, +\infty) (a,+∞)上有定义, A A A为常数。当 x → + ∞ x \to +\infty x→+∞时,如果 f ( x ) f(x) f(x)无限接近 A A A,那么就称 A A A为当 x → + ∞ x \to +\infty x→+∞时 f ( x ) f(x) f(x)的极限,记作 lim x → + ∞ f ( x ) = A \lim_{x \to +\infty} f(x) = A limx→+∞f(x)=A。
注:定义1属于描述性定义。若要将其精确化,我们可以把“ f ( x ) f(x) f(x)无限接近 A A A”用数学语言定量地表示为“ ∀ ε > 0 , ∣ f ( x ) − A ∣ < ε \forall \varepsilon > 0, \vert f(x) - A\vert < \varepsilon ∀ε>0,∣f(x)−A∣<ε” ,把“ x → + ∞ x \to +\infty x→+∞”定量表示为“ ∃ M > 0 , x > M \exists M > 0, x > M ∃M>0,x>M” ,由此得到下面更精确的定义:
定义1’:对于任意给定的正数 ε \varepsilon ε( ε \varepsilon ε表示要多小有多小的正数),都存在正数 M M M( M M M表示要多大有多大的正数),使得当 x > M x > M x>M时,不等式 ∣ f ( x ) − A ∣ < ε \vert f(x) - A\vert < \varepsilon ∣f(x)−A∣<ε恒成立,那么就称 A A A为当 x → + ∞ x \to +\infty x→+∞时 f ( x ) f(x) f(x)的极限,记作 lim x → + ∞ f ( x ) = A \lim_{x \to +\infty} f(x) = A limx→+∞f(x)=A。
例如,对于函数 y = 1 + 1 x y = 1 + \frac{1}{x} y=1+x1,根据上述定义,我们可以得出 lim x → + ∞ ( 1 + 1 x ) = 1 \lim_{x \to +\infty} (1 + \frac{1}{x}) = 1 limx→+∞(1+x1)=1。
2. x → − ∞ x \to -\infty x→−∞时 f ( x ) f(x) f(x)的极限
同样观察函数 y = 1 + 1 x y = 1 + \frac{1}{x} y=1+x1,当 x → − ∞ x \to -\infty x→−∞时(可插入相应函数图像部分辅助理解),函数 y = 1 + 1 x y = 1 + \frac{1}{x} y=1+x1依然无限接近常数“ 1 1 1” ,即当 x → − ∞ x \to -\infty x→−∞时, ∣ y − 1 ∣ \vert y - 1\vert ∣y−1∣无限小。所以,常数“ 1 1 1”就是当 x → − ∞ x \to -\infty x→−∞时 y = 1 + 1 x y = 1 + \frac{1}{x} y=1+x1的极限。
定义2:设 y = f ( x ) y = f(x) y=f(x)在区间 ( − ∞ , a ) (-\infty, a) (−∞,a)上有定义, A A A为常数。当 x → − ∞ x \to -\infty x→−∞时,如果 f ( x ) f(x) f(x)无限接近 A A A,那么就称 A A A为当 x → − ∞ x \to -\infty x→−∞时 f ( x ) f(x) f(x)的极限,记作 lim x → − ∞ f ( x ) = A \lim_{x \to -\infty} f(x) = A limx→−∞f(x)=A。
注:与前面类似,定义2也是描述性定义。精确化后,把“ f ( x ) f(x) f(x)无限接近 A A A”表示为“ ∀ ε > 0 , ∣ f ( x ) − A ∣ < ε \forall \varepsilon > 0, \vert f(x) - A\vert < \varepsilon ∀ε>0,∣f(x)−A∣<ε”,把“ x → − ∞ x \to -\infty x→−∞”表示为“ ∃ M > 0 , x < − M \exists M > 0, x < -M ∃M>0,x<−M”(这里 − M -M −M表示绝对值要多大有多大的负数) ,得到如下精确化定义:
定义2’:对于任意给定的正数 ε \varepsilon ε,都存在正数 M M M,使得当 x < − M x < -M x<−M时,不等式 ∣ f ( x ) − A ∣ < ε \vert f(x) - A\vert < \varepsilon ∣f(x)−A∣<ε恒成立,那么就称 A A A为当 x → − ∞ x \to -\infty x→−∞时 f ( x ) f(x) f(x)的极限,记作 lim x → − ∞ f ( x ) = A \lim_{x \to -\infty} f(x) = A limx→−∞f(x)=A。
例如, lim x → − ∞ ( 1 + 1 x ) = 1 \lim_{x \to -\infty} (1 + \frac{1}{x}) = 1 limx→−∞(1+x1)=1。
3. x → ∞ x \to \infty x→∞时 f ( x ) f(x) f(x)的极限
由于 x → ∞ x \to \infty x→∞包含了 x → + ∞ x \to +\infty x→+∞和 x → − ∞ x \to -\infty x→−∞这两种情况,所以将上述定义1和定义2整合起来,就得到了 x → ∞ x \to \infty x→∞时 f ( x ) f(x) f(x)的极限定义。
定义3:设 y = f ( x ) y = f(x) y=f(x)在区间 ( − ∞ , + ∞ ) (-\infty, +\infty) (−∞,+∞)内有定义, A A A为常数。当 x → + ∞ x \to +\infty x→+∞以及 x → − ∞ x \to -\infty x→−∞时, f ( x ) f(x) f(x)都无限接近 A A A,那么就称 A A A为当 x → ∞ x \to \infty x→∞时 f ( x ) f(x) f(x)的极限,记作 lim x → ∞ f ( x ) = A \lim_{x \to \infty} f(x) = A limx→∞f(x)=A。
定义3’:对于任意给定的正数 ε \varepsilon ε,都存在正数 M M M,使得当 ∣ x ∣ > M \vert x\vert > M ∣x∣>M时,不等式 ∣ f ( x ) − A ∣ < ε \vert f(x) - A\vert < \varepsilon ∣f(x)−A∣<ε恒成立,那么就称 A A A为当 x → ∞ x \to \infty x→∞时 f ( x ) f(x) f(x)的极限,记作 lim x → ∞ f ( x ) = A \lim_{x \to \infty} f(x) = A limx→∞f(x)=A。
例如, lim x → ∞ ( 1 + 1 x ) = 1 \lim_{x \to \infty} (1 + \frac{1}{x}) = 1 limx→∞(1+x1)=1。
注:
- 1 ∘ 1^{\circ} 1∘ lim x → ∞ f ( x ) = A \lim_{x \to \infty} f(x) = A limx→∞f(x)=A等价于 lim x → + ∞ f ( x ) = lim x → − ∞ f ( x ) = A \lim_{x \to +\infty} f(x) = \lim_{x \to -\infty} f(x) = A limx→+∞f(x)=limx→−∞f(x)=A。这表明,只有当函数在 x x x趋向正无穷和负无穷时的极限都存在且相等,函数在 x x x趋向无穷时的极限才存在。
- 2 ∘ 2^{\circ} 2∘ 如果 lim x → + ∞ f ( x ) e q lim x → − ∞ f ( x ) \lim_{x \to +\infty} f(x) eq \lim_{x \to -\infty} f(x) limx→+∞f(x)eqlimx→−∞f(x),那么 lim x → ∞ f ( x ) \lim_{x \to \infty} f(x) limx→∞f(x)不存在。
例1:讨论下列极限是否存在
- ( 1 ) lim x → ∞ 1 x (1) \lim_{x \to \infty} \frac{1}{x} (1)limx→∞x1
