leetcode0099. 恢复二叉搜索树- medium
1 题目:99. 恢复二叉搜索树
官方标定难度:
给你二叉搜索树的根节点 root ,该树中的 恰好 两个节点的值被错误地交换。请在不改变其结构的情况下,恢复这棵树 。
示例 1:

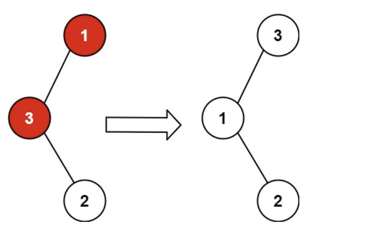
输入:root = [1,3,null,null,2]
输出:[3,1,null,null,2]
解释:3 不能是 1 的左孩子,因为 3 > 1 。交换 1 和 3 使二叉搜索树有效。
示例 2:

输入:root = [3,1,4,null,null,2]
输出:[2,1,4,null,null,3]
解释:2 不能在 3 的右子树中,因为 2 < 3 。交换 2 和 3 使二叉搜索树有效。
提示:
树上节点的数目在范围 [2, 1000] 内
− 2 31 < = N o d e . v a l < = 2 31 − 1 -2^{31} <= Node.val <= 2^{31} - 1 −231<=Node.val<=231−1
进阶:使用 O(n) 空间复杂度的解法很容易实现。你能想出一个只使用 O(1) 空间的解决方案吗?
2 solution
二叉搜索树的中序遍历是一个单调递增数列,所以需要找到顺序不对的地方,如果只有一个,说明是相邻的两个数交换了顺序,如果是两个,说明前面那个偏大的和后面那个偏小的错了。
代码
class Solution {/** 有一个递增序列两个数交换的位置,如果相邻,则只出现一次前面比后面大,交换即可* 如果出现两次,则第一次大的,和第二次小的交换就行*/TreeNode *f{nullptr}, *g{nullptr}, *h{nullptr};int val{-3000};void dfs(TreeNode *root) {if (!root) return;dfs(root->left);if (root->val < val) {if (!f) f = h, g = root;else g = root;}val = root->val;h = root;dfs(root->right);}public:void recoverTree(TreeNode *root) {dfs(root);swap(f->val, g->val);}
};
结果

