平方根倒数快速算法
一、平方根倒数算法的由来
在制作3D游戏的时候,曲面是由许多平面构成的,要求出光线在物体表面反射后的效果,就需要知道平面的单位法向量,法向量的长度的平方R很容易求出,单位法向量 = 坐标值 / R的平方根。电脑每次都要进行百万次这样的计算,每次计算节约一些时间就可以大大提高游戏的帧率。而平方根快速算法就是干这行的。
二、牛顿法
当我们要求解2的平方根的时候,可以借助图形 当 y = 0的时候就可以算出2的平方根了。现在我们可以使用牛顿的迭代法,随便取一个在曲线上的点,求出该点的切线与y = 0的交点,此时他是更精确的借,将这个算法迭代几次你就可以找到一个近似解出来了。

但是牛顿法有个问题,如果我开始随便找一个点,找了个100,那导致迭代次数很多次后才能慢慢达到一个较好的精度。但如果你开始就用1.414来计算,你只用一次就可以算出一个理想的高精度解。
三、平方根倒数算法
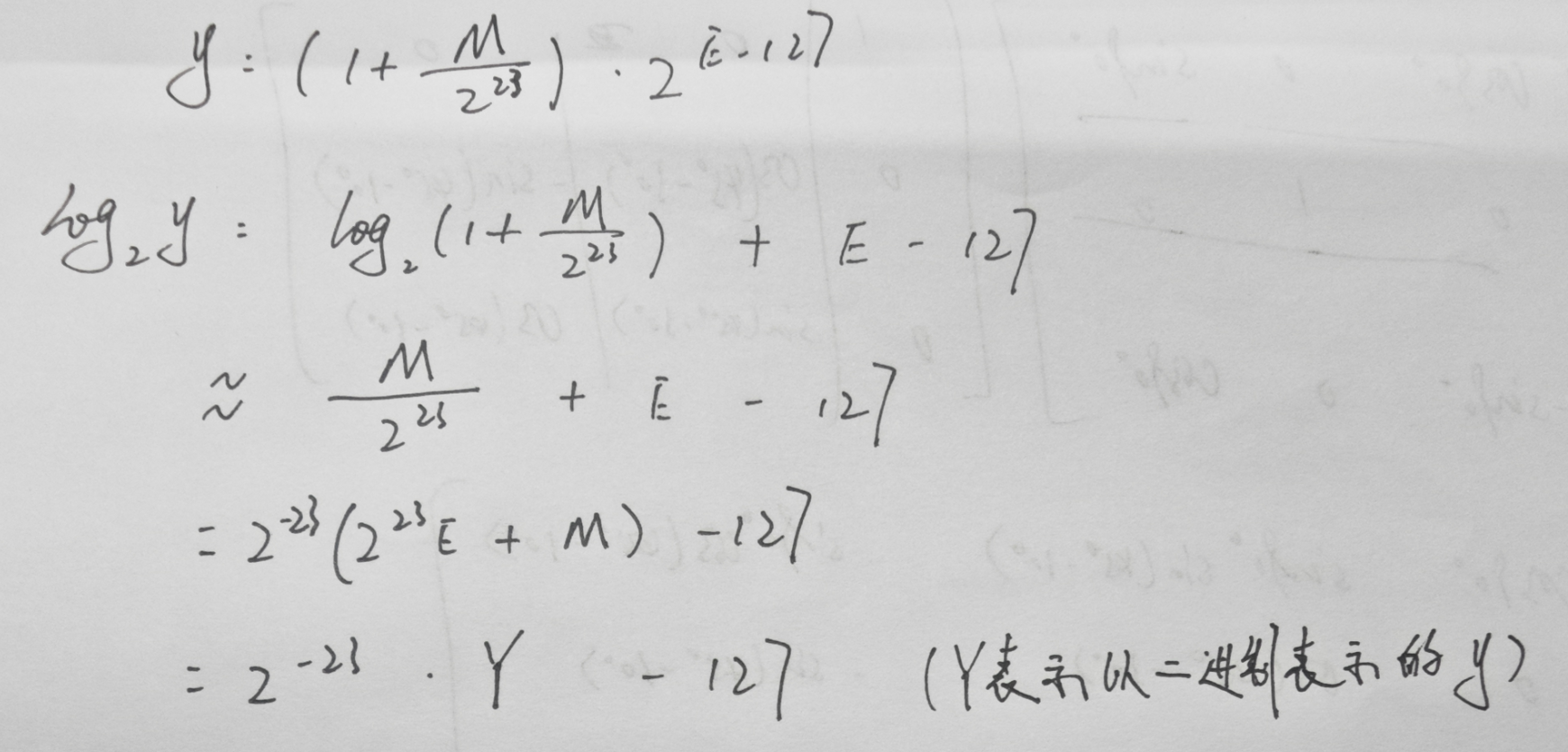
我们只用把二进制数处理一下就可以得到牛顿法需要的初始值。
那么首先我们要了解一下,在电脑中是如何存放二进制数的。在32位表示一个浮点数的情况下,S(1位符号位) + E(8位指数位)+M(23位尾数位)。注意尾数位指标是小数点后的数,也就是说现在的M表示0.5,加上省略的1+小数点,则表示1.5*2^E-127。 指数为如前面所述,支持正负所以要 -127。

那么通过对数来简化指数和乘法运算。


在式中有几个点需要提出的是
① 在(0,1)之间约等于x,所以直接拿下来了。

②在二进制中*2表示左移一位,所以左移E 23位后加上23位的M正好是y在计算机中的二进制格式。

所以我们得出结论。
所以根据问题,我们需要知道y的平方根的倒数即:

将上述结论代入后得到:

虽然做到这一步就挺好了,但是为了提高整体精度,我们似乎还可以把y = x向上提高一点,同时0x5f400000对应着381*2^22 , 同时0.5*Y也可以改成Y右移一位,毕竟我们只用找到近似解就行,后面还有牛顿算法保底呢。

四、代码
float invSqrt(float x) {float halfx = 0.5f * x;float y = x;long i = *(long*)&y;i = 0x5f3759df - (i>>1);y = *(float*)&i;y = y * (1.5f - (halfx * y * y));return y;
}
最后这个牛顿迭代的方程如下图所示来自GPT4:



参考
什么代码让程序员之神感叹“卧槽”?改变游戏行业的平方根倒数算法_哔哩哔哩_bilibili
Open source IMU and AHRS algorithms – x-io Technologies
Graphing Calculator - GeoGebra