- 分析:当 x → + ∞ x \to +\infty x→+∞时, 1 x \frac{1}{x} x1的值越来越接近 0 0 0;当 x → − ∞ x \to -\infty x→−∞时, 1 x \frac{1}{x} x1的值同样越来越接近 0 0 0。根据上述 lim x → ∞ f ( x ) \lim_{x \to \infty} f(x) limx→∞f(x)存在的条件可知, lim x → + ∞ 1 x = lim x → − ∞ 1 x = 0 \lim_{x \to +\infty} \frac{1}{x} = \lim_{x \to -\infty} \frac{1}{x} = 0 limx→+∞x1=limx→−∞x1=0,所以 lim x → ∞ 1 x = 0 \lim_{x \to \infty} \frac{1}{x} = 0 limx→∞x1=0,该极限存在。
- ( 2 ) lim x → ∞ arctan x (2) \lim_{x \to \infty} \arctan x (2)limx→∞arctanx
- 分析:当 x → + ∞ x \to +\infty x→+∞时, arctan x → π 2 \arctan x \to \frac{\pi}{2} arctanx→2π;当 x → − ∞ x \to -\infty x→−∞时, arctan x → − π 2 \arctan x \to -\frac{\pi}{2} arctanx→−2π。因为 lim x → + ∞ arctan x e q lim x → − ∞ arctan x \lim_{x \to +\infty} \arctan x eq \lim_{x \to -\infty} \arctan x limx→+∞arctanxeqlimx→−∞arctanx,所以 lim x → ∞ arctan x \lim_{x \to \infty} \arctan x limx→∞arctanx不存在。
- ( 3 ) lim x → ∞ e x (3) \lim_{x \to \infty} e^x (3)limx→∞ex
- 分析:当 x → + ∞ x \to +\infty x→+∞时, e x e^x ex的值趋向于正无穷;当 x → − ∞ x \to -\infty x→−∞时, e x → 0 e^x \to 0 ex→0 。由于 lim x → + ∞ e x \lim_{x \to +\infty} e^x limx→+∞ex不存在(趋向无穷大不是极限存在的情况),且 lim x → + ∞ e x e q lim x → − ∞ e x \lim_{x \to +\infty} e^x eq \lim_{x \to -\infty} e^x limx→+∞exeqlimx→−∞ex,所以 lim x → ∞ e x \lim_{x \to \infty} e^x limx→∞ex不存在。
例2:利用定义证明
- ( 1 ) lim x → + ∞ ( 1 2 ) x (1) \lim_{x \to +\infty} (\frac{1}{2})^x (1)limx→+∞(21)x
- 证明:对于任意给定的 ε > 0 \varepsilon > 0 ε>0,要使 ∣ ( 1 2 ) x − 0 ∣ = ( 1 2 ) x < ε \vert (\frac{1}{2})^x - 0\vert = (\frac{1}{2})^x < \varepsilon ∣(21)x−0∣=(21)x<ε,即 2 x > 1 ε 2^x > \frac{1}{\varepsilon} 2x>ε1,两边取以 2 2 2为底的对数可得 x > log 2 1 ε x > \log_2 \frac{1}{\varepsilon} x>log2ε1。取 M = log 2 1 ε M = \log_2 \frac{1}{\varepsilon} M=log2ε1,则当 x > M x > M x>M时,有 ∣ ( 1 2 ) x − 0 ∣ < ε \vert (\frac{1}{2})^x - 0\vert < \varepsilon ∣(21)x−0∣<ε成立。所以 lim x → + ∞ ( 1 2 ) x = 0 \lim_{x \to +\infty} (\frac{1}{2})^x = 0 limx→+∞(21)x=0。
- ( 2 ) lim x → − ∞ 2 x = 0 (2) \lim_{x \to -\infty} 2^x = 0 (2)limx→−∞2x=0
- 证明:对于任意给定的 ε > 0 \varepsilon > 0 ε>0,要使 ∣ 2 x − 0 ∣ = 2 x < ε \vert 2^x - 0\vert = 2^x < \varepsilon ∣2x−0∣=2x<ε,两边取以 2 2 2为底的对数可得 x < log 2 ε x < \log_2 \varepsilon x<log2ε。取 M = − log 2 ε M = -\log_2 \varepsilon M=−log2ε,则当 x < − M x < -M x<−M时,有 ∣ 2 x − 0 ∣ < ε \vert 2^x - 0\vert < \varepsilon ∣2x−0∣<ε成立。所以 lim x → − ∞ 2 x = 0 \lim_{x \to -\infty} 2^x = 0 limx→−∞2x=0。
- ( 3 ) lim x → ∞ 1 x (3) \lim_{x \to \infty} \frac{1}{x} (3)limx→∞x1
- 证明:对于任意给定的 ε > 0 \varepsilon > 0 ε>0,要使 ∣ 1 x − 0 ∣ = 1 ∣ x ∣ < ε \vert \frac{1}{x} - 0\vert = \frac{1}{\vert x\vert} < \varepsilon ∣x1−0∣=∣x∣1<ε,即 ∣ x ∣ > 1 ε \vert x\vert > \frac{1}{\varepsilon} ∣x∣>ε1。取 M = 1 ε M = \frac{1}{\varepsilon} M=ε1,则当 ∣ x ∣ > M \vert x\vert > M ∣x∣>M时,有 ∣ 1 x − 0 ∣ < ε \vert \frac{1}{x} - 0\vert < \varepsilon ∣x1−0∣<ε成立。所以 lim x → ∞ 1 x = 0 \lim_{x \to \infty} \frac{1}{x} = 0 limx→∞x1=0。
二、 x → x 0 x \to x_0 x→x0时 f ( x ) f(x) f(x)的极限
通过观察当 x → 1 2 x \to \frac{1}{2} x→21时,函数 y = 2 x + 1 y = 2x + 1 y=2x+1和 y = 4 x 2 − 1 2 x − 1 y = \frac{4x^2 - 1}{2x - 1} y=2x−14x2−1的变化趋势,来探究 x → x 0 x \to x_0 x→x0时函数极限的概念。
1. y = 2 x + 1 y = 2x + 1 y=2x+1
观察以下表格:
| x x x | 0.4 | 0.45 | 0.48 | 0.49 | 0.499 | 0.4999 | … | 0.5 | … | 0.50001 | 0.5001 | 0.501 | 0.51 |
|---|---|---|---|---|---|---|---|---|---|---|---|---|---|
| f ( x ) f(x) f(x) | 1.8 | 1.9 | 1.96 | 1.98 | 1.998 | 1.9998 | … | 2 | … | 2.00002 | 2.0002 | 2.002 | 2.02 |
可以发现,当 x x x从 1 2 \frac{1}{2} 21的左右两侧逐渐接近 1 2 \frac{1}{2} 21时, f ( x ) f(x) f(x)的值越来越接近常数“ 2 2 2”。当 x x x从 1 2 \frac{1}{2} 21左右无限接近 1 2 \frac{1}{2} 21时, f ( x ) f(x) f(x)无限接近常数“ 2 2 2”,也就是 ∣ f ( x ) − 2 ∣ \vert f(x) - 2\vert ∣f(x)−2∣无限小。此时,常数“ 2 2 2”就被称为当 x → 1 2 x \to \frac{1}{2} x→21时函数 y = 2 x + 1 y = 2x + 1 y=2x+1的极限。
2. y = 4 x 2 − 1 2 x − 1 y = \frac{4x^2 - 1}{2x - 1} y=2x−14x2−1
因为 y = 4 x 2 − 1 2 x − 1 = 2 x + 1 y = \frac{4x^2 - 1}{2x - 1} = 2x + 1 y=2x−14x2−1=2x+1( x e q 1 2 x eq \frac{1}{2} xeq21),所以上述表格同样适用于该函数,只是 x e q 1 2 x eq \frac{1}{2} xeq21且 y e q 2 y eq 2 yeq2。同样地,当 x x x从 1 2 \frac{1}{2} 21左右两侧越来越接近 1 2 \frac{1}{2} 21时, f ( x ) f(x) f(x)越来越接近常数“ 2 2 2”;当 x x x从 1 2 \frac{1}{2} 21左右无限接近 1 2 \frac{1}{2} 21时, f ( x ) f(x) f(x)无限接近常数“ 2 2 2”,即 ∣ f ( x ) − 2 ∣ \vert f(x) - 2\vert ∣f(x)−2∣无限小。所以,常数“ 2 2 2”也是当 x → 1 2 x \to \frac{1}{2} x→21时函数 y = 4 x 2 − 1 2 x − 1 y = \frac{4x^2 - 1}{2x - 1} y=2x−14x2−1的极限。
综合上述两个例子可以看出,无论函数 f ( x ) f(x) f(x)在 x 0 x_0 x0处是否有定义,只要当 x x x无限接近 x 0 x_0 x0时, f ( x ) f(x) f(x)无限趋近于某个常数 A A A,那么这个常数 A A A就被称为函数 f ( x ) f(x) f(x)当 x x x无限接近 x 0 x_0 x0时的极限。
定义4:设 y = f ( x ) y = f(x) y=f(x)在 x 0 x_0 x0的某去心邻域内有定义, A A A为常数。当 x x x无限接近 x 0 x_0 x0时,如果 f ( x ) f(x) f(x)无限趋近于常数 A A A,那么 A A A就称为函数 f ( x ) f(x) f(x)当 x x x无限接近 x 0 x_0 x0时的极限,记作 lim x → x 0 f ( x ) = A \lim_{x \to x_0} f(x) = A limx→x0f(x)=A。
注:定义4是描述性定义。若要将其精确化,把“ f ( x ) f(x) f(x)无限趋近于常数 A A A”表示为“ ∀ ε > 0 , ∣ f ( x ) − A ∣ < ε \forall \varepsilon > 0, \vert f(x) - A\vert < \varepsilon ∀ε>0,∣f(x)−A∣<ε”,把“ x x x无限接近 x 0 x_0 x0”表示为“ ∃ δ > 0 , 0 < ∣ x − x 0 ∣ < δ \exists \delta > 0, 0 < \vert x - x_0\vert < \delta ∃δ>0,0<∣x−x0∣<δ”(这里 ε \varepsilon ε和 δ \delta δ都表示要多小有多小的正数) ,就得到了精确化定义:
定义4’:设 y = f ( x ) y = f(x) y=f(x)在 x 0 x_0 x0的某去心邻域内有定义, A A A为常数。对于任意给定的正数 ε \varepsilon ε,都存在正数 δ \delta δ,使得当 x x x满足 0 < ∣ x − x 0 ∣ < δ 0 < \vert x - x_0\vert < \delta 0<∣x−x0∣<δ时,不等式 ∣ f ( x ) − A ∣ < ε \vert f(x) - A\vert < \varepsilon ∣f(x)−A∣<ε恒成立,那么 A A A就称为函数 f ( x ) f(x) f(x)当 x x x无限接近 x 0 x_0 x0时的极限,记作 lim x → x 0 f ( x ) = A \lim_{x \to x_0} f(x) = A limx→x0f(x)=A。
例如, lim x → 1 2 ( 2 x + 1 ) = 2 \lim_{x \to \frac{1}{2}} (2x + 1) = 2 limx→21(2x+1)=2, lim x → 1 2 4 x 2 − 1 2 x − 1 = 2 \lim_{x \to \frac{1}{2}} \frac{4x^2 - 1}{2x - 1} = 2 limx→212x−14x2−1=2。
注:
- 1 ∘ 1^{\circ} 1∘ lim x → x 0 f ( x ) \lim_{x \to x_0} f(x) limx→x0f(x)的存在与否和 f ( x ) f(x) f(x)在 x 0 x_0 x0处是否有定义无关。这是函数极限的一个重要性质,像前面提到的 y = 4 x 2 − 1 2 x − 1 y = \frac{4x^2 - 1}{2x - 1} y=2x−14x2−1在 x = 1 2 x = \frac{1}{2} x=21处无定义,但 x → 1 2 x \to \frac{1}{2} x→21时极限存在。
- 2 ∘ 2^{\circ} 2∘ x → x 0 x \to x_0 x→x0的方式包含两种,即 x x x从 x 0 x_0 x0左侧无限接近 x 0 x_0 x0(记为(x \to x_0^{-}))和 x x x从 x 0 x_0 x0右侧无限接近 x 0 x_0 x0(记为 x → x 0 + x \to x_0^{+} x→x0+)。只有当 x → x 0 − x \to x_0^{-} x→x0−和 x → x 0 + x \to x_0^{+} x→x0+时 f ( x ) f(x) f(x)的极限都存在且相等, lim x → x 0 f ( x ) \lim_{x \to x_0} f(x) limx→x0f(x)才存在。
3. 几何解释

函数 y = f ( x ) y = f(x) y=f(x)在 x → x 0 x \to x_0 x→x0时极限为 A A A的几何意义是:对于任意给定的正数 ε \varepsilon ε,在平面直角坐标系中,作两条平行直线 y = A + ε y = A + \varepsilon y=A+ε和 y = A − ε y = A - \varepsilon y=A−ε,总存在一个正数 δ \delta δ,使得在 x 0 x_0 x0的去心邻域 ( x 0 − δ , x 0 ) ∪ ( x 0 , x 0 + δ ) (x_0 - \delta, x_0) \cup (x_0, x_0 + \delta) (x0−δ,x0)∪(x0,x0+δ)内,函数 y = f ( x ) y = f(x) y=f(x)的图像位于这两条平行直线之间。
例如,对于函数 y = 3 x − 2 y = 3x - 2 y=3x−2,当 x → 2 x \to 2 x→2时, lim x → 2 ( 3 x − 2 ) = 4 \lim_{x \to 2} (3x - 2) = 4 limx→2(3x−2)=4。在几何上,给定一个任意小的正数 ε \varepsilon ε,以 y = 4 + ε y = 4 + \varepsilon y=4+ε和 y = 4 − ε y = 4 - \varepsilon y=4−ε为边界作两条直线,总能找到一个正数 δ \delta δ,使得当 x x x在区间 ( 2 − δ , 2 ) ∪ ( 2 , 2 + δ ) (2 - \delta, 2) \cup (2, 2 + \delta) (2−δ,2)∪(2,2+δ)内取值时,函数 y = 3 x − 2 y = 3x - 2 y=3x−2的图像都在这两条直线之间。
例1:利用定义证明
- ( 1 ) lim x → 2 ( 3 x − 2 ) = 4 (1) \lim_{x \to 2} (3x - 2) = 4 (1)limx→2(3x−2)=4
- 证明:对于任意给定的 ε > 0 \varepsilon > 0 ε>0,要使 ∣ ( 3 x − 2 ) − 4 ∣ = ∣ 3 x − 6 ∣ = 3 ∣ x − 2 ∣ < ε \vert (3x - 2) - 4\vert = \vert 3x - 6\vert = 3\vert x - 2\vert < \varepsilon ∣(3x−2)−4∣=∣3x−6∣=3∣x−2∣<ε,只要 ∣ x − 2 ∣ < ε 3 \vert x - 2\vert < \frac{\varepsilon}{3} ∣x−2∣<3ε。取 δ = ε 3 \delta = \frac{\varepsilon}{3} δ=3ε,当 0 < ∣ x − 2 ∣ < δ 0 < \vert x - 2\vert < \delta 0<∣x−2∣<δ时,就有 ∣ ( 3 x − 2 ) − 4 ∣ < ε \vert (3x - 2) - 4\vert < \varepsilon ∣(3x−2)−4∣<ε成立,所以 lim x → 2 ( 3 x − 2 ) = 4 \lim_{x \to 2} (3x - 2) = 4 limx→2(3x−2)=4。
- ( 2 ) (2) (2)当 x 0 > 0 x_0 > 0 x0>0时, lim x → x 0 x = x 0 \lim_{x \to x_0} \sqrt{x} = \sqrt{x_0} limx→x0x=x0
- 证明:对于任意给定的 ε > 0 \varepsilon > 0 ε>0,要使 ∣ x − x 0 ∣ < ε \vert\sqrt{x} - \sqrt{x_0}\vert < \varepsilon ∣x−x0∣<ε,即 ∣ x − x 0 x + x 0 ∣ < ε \vert\frac{x - x_0}{\sqrt{x} + \sqrt{x_0}}\vert < \varepsilon ∣x+x0x−x0∣<ε。因为 x → x 0 x \to x_0 x→x0,不妨先限制 x x x的范围,设 ∣ x − x 0 ∣ < x 0 \vert x - x_0\vert < x_0 ∣x−x0∣<x0,即 0 < x 0 − ∣ x − x 0 ∣ < x < x 0 + ∣ x − x 0 ∣ 0 < x_0 - \vert x - x_0\vert < x < x_0 + \vert x - x_0\vert 0<x0−∣x−x0∣<x<x0+∣x−x0∣,所以 x > x 0 − ∣ x − x 0 ∣ \sqrt{x} > \sqrt{x_0 - \vert x - x_0\vert} x>x0−∣x−x0∣,进而 1 x + x 0 < 1 x 0 − ∣ x − x 0 ∣ + x 0 \frac{1}{\sqrt{x} + \sqrt{x_0}} < \frac{1}{\sqrt{x_0 - \vert x - x_0\vert} + \sqrt{x_0}} x+x01<x0−∣x−x0∣+x01。
此时 ∣ x − x 0 x + x 0 ∣ < ∣ x − x 0 ∣ x 0 − ∣ x − x 0 ∣ + x 0 \vert\frac{x - x_0}{\sqrt{x} + \sqrt{x_0}}\vert < \frac{\vert x - x_0\vert}{\sqrt{x_0 - \vert x - x_0\vert} + \sqrt{x_0}} ∣x+x0x−x0∣<x0−∣x−x0∣+x0∣x−x0∣ ,要使 ∣ x − x 0 ∣ x 0 − ∣ x − x 0 ∣ + x 0 < ε \frac{\vert x - x_0\vert}{\sqrt{x_0 - \vert x - x_0\vert} + \sqrt{x_0}} < \varepsilon x0−∣x−x0∣+x0∣x−x0∣<ε,只要 ∣ x − x 0 ∣ < ( x 0 − ∣ x − x 0 ∣ + x 0 ) ε \vert x - x_0\vert < (\sqrt{x_0 - \vert x - x_0\vert} + \sqrt{x_0})\varepsilon ∣x−x0∣<(x0−∣x−x0∣+x0)ε。
取 δ = min { x 0 , ( x 0 − ∣ x − x 0 ∣ + x 0 ) ε } \delta = \min\{x_0, (\sqrt{x_0 - \vert x - x_0\vert} + \sqrt{x_0})\varepsilon\} δ=min{x0,(x0−∣x−x0∣+x0)ε},当 0 < ∣ x − x 0 ∣ < δ 0 < \vert x - x_0\vert < \delta 0<∣x−x0∣<δ时,就有 ∣ x − x 0 ∣ < ε \vert\sqrt{x} - \sqrt{x_0}\vert < \varepsilon ∣x−x0∣<ε成立,所以当 x 0 > 0 x_0 > 0 x0>0时, lim x → x 0 x = x 0 \lim_{x \to x_0} \sqrt{x} = \sqrt{x_0} limx→x0x=x0。
- lim x → x 0 C = C \lim_{x \to x_0} C = C limx→x0C=C( C C C为常数)
- 证明:对于任意给定的 ε > 0 \varepsilon > 0 ε>0,要使 ∣ C − C ∣ = 0 < ε \vert C - C\vert = 0 < \varepsilon ∣C−C∣=0<ε恒成立。此时对于任意的 δ > 0 \delta > 0 δ>0,当 0 < ∣ x − x 0 ∣ < δ 0 < \vert x - x_0\vert < \delta 0<∣x−x0∣<δ时, ∣ C − C ∣ < ε \vert C - C\vert < \varepsilon ∣C−C∣<ε都成立,所以 lim x → x 0 C = C \lim_{x \to x_0} C = C limx→x0C=C。
- lim x → 1 2 4 x 2 − 1 2 x − 1 = 2 \lim_{x \to \frac{1}{2}} \frac{4x^2 - 1}{2x - 1} = 2 limx→212x−14x2−1=2
- 证明:因为 4 x 2 − 1 2 x − 1 = 2 x + 1 \frac{4x^2 - 1}{2x - 1} = 2x + 1 2x−14x2−1=2x+1( x e q 1 2 x eq \frac{1}{2} xeq21),对于任意给定的 ε > 0 \varepsilon > 0 ε>0,要使 ∣ 4 x 2 − 1 2 x − 1 − 2 ∣ = ∣ 2 x + 1 − 2 ∣ = ∣ 2 x − 1 ∣ = 2 ∣ x − 1 2 ∣ < ε \vert\frac{4x^2 - 1}{2x - 1} - 2\vert = \vert 2x + 1 - 2\vert = \vert 2x - 1\vert = 2\vert x - \frac{1}{2}\vert < \varepsilon ∣2x−14x2−1−2∣=∣2x+1−2∣=∣2x−1∣=2∣x−21∣<ε,只要 ∣ x − 1 2 ∣ < ε 2 \vert x - \frac{1}{2}\vert < \frac{\varepsilon}{2} ∣x−21∣<2ε。取 δ = ε 2 \delta = \frac{\varepsilon}{2} δ=2ε,当 0 < ∣ x − 1 2 ∣ < δ 0 < \vert x - \frac{1}{2}\vert < \delta 0<∣x−21∣<δ时,就有 ∣ 4 x 2 − 1 2 x − 1 − 2 ∣ < ε \vert\frac{4x^2 - 1}{2x - 1} - 2\vert < \varepsilon ∣2x−14x2−1−2∣<ε成立,所以 lim x → 1 2 4 x 2 − 1 2 x − 1 = 2 \lim_{x \to \frac{1}{2}} \frac{4x^2 - 1}{2x - 1} = 2 limx→212x−14x2−1=2。
作业与参考答案
- 利用极限定义证明:
- lim x → + ∞ 1 x = 0 \lim_{x \to +\infty} \frac{1}{x} = 0 limx→+∞x1=0
- 证明:对于任意给定的 ε > 0 \varepsilon > 0 ε>0,要使 ∣ 1 x − 0 ∣ = 1 x < ε \vert\frac{1}{x} - 0\vert = \frac{1}{x} < \varepsilon ∣x1−0∣=x1<ε,只要 x > 1 ε x > \frac{1}{\varepsilon} x>ε1。取 M = 1 ε M = \frac{1}{\varepsilon} M=ε1,当 x > M x > M x>M时, ∣ 1 x − 0 ∣ < ε \vert\frac{1}{x} - 0\vert < \varepsilon ∣x1−0∣<ε成立,所以 lim x → + ∞ 1 x = 0 \lim_{x \to +\infty} \frac{1}{x} = 0 limx→+∞x1=0。
- lim x → − ∞ 1 x = 0 \lim_{x \to -\infty} \frac{1}{x} = 0 limx→−∞x1=0
- 证明:对于任意给定的 ε > 0 \varepsilon > 0 ε>0,要使 ∣ 1 x − 0 ∣ = 1 ∣ x ∣ < ε \vert\frac{1}{x} - 0\vert = \frac{1}{\vert x\vert} < \varepsilon ∣x1−0∣=∣x∣1<ε,即 ∣ x ∣ > 1 ε \vert x\vert > \frac{1}{\varepsilon} ∣x∣>ε1,也就是 x < − 1 ε x < -\frac{1}{\varepsilon} x<−ε1。取 M = 1 ε M = \frac{1}{\varepsilon} M=ε1,当 x < − M x < -M x<−M时, ∣ 1 x − 0 ∣ < ε \vert\frac{1}{x} - 0\vert < \varepsilon ∣x1−0∣<ε成立,所以 lim x → − ∞ 1 x = 0 \lim_{x \to -\infty} \frac{1}{x} = 0 limx→−∞x1=0。
- lim x → 3 ( 3 x − 1 ) = 8 \lim_{x \to 3} (3x - 1) = 8 limx→3(3x−1)=8
- 证明:对于任意给定的 ε > 0 \varepsilon > 0 ε>0,要使 ∣ ( 3 x − 1 ) − 8 ∣ = ∣ 3 x − 9 ∣ = 3 ∣ x − 3 ∣ < ε \vert(3x - 1) - 8\vert = \vert 3x - 9\vert = 3\vert x - 3\vert < \varepsilon ∣(3x−1)−8∣=∣3x−9∣=3∣x−3∣<ε,只要 ∣ x − 3 ∣ < ε 3 \vert x - 3\vert < \frac{\varepsilon}{3} ∣x−3∣<3ε。取 δ = ε 3 \delta = \frac{\varepsilon}{3} δ=3ε,当 0 < ∣ x − 3 ∣ < δ 0 < \vert x - 3\vert < \delta 0<∣x−3∣<δ时, ∣ ( 3 x − 1 ) − 8 ∣ < ε \vert(3x - 1) - 8\vert < \varepsilon ∣(3x−1)−8∣<ε成立,所以 lim x → 3 ( 3 x − 1 ) = 8 \lim_{x \to 3} (3x - 1) = 8 limx→3(3x−1)=8。
三、单侧极限
在前面的讨论中,我们探讨了极限 lim x → x 0 f ( x ) \lim_{x\rightarrow x_0} f(x) limx→x0f(x),其中自变量的变化趋势 x → x 0 x\rightarrow x_0 x→x0 表示 x 从 x 0 x_0 x0 左右两侧无限接近 x 0 x_0 x0。然而,在某些函数中,自变量 x 只能从一侧无限接近 x 0 x_0 x0,例如 f ( x ) = x ( x > 0 ) f(x) = \sqrt{x} (x > 0) f(x)=x(x>0),自变量 x 只能从 0 的右侧无限接近 0(我们用 x → 0 + x\rightarrow 0^{+} x→0+ 来表示)。因此,需要讨论当自变量 x 从 x 0 x_0 x0 的右侧无限接近 x 0 ( x → x 0 + ) x_0 (x\rightarrow x_0^{+}) x0(x→x0+) 和当自变量 x 从 x 0 x_0 x0 的左侧无限接近 x 0 ( x → x 0 − ) x_0 (x\rightarrow x_0^{-}) x0(x→x0−) 时函数的极限,即单侧极限(左右极限)。
1. 左极限
定义 5: 设 y = f ( x ) y = f(x) y=f(x) 在 x 0 x_0 x0 的左邻域内有定义,A 为常数,当 x 从 x 0 x_0 x0 的左侧无限接近 x 0 ( x → x 0 − ) x_0 (x\rightarrow x_0^{-}) x0(x→x0−) 时,函数 f(x) 无限接近 A,则常数 A 称为当 x → x 0 − x\rightarrow x_0^{-} x→x0− 时的极限,即左极限,记作 lim x → x 0 − f ( x ) = A \lim_{x\rightarrow x_0^{-}} f(x) = A limx→x0−f(x)=A。
定义 5’: 设 y = f ( x ) y = f(x) y=f(x) 在 x 0 x_0 x0 的左邻域内有定义,A 为常数, ∀ ε > 0 , ∃ δ > 0 \forall\varepsilon>0,\exists\delta>0 ∀ε>0,∃δ>0 ,当 x 满足 x 0 − δ < x < x 0 x_0-\delta < x < x_0 x0−δ<x<x0 时,有 ∣ f ( x ) − A ∣ < ε |f(x)-A|<\varepsilon ∣f(x)−A∣<ε 成立,则 A 称为当 x → x 0 − x\rightarrow x_0^{-} x→x0− 时的极限,即左极限,记作 lim x → x 0 − f ( x ) = A \lim_{x\rightarrow x_0^{-}} f(x) = A limx→x0−f(x)=A。
类似有右极限的定义。
2. 右极限
定义 6: 设 y = f ( x ) y = f(x) y=f(x) 在 x 0 x_0 x0 的右邻域内有定义,A 为常数,当 x 从 x 0 x_0 x0 的右侧无限接近 x 0 ( x → x 0 + ) x_0 (x\rightarrow x_0^{+}) x0(x→x0+) 时,函数 f(x) 无限接近 A,则常数 A 称为当 x → x 0 + x\rightarrow x_0^{+} x→x0+ 时的极限,即右极限,记作 lim x → x 0 + f ( x ) = A \lim_{x\rightarrow x_0^{+}} f(x) = A limx→x0+f(x)=A。
定义 6’: 设 y = f ( x ) y = f(x) y=f(x) 在 x 0 x_0 x0 的右邻域内有定义,A 为常数, ∀ ε > 0 , ∃ δ > 0 \forall\varepsilon>0,\exists\delta>0 ∀ε>0,∃δ>0 ,当 x 满足 x 0 < x < x 0 + δ x_0 < x < x_0+\delta x0<x<x0+δ 时,有 ∣ f ( x ) − A ∣ < ε |f(x)-A|<\varepsilon ∣f(x)−A∣<ε 成立,则 A 称为当 x → x 0 + x\rightarrow x_0^{+} x→x0+ 时的极限,即右极限,记作 lim x → x 0 + f ( x ) = A \lim_{x\rightarrow x_0^{+}} f(x) = A limx→x0+f(x)=A。
例如: lim x → 0 + x = 0 \lim_{x\rightarrow 0^{+}}\sqrt{x} = 0 limx→0+x=0。
例 1: 考查下列函数在 x = 0 x=0 x=0 处的左右极限
f ( x ) = { − x , x < 0 x , x ≥ 0 f(x)=\left\{ \begin{array}{ll} -x, & x < 0 \\ x, & x \geq 0 \\ \end{array} \right. f(x)={−x,x,x<0x≥0
f ( x ) = { 1 + x 2 , x < 0 0 , x = 0 2 x , x > 0 f(x)=\left\{ \begin{array}{ll} 1 + x^2, & x < 0 \\ 0, & x = 0 \\ 2^x, & x > 0 \\ \end{array} \right. f(x)=⎩ ⎨ ⎧1+x2,0,2x,x<0x=0x>0
f ( x ) = { x − 1 , x < 0 0 , x = 0 x + 1 , x > 0 f(x)=\left\{ \begin{array}{l} x - 1, & x < 0 \\ 0, & x = 0 \\ x + 1, & x > 0 \\ \end{array} \right. f(x)=⎩ ⎨ ⎧x−1,0,x+1,x<0x=0x>0
注:
- 1 ∘ 1^{\circ} 1∘ lim x → x 0 f ( x ) = A ⇔ lim x → x 0 − f ( x ) = lim x → x 0 + f ( x ) = A \lim_{x\rightarrow x_0} f(x) = A \Leftrightarrow \lim_{x\rightarrow x_0^{-}} f(x) = \lim_{x\rightarrow x_0^{+}} f(x) = A limx→x0f(x)=A⇔limx→x0−f(x)=limx→x0+f(x)=A ;
- 2 ∘ 2^{\circ} 2∘ lim x → x 0 − f ( x ) ≠ lim x → x 0 + f ( x ) ⇒ lim x → x 0 f ( x ) \lim_{x\rightarrow x_0^{-}} f(x) \neq \lim_{x\rightarrow x_0^{+}} f(x) \Rightarrow \lim_{x\rightarrow x_0} f(x) limx→x0−f(x)=limx→x0+f(x)⇒limx→x0f(x) 不存在。
例 2: 设 f ( x ) = { 2 x + 1 , x ≤ 1 x 2 − x + 3 , 1 < x ≤ 2 x 3 − 1 , x > 2 f(x)=\left\{ \begin{array}{l} 2 x + 1, & x \leq 1 \\ x^2 - x + 3, & 1 < x \leq 2 \\ x^3 - 1, & x > 2 \\ \end{array} \right. f(x)=⎩ ⎨ ⎧2x+1,x2−x+3,x3−1,x≤11<x≤2x>2,讨论极限 lim x → 1 f ( x ) \lim_{x\rightarrow 1} f(x) limx→1f(x), lim x → 2 f ( x ) \lim_{x\rightarrow 2} f(x) limx→2f(x)。
四、函数极限的性质
函数极限的性质与数列极限的性质类似,因此,下面以 lim x → x 0 f ( x ) \lim_{x\rightarrow x_0} f(x) limx→x0f(x) 为代表给出极限的性质,不予证明。
(1) 唯一性: 若极限 lim x → x 0 f ( x ) \lim_{x\rightarrow x_0} f(x) limx→x0f(x) 存在,则极限必唯一。
(2) 局部有界性: 若 lim x → x 0 f ( x ) \lim_{x\rightarrow x_0} f(x) limx→x0f(x) 存在,则 f(x) 在 x 0 x_0 x0 的某去心邻域内有界。
注: 数列极限的有界性是指整个数列有界,函数在 x 0 x_0 x0 处极限的有界性是指函数在 x 0 x_0 x0 的某邻域内( x 0 x_0 x0 附近)有界。
(3) 局部保号性: 若 lim x → x 0 f ( x ) = A > 0 \lim_{x\rightarrow x_0} f(x)=A>0 limx→x0f(x)=A>0 (或 A < 0 A<0 A<0),则存在 δ > 0 \delta>0 δ>0,当 x 满足 0 < ∣ x − x 0 ∣ < δ 0<\left|x-x_0\right|<\delta 0<∣x−x0∣<δ 时,有 f(x)>0(或 f(x)<0)。
注:
- 1 ∘ 1^{\circ} 1∘ 数列极限的保号性是指从某一项 N 起,后面的所有项的符号都有极限值的符号保持一致,函数极限的保号性是指在 x 0 x_0 x0 的某一去心邻域内函数值的符号与极限值的符号保持一致。
- 2 ∘ 2^{\circ} 2∘ 若 lim x → x 0 f ( x ) = A \lim_{x\rightarrow x_0} f(x)=A limx→x0f(x)=A,且 f ( x ) ≥ 0 f(x)\geq 0 f(x)≥0 (或 f ( x ) ≤ 0 f(x)\leq 0 f(x)≤0),则 A ≥ 0 A\geq 0 A≥0 (或 A ≤ 0 A\leq 0 A≤0)。
(4) 不等式性质: 设 lim x → x 0 f ( x ) \lim_{x\rightarrow x_0} f(x) limx→x0f(x) 与 lim x → x 0 g ( x ) \lim_{x\rightarrow x_0} g(x) limx→x0g(x) 都存在,且在 x 0 x_0 x0 的某一去心邻域内有 f ( x ) ≤ g ( x ) f(x)\leq g(x) f(x)≤g(x),则 lim x → x 0 f ( x ) ≤ lim x → x 0 g ( x ) \lim_{x\rightarrow x_0} f(x)\leq\lim_{x\rightarrow x_0} g(x) limx→x0f(x)≤limx→x0g(x)。
注: 函数极限的不等式性质表明:不等式两端可以同时求极限(同一变化过程),不等式方向不变。
(5) 迫敛性: 设 lim x → x 0 f ( x ) = lim x → x 0 g ( x ) = A \lim_{x\rightarrow x_0} f(x)=\lim_{x\rightarrow x_0} g(x)=A limx→x0f(x)=limx→x0g(x)=A,且在 x 0 x_0 x0 的某一去心邻域内有 f ( x ) ≤ h ( x ) ≤ g ( x ) f(x)\leq h(x)\leq g(x) f(x)≤h(x)≤g(x),则 lim x → x 0 h ( x ) = A \lim_{x\rightarrow x_0} h(x)=A limx→x0h(x)=A。
(6) 归结原则(海涅定理)
lim x → x 0 f ( x ) = A ⇔ 对任意的数列 { x n } 满足 lim n → ∞ x n = x 0 , 有 lim n → ∞ f ( x n ) = A 。 \lim_{x\rightarrow x_0} f(x)=A \Leftrightarrow \text{对任意的数列}\left\{x_n\right\}\text{满足}\lim_{n\rightarrow\infty} x_n=x_0,\quad\text{有}\lim_{n\rightarrow\infty} f\left(x_n\right)=A\text{。} x→x0limf(x)=A⇔对任意的数列{xn}满足n→∞limxn=x0,有n→∞limf(xn)=A。
注: 归结原则给出了数列极限与函数极限之间的关系,该原则表明:若 lim x → x 0 f ( x ) = A \lim_{x\rightarrow x_0} f(x)=A limx→x0f(x)=A,则凡是以 x 0 x_0 x0 为极限值的数列 { x n } \left\{x_n\right\} {xn},对应的函数值数列 { f ( x n ) } \left\{f\left(x_n\right)\right\} {f(xn)} 的极限一定也是 A,反之亦然。归结原则还说明:若两个数列 { x n } n { x n ′ } \left\{x_n\right\}_n\left\{x_n^{\prime}\right\} {xn}n{xn′} 都以 x 0 x_0 x0 为极限值,但 lim n → ∞ f ( x n ) ≠ lim n → ∞ f ( x n ′ ) \lim_{n\rightarrow\infty} f\left(x_n\right)\neq\lim_{n\rightarrow\infty} f\left(x_n^{\prime}\right) limn→∞f(xn)=limn→∞f(xn′),则极限 lim x → x 0 f ( x ) \lim_{x\rightarrow x_0} f(x) limx→x0f(x) 不存在。例如: lim x → 0 sin 1 x 不存在 \lim_{x \to 0} \sin \frac{1}{x} \text{ 不存在} limx→0sinx1 不存在(可选子列 x n ( 1 ) = 1 n π , x n ( 2 ) = 1 2 n π + π 2 x_n^{(1)}=\frac{1}{n\pi}, x_n^{(2)}=\frac{1}{2 n\pi+\frac{\pi}{2}} xn(1)=nπ1,xn(2)=2nπ+2π1, lim n → ∞ x n ( 1 ) = lim n → ∞ x n ( 2 ) = 0 \lim_{n\rightarrow\infty} x_n^{(1)}=\lim_{n\rightarrow\infty} x_n^{(2)}=0 limn→∞xn(1)=limn→∞xn(2)=0,但 lim n → ∞ f ( x n ( 1 ) ) = 0 , lim n → ∞ f ( x n ( 2 ) ) = 1 \lim_{n\rightarrow\infty} f\left(x_n^{(1)}\right)=0,\lim_{n\rightarrow\infty} f\left(x_n^{(2)}\right)=1 limn→∞f(xn(1))=0,limn→∞f(xn(2))=1)。
五、函数极限的四则运算
设 lim x → x 0 f ( x ) = A , lim x → x 0 g ( x ) = B \lim_{x\rightarrow x_0} f(x)=A,\lim_{x\rightarrow x_0} g(x)=B limx→x0f(x)=A,limx→x0g(x)=B,则
(1) lim x → x 0 ( f ( x ) ± g ( x ) ) = lim x → x 0 f ( x ) ± lim x → x 0 g ( x ) = A ± B \lim_{x\rightarrow x_0} (f(x) \pm g(x)) = \lim_{x\rightarrow x_0} f(x) \pm \lim_{x\rightarrow x_0} g(x) = A \pm B limx→x0(f(x)±g(x))=limx→x0f(x)±limx→x0g(x)=A±B;
(2) lim x → x 0 ( f ( x ) × g ( x ) ) = lim x → x 0 f ( x ) × lim x → x 0 g ( x ) = A × B \lim_{x\rightarrow x_0} (f(x) \times g(x)) = \lim_{x\rightarrow x_0} f(x) \times \lim_{x\rightarrow x_0} g(x) = A \times B limx→x0(f(x)×g(x))=limx→x0f(x)×limx→x0g(x)=A×B;
(3) lim x → x 0 f ( x ) g ( x ) = lim x → x 0 f ( x ) lim x → x 0 g ( x ) = A B \lim_{x\rightarrow x_0} \frac{f(x)}{g(x)} = \frac{\lim_{x\rightarrow x_0} f(x)}{\lim_{x\rightarrow x_0} g(x)} = \frac{A}{B} limx→x0g(x)f(x)=limx→x0g(x)limx→x0f(x)=BA。
注:
- 1 ∘ 1^{\circ} 1∘ 极限的四则运算法则对 x → x 0 + , x → x 0 − , x → ∞ , x → + ∞ , x → − ∞ x\rightarrow x_0^{+}, x\rightarrow x_0^{-}, x\rightarrow\infty, x\rightarrow+\infty, x\rightarrow-\infty x→x0+,x→x0−,x→∞,x→+∞,x→−∞ 均适用;
- 2 ∘ 2^{\circ} 2∘ 极限的和、差、积的运算可以推广到有限个函数:
- 3 ∘ 3^{\circ} 3∘ 运用极限的四则运算时每个函数的极限必须是存在的;
- 4 ⋄ lim x → x 0 c f ( x ) = c lim x → x 0 f ( x ) 4^{\diamond} \lim_{x\rightarrow x_0} c f(x)=c\lim_{x\rightarrow x_0} f(x) 4⋄limx→x0cf(x)=climx→x0f(x)。
例 1: 计算极限
(1) lim x → ∞ 4 x 3 + 2 x 2 − 1 3 x 3 + x \lim_{x\rightarrow\infty}\frac{4 x^3+2 x^2-1}{3 x^3+x} limx→∞3x3+x4x3+2x2−1
(2) lim x → ∞ x 2 x 2 + 1 − 1 \lim_{x\rightarrow\infty}\frac{x^2}{\sqrt{x^2+1}-1} limx→∞x2+1−1x2
(3) lim x → + ∞ ( x 2 + x − 1 − x 2 − x + 1 ) \lim_{x\rightarrow+\infty}\left(\sqrt{x^2+x-1}-\sqrt{x^2-x+1}\right) limx→+∞(x2+x−1−x2−x+1)
(4) lim x → 2 2 x 2 + x − 3 3 x + 1 \lim_{x\rightarrow 2}\frac{2 x^2+x-3}{3 x+1} limx→23x+12x2+x−3
(5) lim x → 2 5 x x 2 − 4 \lim_{x\rightarrow 2}\frac{5 x}{x^2-4} limx→2x2−45x
(6) lim x → 3 x − 3 x 2 − 9 \lim_{x\rightarrow 3}\frac{x-3}{x^2-9} limx→3x2−9x−3
(7) lim x → 4 x − 2 x − 4 \lim_{x\rightarrow 4}\frac{\sqrt{x}-2}{x-4} limx→4x−4x−2
(8) lim x → − 2 ( 1 x + 2 − 12 x 3 + 8 ) \lim_{x\rightarrow-2}\left(\frac{1}{x+2}-\frac{12}{x^3+8}\right) limx→−2(x+21−x3+812)
例 2: 设 KaTeX parse error: Unexpected end of input in a macro argument, expected '}' at end of input: …{array} \right.,计算 lim x → 0 f ( x ) , lim x → 1 f ( x ) , lim x → + ∞ f ( x ) , lim x → − ∞ f ( x ) \lim_{x\rightarrow 0} f(x),\lim_{x\rightarrow 1} f(x),\lim_{x\rightarrow+\infty} f(x),\lim_{x\rightarrow-\infty} f(x) limx→0f(x),limx→1f(x),limx→+∞f(x),limx→−∞f(x)。
六、复合函数的运算法则
设复合函数 y = f [ g ( x ) ] y=f[g(x)] y=f[g(x)] 在 x 0 x_0 x0 的去心邻域内有定义,若 lim x → x 0 g ( x ) = u 0 , lim u → u 0 f ( u ) = A \lim_{x\rightarrow x_0} g(x)=u_0,\lim_{u\rightarrow u_0} f(u)=A limx→x0g(x)=u0,limu→u0f(u)=A,则
lim x → x 0 f [ g ( x ) ] = A \lim_{x\rightarrow x_0} f[g(x)] = A x→x0limf[g(x)]=A
证明: 由 lim u → u 0 f ( u ) = A ⇒ ∀ ε > 0 , ∃ η > 0 \lim_{u\rightarrow u_0} f(u)=A \Rightarrow \forall\varepsilon>0,\exists\eta>0 limu→u0f(u)=A⇒∀ε>0,∃η>0,当 0 < ∣ u − u 0 ∣ < η 0<\left|u-u_0\right|<\eta 0<∣u−u0∣<η 时,有 ∣ f ( u ) − A ∣ < ε \left|f(u)-A\right|<\varepsilon ∣f(u)−A∣<ε 成立,又
lim x → x 0 g ( x ) = u 0 ⇒ \lim_{x\rightarrow x_0} g(x)=u_0 \Rightarrow limx→x0g(x)=u0⇒ 对上述 η > 0 , ∃ δ > 0 \eta>0,\exists\delta>0 η>0,∃δ>0,当 0 < ∣ x − x 0 ∣ < δ 0<\left|x-x_0\right|<\delta 0<∣x−x0∣<δ 时,有 ∣ g ( x ) − u 0 ∣ < η \left|g(x)-u_0\right|<\eta ∣g(x)−u0∣<η,即
∣ u − u 0 ∣ < η \left|u-u_0\right|<\eta ∣u−u0∣<η,因此,有 ∣ f [ g ( x ) ] − A ∣ < ε \left|f[g(x)]-A\right|<\varepsilon ∣f[g(x)]−A∣<ε 成立,即证。
注:
- 1 ∘ 1^{\circ} 1∘ 该运算法则给出了复合函数求极限时可以换元的方法。
例如:求 lim x → 1 x 2 − 1 x − 1 \lim_{x\rightarrow 1}\sqrt{\frac{x^2-1}{x-1}} limx→1x−1x2−1,令 u = x 2 − 1 x − 1 , f ( u ) = u , lim x → 1 x 2 − 1 x − 1 = 2 , lim u → 2 u = 2 u=\frac{x^2-1}{x-1}, f(u)=\sqrt{u},\lim_{x\rightarrow 1}\frac{x^2-1}{x-1}=2,\lim_{u\rightarrow 2}\sqrt{u}=\sqrt{2} u=x−1x2−1,f(u)=u,limx→1x−1x2−1=2,limu→2u=2,所以
lim x → 1 x 2 − 1 x − 1 = 2 . \lim_{x\rightarrow 1}\sqrt{\frac{x^2-1}{x-1}}=\sqrt{2}. x→1limx−1x2−1=2.
- 2 ∘ 2^{\circ} 2∘ 特别的,若 lim x → x 0 f ( u ) = u 0 \lim_{x\rightarrow x_0} f(u)=u_0 limx→x0f(u)=u0(即外函数 f(u) 连续),则 lim x → x 0 f [ g ( x ) ] = f [ lim x → x 0 g ( x ) ] \lim_{x\rightarrow x_0} f[g(x)] = f\left[\lim_{x\rightarrow x_0} g(x)\right] limx→x0f[g(x)]=f[limx→x0g(x)],即
若复合函数的外函数是连续函数时,极限符号 lim x → x 0 \lim_{x\rightarrow x_0} limx→x0 与外函数 f 可以交换次序。
例如: lim x → 1 x 2 − 1 x − 1 = lim x → 1 x 2 − 1 x − 1 = 2 \lim_{x\rightarrow 1}\sqrt{\frac{x^2-1}{x-1}}=\sqrt{\lim_{x\rightarrow 1}\frac{x^2-1}{x-1}}=\sqrt{2} limx→1x−1x2−1=limx→1x−1x2−1=2。
作业:
1. 设函数 y = f ( x ) y=f(x) y=f(x) 图像如图所示,观察下列极限。

(1) lim x → − 2 f ( x ) \lim_{x\rightarrow-2} f(x) limx→−2f(x)
(2) lim x → − 1 f ( x ) \lim_{x\rightarrow-1} f(x) limx→−1f(x)
(3) lim x → 0 f ( x ) \lim_{x\rightarrow 0} f(x) limx→0f(x)
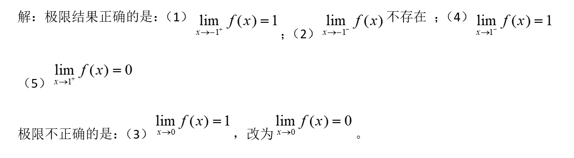
2. 函数 y = f ( x ) y=f(x) y=f(x) 图像如图所示,判断下列极限结果是否正确,错误的加以改正。

(1) lim x → − 1 + f ( x ) = 1 \lim_{x\rightarrow-1^{+}} f(x)=1 limx→−1+f(x)=1
(2) lim x → − 1 − f ( x ) \lim_{x\rightarrow-1^{-}} f(x) limx→−1−f(x)
(3) lim x → 0 f ( x ) = 1 \lim_{x\rightarrow 0} f(x)=1 limx→0f(x)=1
(4) lim x → 1 − f ( x ) = 1 \lim_{x\rightarrow 1^{-}} f(x)=1 limx→1−f(x)=1
(5) lim x → 1 + f ( x ) = 0 \lim_{x\rightarrow 1^{+}} f(x)=0 limx→1+f(x)=0
3.
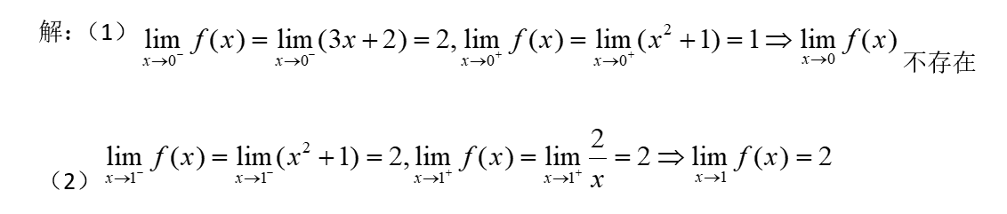
f ( x ) = { 3 x + 2 , x ≤ 0 x 2 + 1 , 0 < x ≤ 1 , 2 x , x > 1 f(x)=\left\{\begin{array}{l} 3 x+2, x \leq 0 \\ x^{2}+1,0<x \leq 1, \\ \frac{2}{x}, x>1 \end{array}\right. f(x)=⎩ ⎨ ⎧3x+2,x≤0x2+1,0<x≤1,x2,x>1分别讨论极限 lim x → 0 f ( x ) , lim x → 1 f ( x ) \lim_{x \to 0} f(x), \lim_{x \to 1} f(x) limx→0f(x),limx→1f(x)是否存在。
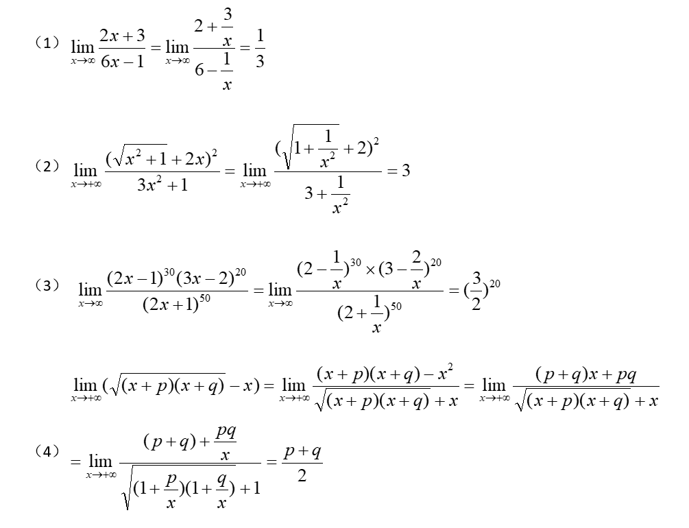
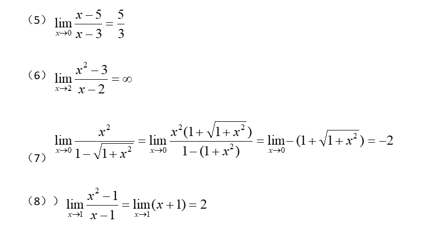
**4.**计算下列函数极限
(1) lim x → ∞ 2 x + 3 6 x − 1 \lim_{x\rightarrow\infty}\frac{2 x+3}{6 x-1} limx→∞6x−12x+3
(2) lim x → + ∞ ( x 2 + 1 + 2 x ) 2 3 x 2 + 1 \lim_{x\rightarrow+\infty}\frac{\left(\sqrt{x^2+1}+2 x\right)^2}{3 x^2+1} limx→+∞3x2+1(x2+1+2x)2
(3) lim x → ∞ ( 2 x − 1 ) 30 ( 3 x − 2 ) 20 ( 2 x + 1 ) 50 \lim_{x\rightarrow\infty}\frac{(2 x-1)^{30}(3 x-2)^{20}}{(2 x+1)^{50}} limx→∞(2x+1)50(2x−1)30(3x−2)20
(4) lim x → + ∞ ( ( x + p ) ( x + q ) − x ) \lim_{x\rightarrow+\infty}(\sqrt{(x+p)(x+q)}-x) limx→+∞((x+p)(x+q)−x)
(5) lim x → 0 x − 5 x − 3 \lim_{x\rightarrow 0}\frac{x-5}{x-3} limx→0x−3x−5
(6) lim x → 2 x 2 − 3 x − 2 \lim_{x\rightarrow 2}\frac{x^2-3}{x-2} limx→2x−2x2−3
(7) lim x → 0 x 2 1 − 1 + x 2 \lim_{x\rightarrow 0}\frac{x^2}{1-\sqrt{1+x^2}} limx→01−1+x2x2
(8) lim x → 1 x 2 − 1 x − 1 \lim_{x\rightarrow 1}\frac{x^2-1}{x-1} limx→1x−1x2−1
参考答案:
1.

2.

3.

4.


